[Æ´Òô]£ºjuzhen
[ÍâÎÄ]£ºmatrix
ÊýѧÖÐ×îÖØÒªµÄ»ù±¾¸ÅÄîÖ®Ò»£¬ÊÇ´úÊýѧµÄÒ»¸öÖ÷ÒªÑо¿¶ÔÏó£¬Ò²ÊÇÊýѧÑо¿¼°Ó¦ÓõÄÒ»¸öÖØÒª¹¤¾ß¡£ÓÉmn¸öÊýÅųɵÄmÐÐnÁеľØÐαí
³ÆÎªm¡Án¾ØÕ󣬼Ç×÷A»ò
£¬Ò²¿É¼Ç×÷(αij)»ò
¡£Êý
³ÆÎª¾ØÕóµÄµÚiÐеÚjÁеÄÔªËØ¡£µ±¾ØÕóµÄÔªËØ¶¼ÊÇijһÊýÓòFÖеÄÊýʱ£¬¾Í³ÆËüΪÊýÓòFÉϵľØÕ󣬼ò³ÆFÉϵľØÕó¡£µ±m=nʱ£¬¾ØÕóA³ÆÎªn½×¾ØÕó»òn½×·½Õ󣬴Ëʱα11£¬α22£¬¡£¬αnn³ÆÎªn½×¾ØÕóµÄ¶Ô½ÇÏßÔªËØ£¬µ±ËùÓеķǶԽÇÏßÔªËØαij(i¡Ùj)¾ùΪÁãʱ£¬A¾Í³ÆÎªn½×¶Ô½Ç¾ØÕ󣬼ò³Æ¶Ô½Ç¾ØÕó¡£µ±¶Ô½ÇÏßÏÂÃæ(»òÉÏÃæ)µÄËùÓÐÔªËØ¾ùΪ0ʱ£¬A¾Í³ÆÎªÉÏ£¨»òÏ£©Èý½Ç¾ØÕó¡£
ÔÚm¡Án¾ØÕóAÖÐÈ¡k¸öÐкÍk¸öÁУ¬k¡Üm£¬n£»ÓÉÕâЩÐÐÓëÁÐÏཻ´¦µÄÔªËØ°´ÔÀ´µÄλÖù¹³ÉµÄk½×ÐÐÁÐʽ£¬³ÆÎª¾ØÕóAµÄk½××Óʽ¡£Ò»¸ön½×¾ØÕóAÖ»ÓÐÒ»¸ön½××Óʽ£¬Ëü³ÆÎª¾ØÕóAµÄÐÐÁÐʽ£¬¼Ç×÷©¦A©¦»òdetA¡£
¾ØÕóµÄÔËËã
Á½¸ö¾ØÕóÖ»ÓÐÔÚÆäÐÐÊýÓëÁÐÊý¾ù·Ö±ðÏàͬ£¬¶øÇÒËùÓÐÏàӦλÖõÄÔªËØ¾ùÏàµÈʱ£¬²ÅÄܳÆÎªÏàµÈ¡£Ö»ÓÐÔÚÁ½¸ö¾ØÕóµÄÐÐÊýÓëÁÐÊý¾ù·Ö±ðÏàͬʱ£¬²ÅÄܽøÐмӷ¨¡£¾ØÕó
Óë
Ïà¼Ó¶øµÃºÍ
£¬ÆäÖÐ
¡£ Êý³Ë¾ØÕóÊÇÖ¸ÊýÓòFÖÐÈκÎÊý α ¾ù¿ÉÈ¥³ËFÉÏÈÎÒâ¾ØÕó
¶øµÃ»ý
£¬¼´αAÈÔΪm¡Án¾ØÕ󣬯äµÚiÐеÚjÁеÄÔªËØÎªααij£¬i=1£¬2£¬¡£¬m £»j=1£¬2£¬¡£¬n¡£Ö»ÓÐÒ»¸ö¾ØÕóµÄÁÐÊýµÈÓÚÁíÒ»¸ö¾ØÕóµÄÐÐÊýʱ£¬ÕâÁ½¸ö¾ØÕó²ÅÄܽøÐг˷¨£ºÒ»¸öm¡Án¾ØÕóA=(αij)È¥³ËÒ»¸ön¡Áp ¾ØÕóB=(bij)¶øµÃ»ýABÊÇÒ»¸öm ¡Áp ¾ØÕóD =(dij)£¬ÆäÖÐ 
£¬¼´ABµÄÐÐÊýÓëAµÄÐÐÊýÏàͬ£¬¶øÆäÁÐÊýÓëB µÄÁÐÊýÏàͬ¡£´ËÖֳ˷¨¹æÔòÒ²ÊÊÓÃÓÚ·Ö¿é¾ØÕó(¼´½«ÔªËØ»®·Ö³ÉÈô¸ÉС¾ØÕó¿éµÄ¾ØÕó)¡£·Ö¿éʱAµÄÁеķַ¨Ó¦ÓëBµÄÐеķַ¨Ò»Ö¡£¾ØÕóÔËËãÓÐÒÔÏÂÐÔÖÊ£º
A+B=B+A£»A+(B+C)=(A+B)+C£»α(A+B)=αA+αB£»(α+β)A=αA+βA£»α(βA)=(αβ)A£»α(AB)=(αA)B=A(αB)£»A(BC)=(AB)C£»(A+B)C=AC+BC£»A(B+C)=AB+AC£¬
ÕâÀïA¡¢B¡¢C±íʾ¾ØÕó£¬α±íʾÊýÓòFÖеÄÊý¡£
µ±Ò»¸öm¡Án¾ØÕóµÄÈ«²¿ÔªËؾùΪ0ʱ£¬¾Í³ÆÎªÁã¾ØÕ󣬼Ç×÷Om¡Án¡£¶ÔÓÚÈÎÒâÒ»¸öm¡Án¾ØÕóA£¬ºãÓÐA+Om¡Án=A£»ÇÒºãÓÐΩһµÄÒ»¸öm¡Án¾ØÕóB=(-1)A£¬Ê¹A+B=Om¡Án£¬´ËB³ÆÎªAµÄ¸º¾ØÕ󣬼ò¼ÇΪ-A¡£Ò×Öª-AµÄ¸º¾ØÕó¾ÍÊÇA£¬¼´-(-A)=A¡£
ÊýÓòFÉϵÄËùÓÐ m¡Án¾ØÕó°´ÉÏÊö¾ØÕó¼Ó·¨ºÍÊý³Ë¾ØÕóÔËË㣬¹¹³ÉFÉϵÄÒ»¸öm nάÏòÁ¿¿Õ¼ä£»FÉϵÄËùÓÐn½×¾ØÕó°´¾ØÕóµÄ¼Ó·¨ºÍ³Ë·¨¹¹³ÉÒ»¸ö»·£¬³ÆÎªFÉϵÄn½×È«Õó»·¡£FÉϵÄn½×È«Õó»·ÊÓΪFÉϵÄn2άÏòÁ¿¿Õ¼ä£¬¾Í¹¹³ÉFÉϵÄn½×È«Õó´úÊý¡£
µ¥Î»¾ØÕóÓëÄæ¾ØÕó
¶Ô½ÇÏßÔªËØ¶¼ÊÇ 1µÄ n½×¶Ô½Ç¾ØÕ󣬳ÆÎªn½×µ¥Î»¾ØÕ󣬼ò¼ÇΪIn¡£¶ÔÓÚÈÎÒâ¾ØÕóAm¡ÁnÓëBn¡Áp£¬ ºãÓÐ
£¬¶ÔÓÚÈÎÒân½×¾ØÕóA£¬ºãÓÐAIn=InA=A¡£Èô¶ÔÓÚÒ»¸ön½×¾ØÕóA£¬ÓÐÒ»¸ön½×¾ØÕóB´æÔÚ£¬Ê¹AB=BA=In£¬ÔòB³ÆÎªAµÄÄæ¾ØÕ󣬼Ç×÷A-1¡£Ò×ÖªB¼´A-1ÊÇÓÉAΩһȷ¶¨µÄ¡£µ±AÓÐÄæ¾ØÕóA-1ʱ£¬A-1Ò²ÓÐÄæ¾ØÕóÇÒ¾ÍÊÇA£¬¼´(A-1)-1=A¡£ÓÐÄæ¾ØÕóµÄn½×¾ØÕ󣬳ÆÎª·ÇÆæÒì¾ØÕó£»Ã»ÓÐÄæ¾ØÕóµÄn½×¾ØÕ󣬳ÆÎªÆæÒì¾ØÕó¡£µ±AºÍB¶¼ÊÇn½×·ÇÆæÒì¾ØÕóʱ£¬ÔòABÒ²ÊÇ·ÇÆæÒì¾ØÕó£¬ÇÒ(AB)-1=B-1A-1¡£Õâ¸öµÈʽÓÃÊýѧ¹éÄÉ·¨¿ÉÍÆ¹ãµ½ÈÎÒâÓÐÏÞ¶à¸ön½×·ÇÆæÒì¾ØÕóµÄÇéÐΡ£
תÖþØÕó
Ò»¸ö m¡Án¾ØÕóAµÄÐÐÓëÁеÄÔªËØ»¥»»¶øµÃµ½µÄn¡Ám¾ØÕ󣬳ÆÎªAµÄתÖþØÕ󣬼ÇΪA¡ä»òAT¡£ÈôAÊÇÒ»¸ön½×·½Õó£¬ÇÒA¡ä=A£¬ÔòA³ÆÎª¶Ô³Æ¾ØÕó¡£¹ØÓÚ¾ØÕóµÄתÖã¬ÓÐÈçÏ»ù±¾ÔËËã¹æÂÉ£º(A©Å)©Å=A;(A+B)©Å=A¡ä+B©Å£»(αA)©Å=α(A©Å)£»(AB)©Å=B©ÅA©Å¡£
n½×¾ØÕóA =(αij)µÄÔªËØαijÔÚ©¦A©¦ÖеĴúÊýÓà×ÓʽAij(i£¬j=1£¬2£¬¡£¬n)ÈÔÊÇÊýÓòFÖеÄÊý£¬ÓÚÊÇ¿É×÷³ÉÈçϵÄÒ»¸ön½×¾ØÕó
£¬
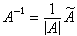
²¢¼ÇΪÃ0¡£¾ØÕóÃ0£¬³ÆÎªAµÄ°éËæ¾ØÕó¡£ÓÉÐÐÁÐʽµÄÐÔÖÊ¿ÉÖª£¬AΪ·ÇÆæÒì¾ØÕ󣬱ØÒª¶øÇÒÖ»Òª ©¦A©¦¡Ù0£¬´ËʱÓÐ
¡£
ÖÈÊýÓë¼£Êý
Ò»¸öm¡Án¾ØÕóAµÄÿÐпɿ´³ÉÒ»¸önÔªÏòÁ¿£¨¼´nÔªÊýÁУ©£¬³ÆÎªAµÄÐÐÏòÁ¿¡£m¡Án¾ØÕóA¾ÍÓÐm¸öÐÐÏòÁ¿£¬Õâm¸öÐÐÏòÁ¿ÖеÄÏßÐÔÎ޹ؼ«´ó×éËùº¬ÏòÁ¿µÄ¸öÊý£¬¼´ÐÐÏòÁ¿µÄÖÈÊý£¬³ÆÎªAµÄÐÐÖÈÊý¡£¿ÉÀàËÆ¶¨ÒåAµÄÁÐÖÈÊý¡£ÈÎÒâ¾ØÕóAµÄÐÐÖÈÊýºãµÈÓÚÆäÁÐÖÈÊý£¬Òò´Ë¿É¼ò³ÆÎªAµÄÖÈÊý¡£AµÄÖÈÊýµÈÓÚAµÄ·ÇÁã×ÓʽµÄ×î´ó½×Êý¡£Ò»¸ön½×¾ØÕóAµÄ¶Ô½ÇÏßÔªËØµÄºÍ£¬³ÆÎªAµÄ¼£Êý¡£¶ÔÈÎÒân½×¾ØÕóAÓëB£¬(A+B)µÄ¼£Êý=AµÄ¼£Êý+BµÄ¼£Êý£»(kA)µÄ¼£Êý=k£¨AµÄ¼£Êý£©£¬ÕâÀïkΪij¸öÊý¡£
»·ÉϵľØÕó
ÈôÓÃÒ»¸ö»·R È¥´úÌæÊýÓòF£¬Ôò¿É¶¨ÒåRÉϵľØÕó¼°ÆäÔËË㣬¶øÇÒÉÏÊöÓйØÊýÓòFÉϵÄÄÚÈÝ£¬¾ø´ó²¿·Ö¶¼¿ÉÒÔÍÆ¹ãµ½RÉÏ£¬ÓÈÆäµ±RÊÇÒ»¸öÓе¥Î»ÔªËØ1µÄ½»»»»·£¬ÉõÖÁÊÇÒ»¸öÓòʱ£¬ÔòÉÏÊöµÄÈ«²¿ÄÚÈÝ¿ÉÒÔÍÆ¹ãµ½RÉÏ¡£RÊÇÒ»¸öÓò»ò¸´ÊýÓòFÉϵĶàÏîʽ»·F[λ]µÄÇéÐÎ×îΪÓÐÓá£
ÈôA=(αij)ÊǸ´ÊýÓòFÉϵÄÒ»¸ön½×¾ØÕó£¬IÊÇn½×µ¥Î»¾ØÕó£¬ÔòA¡¢IÒÔ¼°λI-A¶¼¿ÉÊÓΪ¶àÏîʽ»·F[λ]ÉϵÄn½×¾ØÕó
³ÆÎªA µÄÌØÕ÷¾ØÕ󡣯äÐÐÁÐʽ|λI-A|ÊÇF[λ]ÖеÄÒ»¸öÊ×ÏîϵÊýΪ1µÄ n ´Î¶àÏîʽ
(£1)nb0£¬ÆäÖÐbn-1ǡΪAµÄ¼£Êý£¬b0ǡΪ|A|£¬ƒ(λ)=|λI-A|³ÆÎªAµÄÌØÕ÷¶àÏîʽ£¬Æä¸ù³ÆÎªAµÄÌØÕ÷Öµ»òÌØÕ÷¸ù¡£λ0ΪAµÄÒ»¸öÌØÕ÷Öµ£¬±ØÒª¶øÇÒÖ»ÒªÓÐFÉÏ·ÇÁãµÄnÔªÁÐÏòÁ¿ξ¼´nÐÐ1ÁеľØÕó£¬Ê¹λ0ξ=Aξ¡£´Ëξ³ÆÎªAµÄÊôÓÚλ0µÄÒ»¸öÌØÕ÷ÏòÁ¿¡£AµÄÊôÓÚ²»Í¬ÌØÕ÷ÖµµÄÌØÕ÷ÏòÁ¿£¬ºãÔÚFÉÏÏßÐÔÎ޹ء£
¶ÔÓÚF[λ]ÖÐÈÎÒâÒ»¸öm´Î¶àÏîʽ
£¬¿ÉÒÔÓÃFÉÏÈÎÒâÒ»¸ön½×¾ØÕóAÈ¥´úÌæλ¶øÒý³öÒ»¸ön½×¾ØÕó
£¬ÆäÖÐIΪn½×µ¥Î»¾ØÕó¡£Ëùν¿À³£¹þÃܶٶ¨Àí£¬¼´Èç¹ûƒ(λ)ÊÇFÉÏn½×¾ØÕóAµÄÌØÕ÷¶àÏîʽʱ£¬ÄÇôºãÓЃ(A)=On£¬ÆäÖÐOnΪn½×Áã¾ØÕó¡£ÓÉ´Ë¿ÉÖª£¬¶ÔÓÚFÉÏÈÎÒân½×¾ØÕóA£¬±Ø´æÔÚΨһµÄÊ×ÏîϵÊýΪ1µÄ¶àÏîʽφ(λ)ʹφ(A)=On¡£¶ÔÓÚÈÎÒâµÄ¶àÏîʽ g(λ)£¬g(A)=On ±ØÒª¶øÇÒÖ»Òªφ(λ)|g(λ)(¼´φ(λ)ÄÜÕû³ýg(λ)£©¡£´Ëφ(λ)¾Í³ÆÎªAµÄ×îС¶àÏîʽ¡£
¾ØÕóµÄµÈ¼Û
¶Ô¾ØÕóAµÄÐÐÓëÁлò½ö¶ÔÐлò½ö¶ÔÁÐÊ©ÒÔÈô¸É´Î³õµÈ±ä»»¶øµÃµ½¾ØÕóB£¬³ÆÎªAµÈ¼ÛÓÚB£¬¼ÇΪA¡ÕB¡£¾ØÕóÖ®¼äµÄÕâ¸ö¹ØÏµ¾ßÓз´ÉíÐÔ¡¢¶Ô³ÆÐԺʹ«µÝÐÔ£¬ËùÒÔËüÊÇÒ»Öֵȼ۹ØÏµ¡£¾ØÕóµÄµÈ¼ÛÊÇÔÚÌÖÂÛÒ»¸öÏòÁ¿¿Õ¼äµ½ÁíÒ»¸öÏòÁ¿¿Õ¼äµÄÏßÐԱ任µÄ¸÷ÖÖ¾ØÕó±íʾÎÊÌâÖвúÉúµÄ¡£Ëùν¾ØÕóµÄ³õµÈ±ä»»£¬ÊÇÖ¸ÒÔϵÄÈκÎÒ»Öֱ任£º
£¨1£©ÓÃFÖÐÈÎÒâµÄÒ»¸ö²»ÎªÁãµÄÔªËØαÈ¥³Ë¾ØÕóµÄµÚiÐÐ(ÁÐ)£»
£¨2£©°Ñ¾ØÕóµÄµÚiÐУ¨ÁУ©µÄb±¶¼ÓÓÚµÚjÐÐ(ÁÐ)£¬ÆäÖÐbΪFÖÐÈÎÒâÔªËØ£»
£¨3£©»¥»»¾ØÕóµÄµÚiÓëµÚjÐÐ(ÁÐ)£¬²¢·Ö±ð³ÆÎªµÚÒ»¡¢µÚ¶þ¡¢µÚÈýÖÖ³õµÈ±ä»»¡£
¶ÔFÉϵĵ¥Î»¾ØÕóI½øÐÐÒ»´Î³õµÈ±ä»»ºóËùµÃ³öµÄ¾ØÕ󣬳ÆÎª³õµÈ¾ØÕó¡£Ò»ÖÖ³õµÈ±ä»»¶ÔÓ¦ÓÚÒ»ÖÖ³õµÈ¾ØÕó¡£¶Ô¾ØÕóAµÄÐÐÊ©ÒÔijÖÖ³õµÈ±ä»»µÄ½á¹û£¬Ç¡µÈÓÚÓÃÏàÓ¦µÄ³õµÈ¾ØÕóÈ¥×ó³ËA;¶ÔAµÄÁÐÊ©ÒÔijÖÖ³õµÈ±ä»»µÄ½á¹û£¬Ç¡µÈÓÚÓÃÏàÓ¦µÄ³õµÈ¾ØÕóÈ¥ÓÒ³ËA¡£³õµÈ¾ØÕóºãΪ¿ÉÄæµÄ£¬ÇÒÆäÄæ¾ØÕóÈÔÊÇͬһÖÖ³õµÈ¾ØÕó£¬Òò´Ë³õµÈ¾ØÕóµÄ»ýºãΪ·ÇÆæÒì¾ØÕó¡£ÓÉ´Ë¿ÉÖª£¬µÈ¼Û¾ØÕóµÄÖÈÊýÏàͬ£¬»òÕß˵³õµÈ±ä»»²»¸Ä±ä¾ØÕóµÄÖÈÊý¡£ÓÚÊÇ£¬¾Èô¸É´Î³õµÈ±ä»»ºó£¬±Ø¿É½«Ã¿¸öÖÈÊýΪrµÄ¾ØÕóµÄ×óÉϽǻ¯Îªr½×µ¥Î»¾ØÕ󣬶øÆäËûλÖö¼»¯Îª0¡£n½×·ÇÆæÒì¾ØÕóºãµÈ¼ÛÓÚn½×µ¥Î»¾ØÕ󣬺ã¿É±íΪÈô¸É¸ö³õµÈ¾ØÕóÖ®»ý¡£Òò´Ë£¬A¡ÕB±ØÒª¶øÇÒÖ»ÒªÓÐ·ÇÆæÒì¾ØÕóP¡¢QʹPAQ=B¡£
¶àÏîʽ»·F[λ]ÉϵľØÕó
£¬¼ò³ÆÎªλ¾ØÕó¡£ÔÚF[λ]ÉÏÒ²¿É¶¨ÒåÐÐÁÐʽ¡£A(λ)µÄÖÈÊý¶¨ÒåΪA(λ)µÄ×î´ó·ÇÁã×ÓʽµÄ½×Êý¡£¶Ôλ¾ØÕóÒ²¿É½øÐгõµÈ±ä»»£¬ÔÚµÚÒ»ÖÖ³õµÈ±ä»»ÖÐÖ»ÄÜʹÓÃFÖзÇÁãµÄᣬ¶ø²»ÄÜÓÃF[λ]ÖзÇÁãµÄƒ(λ);µÚ¶þÖÖ³õµÈ±ä»»ÖÐÔò¿ÉÓÃF[λ]ÖÐÈÎÒâµÄg(λ)È¥´úÌæb¡£Ò²¿ÉÒÔ¶¨Òå¿ÉÄæÐÔ£¬¶ÔÓÚλ¾ØÕóP(λ)ÈôÓÐλ¾ØÕóK(λ)ʹP(λ)K(λ)=K(λ)P(λ)=I£¬Ôò³Æλ¾ØÕóP(λ)ÊÇ¿ÉÄæµÄ£¬λ¾ØÕóK(λ)Ôò³ÆÎªP(λ)µÄÄæ¾ØÕó¡£Ò²¿ÉÒÔ¶¨Òåλ¾ØÕóµÄµÈ¼Û¡£ÖÈÊýΪrµÄλ¾ØÕóA(λ)±ØµÈ¼ÛÓÚËùνA(λ)µÄ·¨Ê½¼´λ¾ØÕó£º
£¬
ÕâÀïµÄÖîφi(λ)¾ùÓÉA(λ)Ωһȷ¶¨£¬ÇÒφ1(λ)|φ2(λ)|¡|φr(λ)£¬Ê×ÏîϵÊý¾ùΪ1¡£
ÓÉ´Ë¿ÉÖª£¬Ò»¸ön½×λ¾ØÕóP(λ)ÊÇ¿ÉÄæµÄ£¬±ØÒª¶øÇÒÖ»ÒªP(λ)ΪÈô¸É¸öÓëλ¾ØÕóµÄ³õµÈ±ä»»ÏàÓ¦µÄ³õµÈ¾ØÕóµÄ»ý£»±ØÒª¶øÇÒÖ»ÒªÆäÐÐÁÐʽΪF ÖеķÇÁãÔªËØ¡£Á½¸öλ¾ØÕóA(λ)m¡Án£¬B(λ)m¡ÁnÊǵȼ۵쬱ØÒª¶øÇÒÖ»ÒªÓпÉÄæλ¾ØÕóP(λ)¡¢Q(λ)ʹP(λ)A(λ)Q(λ)=B(λ)¡£A(λ)µÄ·¨Ê½ÖеÄÖî¶àÏîʽφi(λ)£¬¶¼³ÆÎªA(λ)µÄ²»±äÒò×Ó£¬ÇÒ¿É×÷ÈçÏ·ֽ⣺
ʽÖÐÖîej(λ)ÊÇF[λ]ÖÐÊ×ÏîϵÊýΪ1µÄ»¥²»ÏàͬµÄ¼ÈÔ¼¶àÏîʽ£»nijΪ·Ç¸ºÕûÊý£¬ÇÒ×îºóÒ»ÐÐÖеÄn1r£¬n2r£¬¡£¬nkr¾ù·ÇÁ㣬²¢ÓÐ
¡£ÕâЩÒò×Ó
£¬³ýÈ¥Ö¸Êýnij=0Õߣ¬¶¼³ÆÎªA(λ)µÄ³õµÈÒò×Ó¡£
±ØÒª¶øÇÒÖ»ÒªËüÃǵķ¨Ê½Ïàͬ£»±ØÒª¶øÇÒÖ»ÒªËüÃǵÄÈ«²¿²»±äÒò×ÓÒ»Ö£»±ØÒª¶øÇÒÖ»ÒªËüÃǵÄÖÈÊýÓëÈ«²¿³õµÈÒò×ÓÒ»Ö¡£
¾ØÕóµÄÏàËÆ
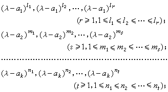
¶ÔÓÚÓòFÉÏÁ½¸ön½×¾ØÕóA¡¢B£¬ÈôÓÐ·ÇÆæÒì¾ØÕóP£¬Ê¹P-1AP=B£¬Ôò³ÆÎªAÏàËÆÓÚB£¬¼ÇΪA¡«B¡£¾ØÕóÖ®¼äµÄÕâ¸ö¹ØÏµ£¬¾ßÓз´ÉíÐÔ¡¢¶Ô³ÆÐԺʹ«µÝÐÔ£¬ËùÒÔËüÊÇÒ»Öֵȼ۹ØÏµ¡£¾ØÕóµÄÏàËÆÊÇÔÚÌÖÂÛÒ»¸öÏòÁ¿¿Õ¼äµ½×ÔÉíÖ®¼äµÄÏßÐԱ任µÄ¸÷ÖÖ¾ØÕó±íʾÎÊÌâÖвúÉúµÄ¡£ÓòFÉÏÁ½¸ön½×¾ØÕóAÓëBÏàËÆ£¬±ØÒª¶øÇÒÖ»ÒªÌØÕ÷¾ØÕó(λI-A)Óë(λI-B)ÔÚF[λ]Éϵȼۡ£λI-AµÄ²»±äÒò×ÓÓë³õµÈÒò×Ó£¬·Ö±ð³ÆÎªAµÄ²»±äÒò×ÓÓë³õµÈÒò×Ó¡£ÌØÕ÷¾ØÕóλI-AµÄÖÈÊý£¬¼´AµÄ½×Êýn¡£Òò´Ë£¬ÔÚFÉϵÄÁ½¸ön½×¾ØÕóAÓëBÏàËÆ£¬±ØÒª¶øÇÒÖ»ÒªËüÃǵijõµÈÒò×ÓÒ»Ö¡£µ±FÊÇÒ»¸ö´úÊý·â±ÕÓòʱ£¬F[λ]ÖеÄÊ×ÏîϵÊýΪ1µÄ¼ÈÔ¼¶àÏîʽֻÄÜÊÇÐÎÈç(λ-α)µÄÒ»´Îʽ£¬ËùÒÔ´ËʱFÉϵÄÒ»¸ön½×¾ØÕóAµÄÈ«²¿³õµÈÒò×Ó±ØÎªÈçϵÄһЩ¶àÏîʽ£º
ʽÖÐα1£¬α2£¬¡£¬αk»¥²»Ïàͬ£¬k¡Ý1£»ËùÓÐÖ¸Êý§1£¬§2£¬¡£¬§r£¬¡£»n1£¬n2£¬¡£¬ntÖ®ºÍΪn¡£¶ÔÓÚÿ¸öÐÎÈç
µÄ¶àÏîʽ£¬¿ÉÒÔΩһȷ¶¨Ò»¸öËùνÈô¶ûµ±Ð¡¿é£¬¼´h½×¾ØÕó£º
£¬
ËüÖ»ÓÐÒ»¸ö³õµÈÒò×Ó£¬¶øÇÒ¾ÍÊÇ
¡£ÉèÉÏÊön½×¾ØÕóAµÄÈ«²¿³õµÈÒò×ÓµÄÈô¶ûµ±Ð¡¿é·Ö±ðÊÇJ1£¬J2£¬¡£¬J¦Ô£¬v=r+s+¡+t£¬ÓÃÕâv¸öС¿éÀ´ºÏ³ÉÒ»¸ön½×¶Ô½Ç·Ö¿é¾ØÕó
¡£
ÓÚÊÇA¡«J£¬¶øÇÒ³ýÖîС¿éµÄ´ÎÐòÍ⣬JÊÇÓÉAËùΩһȷ¶¨µÄ¡£J ³ÆÎªAµÄÈô¶ûµ±±ê×¼ÐÎʽ¡£ÓÉ´Ë¿ÉÖª£¬Ö»ÒªÕÒ³öAµÄÈ«²¿³õµÈÒò×Ó¼´¿ÉÇóµÃAµÄÈô¶ûµ±±ê×¼ÐÎʽ¡£ÒªÕÒ³öAµÄÈ«²¿³õµÈÒò×ÓÓÐÒ»¸ö½Ï¼ò½ÝµÄ·½·¨£¬¼´²»±Ø°ÑλI-A»¯³É·¨Ê½£¬¶øÏȰÑλI-Aͨ¹ý³õµÈ±ä»»»¯³É¶Ô½Ç¾ØÕ󣬯ä¶Ô½ÇÏßÉϵÄÈ«²¿¶àÏîʽ²»Ò»¶¨Ç¡ÊÇAµÄÈ«²¿²»±äÒò×Ó£¬Ö»Òª½«ÆäÖÐÿ¸ö·Ç³£Êý¶àÏîʽµÄÊ×ÏîϵÊý»¯Îª 1£¬ÔÙ·Ö½âÒò×Ó£¬¼´¿ÉÏó´Ó²»±äÒò×ÓÇó³ö³õµÈÒò×ÓÄÇÑùµÃ³öA µÄÈ«²¿³õµÈÒò×Ó¡£
ÉèNÊÇÈÎÒâÓòFÉϵÄÒ»¸ö·½Õó£¬ÈôÓÐÕýÕûÊýmʹNm=0£¬ÔòN³ÆÎªÒ»¸öÃÝÁã¾ØÕó¡£ÀýÈ磬°ÑÉÏÊöÈô¶ûµ±Ð¡¿éÖеÄαÈ«»»³É0µÃ³öµÄh½×¾ØÕóN£¬¾ÍÊÇÒ»¸öÃÝÁã¾ØÕó£¬ÒòΪNh=0¡£
ÈôFÉϵķ½ÕóK¾ßÓÐÐÔÖÊK 2=K£¬Ôò³ÆKΪһ¸öÃݵȾØÕó¡£ÀýÈ絥λ¾ØÕó¾ÍÊÇÒ»¸öÃݵȾØÕó¡£ÓÉÖ±½Ó¼ÆËã¿ÉÖª£¬¶ÔFÉÏÈÎÒâ¶àÏîʽƒ(λ)£¬ÓÐ
¡£Òò´Ë£¬ÓëÃÝÁã¾ØÕóÏàËÆµÄ¾ØÕóÈÔΪÃÝÁã¾ØÕó£»ÓëÃݵȾØÕóÏàËÆµÄ¾ØÕóÈÔΪÃݵȾØÕó¡£
ʵÊýÓòÉÏÒ»¸ö·ÇÆæÒì¾ØÕóTÈô¾ßÓÐÐÔÖÊT©Å=T-1(T©ÅÊÇT µÄתÖþØÕó)£¬Ôò³ÆÎªÒ»¸öÕý½»¾ØÕó¡£ÀýÈç½âÎö¼¸ºÎÀïÖ±½Ç×ø±êÐýת¹«Ê½µÄϵÊý¾ØÕó¾ÍÊÇÕý½»¾ØÕó¡£Ò»¸öÕý½»¾ØÕóµÄתÖþØÕ󣨼´ÆäÄæ¾ØÕó£©ÈÔΪÕý½»¾ØÕó£»Á½¸öͬ½×µÄÕý½»¾ØÕóµÄ»ýÈÔΪÕý½»¾ØÕó¡£ÊµÊýÓòÉÏÈÎÒâÒ»¸ö¶Ô³Æ¾ØÕóA£¬ºã¿Éͨ¹ýÊʵ±µÄÕý½»¾ØÕóT¶øÏàËÆÓڶԽǾØÕóD£¬¼´D=T-1AT=T©ÅAT£¬ÇÒD µÄ¶Ô½ÇÏßÉϵÄʵÊý¾ÍÊÇAµÄÈ«²¿ÌØÕ÷¸ù¡£
¸´ÊýÓòÉϵÄÒ»¸ö·ÇÆæÒì¾ØÕóU Èô¾ßÓÐÐÔÖʨ± ©Å£½U-1»òU©Å£½(¨±)-1(¨± ©ÅΪU µÄ¹²éîתÖþØÕó)£¬¾Í³ÆÎªÒ»¸öÓϾØÕó¡£Ò»¸öÓϾØÕóµÄ¹²éî¾ØÕóÈÔΪÓϾØÕó£»Ò»¸öÓϾØÕóµÄתÖþØÕóÈÔΪÓϾØÕó;Ò»¸öÓϾØÕóµÄ¹²éîתÖþØÕó(¼´ÆäÄæ¾ØÕó£©ÈÔΪÓϾØÕó£»Á½¸öͬ½×µÄÓϾØÕóµÄ»ýÈÔΪÓϾØÕ󡣸´ÊýÓòÉÏ·²Âú×ã
µÄ¾ØÕóA£¬³ÆÎª°£¶ûÃ×ÌØ¾ØÕó¡£Êµ¶Ô³Æ¾ØÕó×÷Ϊ¸´ÊýÓòÉϵľØÕóʱ£¬¾ÍÊǰ£¶ûÃ×ÌØ¾ØÕó¡£ÈÎÒâÒ»¸ö°£¶ûÃ×ÌØ¾ØÕóA£¬ºã¿Éͨ¹ýÊʵ±µÄÓϾØÕóU ¶øÏàËÆÓÚʵ¶Ô½Ç¾ØÕóD£¬¼´D =U©ÅA¨±£¬ÇÒD µÄ¶Ô½ÇÏßÔªËØÇ¡ÎªA µÄÈ«²¿ÌØÕ÷¸ù¡£Ò»¸öÕý½»¾ØÕó×÷Ϊ¸´ÊýÓòÉϵľØÕóʱ£¬Ò²ÊÇÒ»¸öÓϾØÕó¡£
¾ØÕóµÄºÏͬ
µ±¾ØÕóA¾¹ýÈô¸ÉÌ׳õµÈ±ä»»¶ø»¯Îª¾ØÕóB ʱ£¬Ôò³ÆÎªAºÏͬÓÚB£¬¼ÇΪ
¡£¾ØÕóÖ®¼äµÄÕâ¸ö¹ØÏµ¾ßÓз´ÉíÐÔ¡¢¶Ô³ÆÐԺʹ«µÝÐÔ£¬ËùÒÔËüÊÇÒ»Öֵȼ۹ØÏµ¡£¾ØÕóµÄºÏͬÊÇÔÚÌÖÂÛÓÃ(¶Ô³Æ)¾ØÕó±íʾ¶þ´ÎÐ͵ÄÎÊÌâÖвúÉúµÄ¡£
ËùνһÌ׳õµÈ±ä»»£¬ÊÇÖ¸½«Ä³Ò»ÖÖ³õµÈ±ä»»Ê×ÏȶÔÒ»¸ö¾ØÕóµÄµÚiÁУ¨ÐУ©Ê©ÐжøµÃÒ»¾ØÕó£¬È»ºóÔÙ¶Ô´ËËùµÃ¾ØÕóµÄµÚiÐÐ(ÁÐ)Ê©ÐÐÓÖµÃÒ»¾ØÕó¡£µÚÒ»¡¢¶þ¡¢ÈýÌ׳õµÈ½»»»£¬·Ö±ðÓɵÚÒ»¡¢¶þ¡¢ÈýÖÖ³õµÈ±ä»»×é³É¡£
Á½¸ön½×¾ØÕóAÓëB ºÏͬ£¬±ØÒª¶øÇÒÖ»ÒªÓÐ·ÇÆæÒì¾ØÕóP ʹP©ÅAP £½B¡£Óë¶Ô³Æ¾ØÕóºÏ֮ͬ¾ØÕóÈÔΪ¶Ô³Æ¾ØÕó¡£Ã¿¸öÖÈÊýΪrµÄʵ¶Ô³Æ¾ØÕóAºãºÏͬÓÚÒ»¸ö¶Ô½Ç¾ØÕ󣬯ä¶Ô½ÇÏßÉÏÓÐp¸ö1Óëq¸ö-1£»ÆäËûµÄ¶Ô½ÇÏßÔªËØ¾ùΪ0£¬ÕâÀïp¡Ý0£¬q¡Ý0£¬p+q=r£¬¶øÇÒpÓëq¶¼ÊÇÓÉAËùΩһȷ¶¨µÄ¡£Êµ¶Ô³Æ¾ØÕóµÄÌØÕ÷¸ùºãΪʵÊý¡£Êµ¶Ô³Æ¾ØÕóA ÄܺÏͬÓÚ¶øÓÖÏàËÆÓÚÒ»¸ö¶Ô½Ç¾ØÕ󣬯ä¶Ô½ÇÏßÔªËØÇ¡ÎªAµÄÈ«²¿ÌØÕ÷¸ù¡£Ó뵥λ¾ØÕóºÏͬµÄʵ¶Ô³Æ¾ØÕ󣬳ÆÎªÕý¶¨¾ØÕó¡£¶ÔÓÚn½×ʵ¶Ô³Æ¾ØÕóA£¬ÒÔÏÂÃüÌâÊǵȼ۵ģºAΪÕý¶¨¾ØÕó£»ÓÐ·ÇÆæÒì¾ØÕóQʹ
£»AµÄËùÓÐÖ÷×Óʽ¾ùΪÕýʵÊý£»AµÄËùÓÐi½×Ö÷×Óʽ֮ºÍSi¾ùΪÕýʵÊý(i=1£¬2£¬¡£¬n)£»AµÄËùÓÐ×óÉϽǵÄÖ÷×Óʽ¾ùΪÕýʵÊý;AµÄËùÓÐÌØÕ÷¸ù¾ùΪÕýʵÊý£»AËùÏàÓ¦µÄ¶þ´ÎÐÍΪÕý¶¨ÐÍ¡£
¶ÔÒ»¸ö¸´Êý·½ÕóÊ©ÒÔµÚÒ»Ì׳õµÈ±ä»»£¬¾ÍÊÇÓò»ÎªÁãµÄα³ËiÐУ¬ÔÙÓ衳˵ÚiÁУ»Ê©ÒÔµÚ¶þÌ׳õµÈ±ä»»£¬¾ÍÊǰѵÚiÐеÄb±¶¼ÓÓÚµÚjÐУ¬ÔÙÓõÚiÁеĊ¸±¶¼ÓÓÚµÚjÁУ»Ê©ÒÔµÚÈýÌ׳õµÈ±ä»»ÈÔÈ»ÊÇ»¥»»µÚiºÍµÚjÁ½ÐУ¬ÔÙ»¥»»µÚ iºÍµÚjÁ½ÁС£Èô¶Ô¸´Êý·½ÕóAÊ©ÒÔÉÏÊöµÄÈô¸ÉÌ׳õµÈ±ä»»¶øµÃ·½ÕóB£¬Ôò³ÆÎªAÄÜhºÏͬÓÚB¡£¾ØÕóµÄhºÏͬ¹ØÏµ¾ßÓз´ÉíÐÔ¡¢¶Ô³ÆÐԺʹ«µÝÐÔ£¬ËùÒÔËüÊÇÒ»Öֵȼ۹ØÏµ¡£Á½¸ön½×¸´Êý¾ØÕóAÓëBÊÇh ºÏͬµÄ£¬±ØÒª¶øÇÒÖ»ÒªÓÐ·ÇÆæÒì¾ØÕóP ʹP¡äAˆV £½B¡£Óë°£¶ûÃ×ÌØ¾ØÕóÊÇh ºÏͬµÄ¾ØÕóÈÔΪ°£¶ûÃ×ÌØ¾ØÕó¡£Ã¿¸ö°£¶ûÃ×ÌØ¾ØÕóA ºãh ºÏͬÓÚÒ»¸ö¶Ô½Ç¾ØÕ󣬯ä¶Ô½ÇÏßÉÏÓÐp¸ö1Óëq¸ö£1£¬ÆäËûÔªËØ¾ùΪ0£¬ÕâÀïp¡Ý0£¬q¡Ý0£¬p +qΪAµÄÖÈÊý£¬¶øÇÒp¡¢q¾ùÊÇÓÉA ËùΩһȷ¶¨µÄ¡£°£¶ûÃ×ÌØ¾ØÕóµÄÌØÕ÷¸ùºãΪʵÊý¡£°£¶ûÃ×ÌØ¾ØÕóA ²»½öºãÄÜh ºÏͬÓÚÒ»¸ö¶Ô½Ç¾ØÕ󣬶øÇÒ±ØÄÜÏàËÆÓÚÒ»¸ö¶Ô½Ç¾ØÕ󣬴ËʱÆä¶Ô½ÇÏßÔªËØÇ¡ÎªAµÄÈ«²¿ÌØÕ÷¸ù¡£Ó뵥λ¾ØÕóÊÇhºÏͬµÄ°£¶ûÃ×ÌØ¾ØÕ󣬳ÆÎªÕý¶¨°£¶ûÃ×ÌØ¾ØÕó¡£¶ÔÓÚÒ»¸ön½×°£¶ûÃ×ÌØ¾ØÕóA£¬ÒÔÏÂÃüÌâÊǵȼ۵ģºA ΪÕý¶¨°£¶ûÃ×ÌØ¾ØÕó£»ÓÐ·ÇÆæÒì¾ØÕóQ ʹ
;AµÄËùÓÐÖ÷×ÓʽΪÕýʵÊý;A µÄËùÓÐi½×Ö÷×Óʽ֮ºÍSi£¬¾ùΪÕýʵÊý(i=1£¬2£¬¡£¬n)£»AµÄËùÓÐ×óÉϽǵÄÖ÷×Óʽ¾ùΪÕýʵÊý;AµÄËùÓÐÌØÕ÷¸ù¾ùΪÕýʵÊý;AËùÏàÓ¦µÄ°£¶ûÃ×ÌØ¶þ´ÎÐÍÊÇÕý¶¨°£¶ûÃ×ÌØ¶þ´ÎÐÍ¡£¸´ÊýÓòÉϵÄÒ»¸ö·½ÕóAÈôÂú×ãA„R¡ä=„R¡äA(¼´AÓë„R¡ä¿É½»»»)¾Í³ÆAΪÕý¹æ¾ØÕó¡£Êµ¶Ô³Æ¾ØÕó¡¢°£¶ûÃ×ÌØ¾ØÕó¡¢Õý½»¾ØÕóÓëÓϾØÕó¶¼ÊÇÕý¹æ¾ØÕó¡£Ã¿¸ö¸´Êý·½ÕóA¾ù¿É±íΪA=h1+ih2£¬ÆäÖÐh1Óëh2¾ùΪÓÉA ËùΩһȷ¶¨µÄ°£¶ûÃ×ÌØ¾ØÕ󣬴ËʱAΪÕý¹æ¾ØÕó±ØÒª¶øÇÒÖ»Òªh1Óëh2¿É½»»»¡£Õý¹æ¾ØÕóAÓë„R¡äÓÐÏàͬµÄÌØÕ÷ÏòÁ¿¡£Ò»¸ö¸´Êý·½ÕóAΪÕý¹æ¾ØÕ󣬱ØÒª¶øÇÒÖ»ÒªÓÐÓϾØÕóU ʹU-1AU Ϊ¶Ô½Ç¾ØÕó¡£
¾ØÕóµÄÀíÂÛÆðÔ´£¬¿É×·Ëݵ½18ÊÀ¼Í£¬¼ûÓÚÖø×÷ÔòÊÇÔÚ19ÊÀ¼Í¡£A.¿À³ÔÚ1858ÄêÒý½ø¾ØÕóΪһ¸öÕý·½ÐεÄÅÅÁÐ±í£¬ÇÒÄܽøÐмӷ¨Óë³Ë·¨ÔËË㣬ÓÚÊÇÈËÃǾͰÑA.¿À³×÷Ϊ¾ØÕóÂ۵Ĵ´Ê¼ÈË¡£È»¶øÔÚ´Ë֮ǰ£¬C.F.¸ß˹ÔÚ1801ÄêÓëF.G.M.°¬É˹̹ÔÚ1844¡«1852Äê¾ÍÔçÒÑÏȺó°ÑÒ»¸öÏßÐÔÌæ»»(¼´ÏßÐԱ任)µÄÈ«²¿ÏµÊý×÷Ϊһ¸öÕûÌ壬²¢ÓÃÒ»¸ö×ÖĸÀ´±íʾ¡£°¬É˹̹»¹Ç¿µ÷³Ë·¨µÄ´ÎÐòµÄÖØÒªÐÔ£¬Ö¸³öSTÓëTSδ±ØÏàͬ¡£Óë°¬É˹̹ͬʱµÄC.°£¶ûÃ×ÌØÒÔ¼°ÉÔºóµÄE.N.À¸Ç¶ûºÍF.G.¸¥ÂÞ±´ÄáÎÚ˹Ҳ¶¼ÏȺó·¢Õ¹ÁËÏßÐÔÌæ»»µÄ·ûºÅ´úÊý¡£¸¥ÂÞ±´ÄáÎÚ˹½Ï·á¸»µÄ¹¤×÷ÓÚ1877Äê·¢±íÔÚ×îÔçµÄÊýѧÔÓÖ¾Ö®Ò»µÄ¡¶¿ËÀ×¶ûÔÓÖ¾¡·ÉÏ¡£¾ØÕóµÄÏàËÆ±ê×¼ÐΣ¬¾ØÕóµÄºÏͬ±ê×¼ÐΣ¬¾ØÕóµÄÇóÄæ£¬¾ØÕóµÄÌØÕ÷ÖµÓë¹ãÒåÌØÕ÷ÖµµÈÊǾØÕóÂ۵ľµäÄÚÈÝ£»¾ØÕó·½³ÌÂÛ£¬¾ØÕó·Ö½âÂÛ£¬¹ãÒåÄæ¾ØÕóµÈÊǾØÕóÂÛµÄÏÖ´úÄÚÈÝ¡£¾ØÕó¼°ÆäÀíÂÛÔÚÏÖ´ú¿ÆÑ§¼¼ÊõµÄ¸÷¸öÁìÓò¶¼Óй㷺µÄÓ¦Óá£