压力流

浏览

周围被约束、没有自由表面(液体和气体的分界面)的液体流动。最常见的压力流是满管流(见管流),即液体充满管道的流动。液体未充满管道的流动遵循无压流的规律。压力流按其流动特性是否随时间改变可分为定常压力流和非定常压力流。

定常压力流

流动特性不随时间改变的压力流。研究定常压力流的目的在于找出管道特性和流动特性之间的关系,这种关系随流动状态而不同。在直线圆形管道中,如流动特性不沿流程改变则称为均匀流,这时流动状态随管道雷诺数Re=vD/ν而改变,式中v为平均流速,D为管道直径,ν为运动粘性系数。雷诺数小于2000时为层流;向湍流过渡的雷诺数在2000~4000之间;4000以上为湍流。定常压力流的流动特性和管道特性之间的关系,可参见管流。

非定常压力流

流动特性随时间改变的压力流。管道阀门启闭,水力机械启动、负荷改变或停机过程中的流动皆是不定常压力流。若关闭或停机的速率很快,由于水流的惯性,液体将被压缩而产生水击。分析这一流动时必须考虑液体的可压缩性。

分析可压缩非定常压力流时,常用平均流速v、压力p、管道横截面积A、密度ρ等量,并将流动简化为一维问题。这时流动特性是距离s和时间t的函数。连续性方程为:

公式 符号

运动方程为:

公式 符号+A公式 符号ρ|v|v/2D=0。

上式中z为管道高程;f为摩擦系数,它是雷诺数Re和管道内壁相对粗糙度 ε/D的函数(见管流);第四和第五项分别代表重力和管壁摩擦阻力的作用。液体受压缩时的状态方程公式 符号,由此推出:

公式 符号

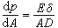
式中K 为液体的体积弹性模量。如果不考虑管壁的惯性,则弹性圆形管道的变形方程为公式 符号,由此推出:

公式 符号

式中δ为管壁厚度;E为管壁材料的弹性模量。略去高阶小量后可得出下列方程组:

公式 符号

公式 符号

公式 符号

式中c为压力波传播速度。这是一组双曲型微分方程,可用有限差分方法或特征线法进行数值计算。应用这些方程可计算水击压力。

参考书目
  1. V.L.Streeter and E.B.Wylie, Fluid Mechanics, McGraw-Hill, New York,1975.