随着国民经济建设和社会生活的快速发展,水环境污染问题、饮用水安全问题越来越受到全社会的广泛关注。在水体污染的处理过程中,作为造成自然水体主要污染源的化工污水成为主要的治理对象。氯仿作为优良的有机溶剂在冶金、化工等行业被广泛使用,但氯仿具有很强的致癌作用,它的微量摄入对人体的危害很大,因此被列为优先控制的对象。目前,处理水体中氯仿的方法主要有萃取法、煮沸法、氧化法、吸附法[1-3]等,其中吸附法以其能耗小、附带污染低而较其他方法更受关注。吸附法按吸附材料种类主要分为活性炭吸附法、硅藻土吸附法、大孔树脂吸附法、离子交换树脂吸附法[4-6]等。随着磁性复合微球的出现及研究的深入,以其大比表面积、高分散稳定性、表面的易修饰化及便捷的富集方式很快吸引了研究者的注意,并将其应用于环境学领域,作为一种更具优势的吸附材料用于水体的处理。陈卫等及潘若平等采用磁性粒子交换树脂对水体中的有毒有机污染物进行处理,表现出良好的吸附效果,同时树脂的富集再生效率高达90%以上。
本文采用磁性复合微球为吸附载体,对磁性复合微球处理水体中氯仿的吸附能力及吸附效果进行了研究,具体考察了磁性复合微球粒径及表面性质对吸附量及吸附效率的影响,同时通过对处理条件的考察得出了磁性复合微球处理水体中氯仿的优化工艺条件。
1 材料和方法
1.1 材料
表面富含环氧基的磁性复合微球,实验室自制,TEM照片及粒度分布如图1所示[9-11];质量浓度为74mg/L的氯仿,AR,天津市富宇精细化工有限公司;超纯水溶液,艾科浦公司AJY-2002-U型超纯水机制取;质量分数为20%的氢氧化钠水溶液,AR,吡啶,AR,天津市红岩化学试剂厂;浓硫酸,AR,北京市化工厂;邻菲啰啉,AR,上海山浦化工有限公司;硫酸银,AR,天津市化学试剂研究所;浓度为0.2500mol/L重铬酸钾,AR,天津市大茂化学试剂厂;浓度为0.1mol/L硫酸亚铁铵水溶液,AR,无水乙醇,天津市红岩化学试剂厂;己二胺,国药集团化学试剂有限公司;甲醇,天津市富宇精细化工有限公司。

1.2 方法
1.2.1 环氧基磁性复合微球的胺化
将1g磁性复合微球和2g己二胺分散,溶解在无水乙醇中,65℃下机械搅拌,搅拌速度为125r/min,反应时间8h,制备表面胺基化的磁性复合微球。
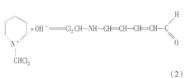
1.2.2 紫外分光光度法测定氯仿浓度
采用分光光度法测定溶液中氯仿的浓度,利用氯仿在碱性介质中与吡啶反应生成深红色的化合物(氯代戊烯二醛),反应式如下:


测定过程:在比色管中加入质量浓度74mg/L的氯仿溶液1mL,再加入2.5mLNaOH溶液和5mL吡啶,在40℃恒温水浴中恒温反应40min,待深红色稳定后,用紫外分光光度计测定其浓度。同样按照上述方法,由BlueStar紫外分光光度计(北京莱伯泰科仪器有限公司)分别测定检测过程采用的最大吸收波长及绘制测定氯仿质量浓度的标准曲线,绘制标准曲线采用试剂的用量见表1。

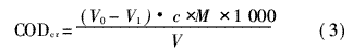
1.2.3 水体CODCr值的测定
本文采用重铬酸钾法测定化学需氧量CODCr作为有机物(氯仿)相对含量的指标。实验过程:取20.00mL混合均匀的水样置于磨口回流烧瓶中,准确加入10.00mL重铬酸钾标准溶液及数粒沸石,连接回流冷凝管,从冷凝管上口慢慢加入30.00mL硫酸-硫酸银溶液,待其混匀后,加热回流2h(沸腾后开始计时)。冷却后,用90mL超纯水冲洗冷凝管壁,取下烧瓶,将溶液体系移入500mL锥形瓶。溶液再度冷却后,加3滴试亚铁灵指示液,用标准硫酸亚铁铵溶液滴定,溶液的颜色由橙黄色经蓝绿色至红褐色即为终点,记录硫酸亚铁铵的用量。测定水样的同时,取20.00mL超纯水,按同样的步骤做空白试验。记录滴定空白时硫酸亚铁铵溶液的用量。

式中:c为硫酸亚铁铵标准溶液的浓度,mol/L;V0为滴定空白时硫酸亚铁铵标准溶液用量,mL;V1为滴定水样时硫酸亚铁铵标准溶液用量,mL;V为水样的体积;M为氧(1/2O)摩尔质量,g/mo,l其值为8。
硫酸-硫酸银溶液:于500mL浓硫酸中加入5g硫酸银。放置1—2d,不时摇动使其溶解。
试亚铁灵指示剂:称取1.4850g邻菲啰啉、0.6950g硫酸亚铁溶于水中,稀释至100mL,贮存于棕色瓶内。
1.2.4 磁性复合微球处理氯仿的工艺
吸取74mg/L的氯仿溶液2mL作为被处理水体,向水体中加入一定量的1mg/mL的磁性复合微球分散液,在垂直混合仪上混合吸附,然后在磁场中富集磁性复合微球。
2 结果与讨论
2.1 最大紫外吸收波长的确定
取一定量的74mg/L的氯仿溶液按照1.2.2节的方法确定检测氯仿溶液浓度的最大紫外吸收波长,所测结果如图2所示,确定检测波长为529nm。

2.2 标准工作曲线的绘制
按照表1所列数据绘制氯仿质量浓度测定标准工作曲线,所绘曲线如图3所示,线性范围为0—8.706mg/L,相关系数为0.9991。

2.3 环氧基磁性复合微球的胺基化表征
按照1.2.1节的方法对环氧基性复合微球进行胺化处理,胺化前后磁性复合微球的TEM照片如图4所示,在图中可以看出,磁性复合微球经历胺化过程并没有受到破坏,表面形貌上没有发生改变。

对胺化后的磁性复合微球进行红外分析,结果如图5所示,在谱图中可以看出在3419cm-1处出现胺基的红外特征吸收峰,这也就证明通过胺化过程已经成功的将胺基引入到磁性复合微球的表面。

2.4 磁性复合微球的筛选
2.4.1 粒径对吸附性能的影响为了达到最佳的处理效果,我们对磁性复合微球进行了筛选。首先考察了环氧基磁性复合微球粒径对氯仿的吸附效果的影响,所得结果如表2所示。由表可以看出,随着粒径的增大,磁性复合微球的吸附量及吸附效率降低,具有最好吸附效果的为500nm的磁性复合微球,但实验过程中可以发现随着磁性复合微球粒径的不断减小,树脂的富集难度增大,在采用500nm的磁性复合微球时明显可以观察到磁性复合微球的残留,即水体受到2次污染,1.5μm的磁性复合微球无此现象,因此选取1.5μm的磁性复合微球作为吸附材料。

2.4.2 表面性质对吸附性能的影响
表面性质也是磁性复合微球吸附氯仿的重要影响因素,因此考察了粒径均为1.5μm的表面环氧基和胺基2种磁性复合微球的吸附能力及吸附效果,以确定何种表面性质对氯仿有最大亲和性,可以对氯仿进行最大吸附。所得结果如表3所示。由表中数据可以看出,表面胺基化的磁性复合微球对于氯仿具有更好的吸附效果,其吸附效率较环氧基磁性复合微球高15.52%。

2.5 磁性复合微球吸附氯仿工艺的优化
2.5.1 磁性复合微球与氯仿的配比对吸附量及吸附效率的影响
磁性复合微球用量对吸附量及吸附效率的关系曲线如图6所示,由图可以看出,随着磁性复合微球用量的增加,其对氯仿的吸附量及吸附效率随之增大,当磁性复合微球用量超过1mg以后,吸附量及吸附效率增加不再明显,且过大程度树脂的引入会对后续磁性复合微球富集造成影响,富集难度大就会造成水体2次污染的问题。因此,确定每处理74mg/L的氯仿溶液2mL需用磁性复合微球约1mg,即处理能力为0.148mg氯仿与1mg磁性复合微球,此时,磁性微球的吸附效率为79.22%。

2.5.2 吸附时间对吸附量及吸附效率的影响
随后考察了处理时间对吸附量及吸附效率的影响,结果如图7所示,由曲线可以看出,随着处理时间的延长,磁性复合微球的吸附量和吸附效率随之增加;在处理时间由2.5h延长到4.0h过程中,磁性复合微球的吸附量及吸附效率增大迅速;而4.0h后,吸附量及吸附效率趋于稳定,随吸附时间变化不明显,即此时吸附达到平衡,吸附效率达到83.92%。

2.5.3 磁性复合微球富集时间对吸附量及吸附效率的影响
磁性复合微球的富集时间对吸附有着重要的影响,富集时间过短,则溶液上清液中会含有磁性复合微球的残留,引入了新的污染;富集时间太长,会影响磁性复合微球的处理效率。因此,对于磁性复合微球富集时间的探究是非常必要的。为检测富集后,体系中是否引入了磁性复合微球和不同富集时间磁性复合微球的吸附效率,取反应后溶液的上清液进行CODCr值的测量。富集时间与CODCr值的关系曲线如图8所示。

由图8可以看出,当富集时间较短,1—2h时,CODCr值变化不大,是由于在此富集时间内磁性复合微球并没有分离完全,溶液体系上清液中存在大量的磁性复合微球,虽然氯仿的量降低,但磁性复合微球的残留导致体系CODCr值变化不明显;之后,随着富集时间的延长,在4h之前,体系CODCr值下降明显,这是由于上清液中磁性复合微球用量减少;富集时间达到4h后,CODCr值不再随富集时间的延长而发生变化,说明磁性复合微球基本分离完全,所以选取4h为最佳的富集时间,体系的CODCr值从未处理前的43.8mg/L下降到4h时的3.9mg/L,这说明磁性复合微球对氯仿具有较强的处理能力,同时排除了磁性复合微球的2次污染。
3 结论
本文主要研究了各种粒径、表面性质的磁性复合微球对水中氯仿的吸附能力,并探究出了一套磁性复合微球用于水体氯仿处理的工艺。
(1)表面富含胺基、粒径处于1.5μm的磁性复合微球为较佳吸附性材料,其吸附效率较环氧基磁性复合微球高15.52%。
(2)磁性复合微球与氯仿配比为1mg磁性复合微球处理0.148mg氯仿,吸附时间与富集时间为4.0h时,对氯仿的吸附效率大于83%。
磁性复合微球以其优异的性能、相对低廉的处理成本必将在水处理领域得到更加深入、广泛的应用,通过本工作的研究希望能够为利用磁性复合微球净化水体奠定一定的基础。














