抛射体运动

浏览

以任意初速抛出的物体在地球重力作用下的运动。作这种运动的物体称为抛射体。抛射体的质心在运动中的轨迹称为弹道或弹道曲线。

抛射体的理想运动

指在下述四种假设下的运动:

(1)抛射体在真空中运动;

(2)抛射体的射程与地球的尺寸相比很小,故地球表面可视为平面,各处重力互相平行;

(3)抛射的高度与地球半径相比很小,各处重力加速度g可视为常数且等于在地面的值;

(4)在地面上静止的物体具有与地球在该点的转动速度相同的速度,所以初速不太大时,抛射体的运动可不考虑地球的转动。在这些假设下,抛射体对静止于地面的直角坐标系运动方程为:

m塯=0,m╔=-mg

设初速v0与水平成θ0角,而初始条件为:

x0=0,y0h

0v0cosθ0,夻0v0sinθ0

则积分后的运动方程为:

xv0tcosθ0

yv0tsinθ0公式 符号gt2h

消去t后,得弹道方程:

公式 符号

这是一个抛物线方程(图1)。

图

y=h时,可从上式求出抛射体的射程:

公式 符号

可见射程不仅与初速度v0有关,且与θ0有关。当θ0=45°时,射程最大。

抛射体的实际运动

考虑空气阻力的抛射体运动。炮弹或导弹在空气中运动时,空气的阻力对弹道的影响是缩短射程、减小落地速度和增大落地角,并使弹道具有竖直渐近线(图2)。

图

在阻尼介质中运动的抛射体同时受到重力P和空气阻力R的作用(图3)。

图

R与速度v反向,其大小则为v的某一函数mf(v),其中m为抛射体的质量,是为了算式简明而写上的。抛射体沿曲线的切向和法向的运动微分方程为:

公式 符号     (1)

式中θ是速度矢量与水平轴x的夹角。

曲率半径ρ与弧长s和倾角θ有如下关系:

公式 符号

式中负号表明θ角随弧长s的增加而减小。于是式(1)可写作:

公式 符号。   (2)

从以上两式消去dt,得到:

公式 符号,      (3)

或改写为:

公式 符号。       (4)

只有在函数f(v)取某些特殊形式时,式(3)才有一般的积分。例如:f(v)=cvf(v)=cv2f(v)=av+bv2(牛顿,欧拉),f(v)=cvn(约翰第一·伯努利),f(v)=abvn(达朗拍)等。在外弹道学中,方程式(3)的积分一般用近似方法。下面分述介质阻力对抛射体运动的影响。

(1)介质阻力对射程的影响 将式(4)写为:

公式 符号

由于公式 符号,推出公式 符号,即速度的水平分量是减函数,故射程比理想运动时要短。

(2)介质阻力对落地角的影响  利用式(2)的第二式,

公式 符号。  (5)

沿弹道的上升段积分,y由0到hθθ0到0,得到:

公式 符号

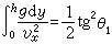
如以θ1代表落地角,将式(5)沿下降段积分,得到:

公式 符号

因为vx是减函数,上面第二个积分的值必定大于第一个,故tg2θ1>tg2θ0,即抛射体的落地角θ1大于发射角θ0

(3)介质阻力对落地速度的影响将式 (2)的第一式乘以v并积分,得:

公式 符号

设落地时tt1,落地速度为v1,此时y=0,上式变为:

公式 符号

此式表明v1<v0,即落地速度v1小于发射速度v0

(4)阻尼介质中弹道的渐近线 θ角从初始值θ0逐渐减小,在弹道顶点处变为零,此后即取负值。由式(2)中的第二式得出:

公式 符号

根据初始条件t=0时θθ0,积分后可得:

公式 符号

从上式可以看出,当θ公式 符号时,t→∞,故在阻尼介质中弹道具有竖直渐近线。

此外,当射程较大时,例如远程弹道导弹,由于地面是球形,球面曲率的影响是增大射程(图4)。图中椭圆是导弹在地球有心力场中的真空弹道。此时的射程等于Rφ,显然大于设地面为平面情况下的射程。

图