约瑟夫森效应

浏览

电子对通过两块超导金属间的薄绝缘层(厚度约为10┱)时发生的量子力学隧道效应。1962年,英国牛津大学研究生B.D.约瑟夫森首先从理论上对超导电子对的隧道效应作了预言,不久就为P.W.安德森和J.M.罗厄耳的实验观测所证实。十多年来,它已在超导电性的研究领域内逐渐发展成为一个新的重要分支──约瑟夫森效应和超导结电子学。

直流约瑟夫森效应

直流电流通过超导隧道结时,只要电流值低于某一临界电流Ic,则与一块超导体相似,结上不存在任何电压,即流过结的是超导电流。但一旦超过临界电流值,结上即出现一个有限的电压,结的性状过渡到正常电子的隧道特性。图1给出了典型的I-V特性曲线。这种超导隧道结能够承载直流超导电流的现象,称为直流约瑟夫森效应。对于典型的结,临界电流一般在几十微安到几十毫安之间。

图1 图2

超导隧道结的临界电流对于外加磁场十分敏感。Ic不是外加磁场的单调函数,而是随着外磁场的增高,呈现如图2所示的周期性变化,类似于光学中的夫琅和费衍射图样。相邻两最小值之间的磁场间隔H0与结面积的乘积正好等于一个磁通量子,即韦伯。

交流约瑟夫森效应

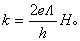
如果在超导结的结区两端加上一直流电压V(当然,这时电流大于临界电流),在结区就出现高频的超导正弦波电流,其频率与所施加的直流电压成正比,有如下关系式

比例常数2e/h=483.6×106Hz/XV。这时,结区以同样的频率(若所加电压是几微伏,则在微波区域;若为几毫伏,则在远红外波段)向外辐射电磁波。超导隧道结这种能在直流电压作用下,产生超导交流电流,从而能辐射电磁波的特性,称为交流约瑟夫森效应。

如果用频率为堝的微波辐照约瑟夫森结,当结的约瑟夫森频率v等于堝的n次倍频,即

n堝=2eVn/h (n=0,1,2,…)时,外加微波和结辐射的电磁波发生共振,则在I-V特性上可以测到恒压电流,随着n=0,1,2,…, 在I-V特性上出现阶梯效应,如图3所示。有人以 10GHz的输入频率已观察阶梯数高于500。

图3

呈现约瑟夫森效应的结构,通常称为约瑟夫森结、超导结或弱连接超导体。

物理解释

由BCS理论(见超导微观理论)知道,库珀对是长程有序的,因此在一块超导体中所有的库珀对具有相同的位相。如果图2所示的两块超导体中间的绝缘层较厚,则两块超导体中电子无关联, 各自具有独立的位相12。当绝缘层减小到某一厚度后,两块超导体中的超导电子就以位相差 1-2联系起来。这时的绝缘层就成为一个“弱”超导体。库珀对可通过这个“弱”超导体而出现超流隧道或电子对隧道效应。约瑟夫森从理论上得到超导隧道电流密度Js与位相差的关系为

式中Jc与两块超导体的性质和绝缘层的厚度以及所处的温度有关。

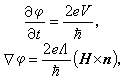
约瑟夫森同时指出,位相受电压V或磁场H)的调制,VH)的关系为

式中约瑟夫森穿透深度d分别为超导体1和2的磁场穿透深度,d为绝缘层厚度,r为垂直于结平面的单位矢量。

如果只在结两端加恒电压V,则

这就是交流约瑟夫森效应。

如果只加一平行于结面的磁场,则

式中 对结面积积分就可以得到结的总电流

式中是穿透到约瑟夫森结中的磁通量,是磁通量子。Is的最大值为

它和实验测得的超导量子衍射结果相符合。

约瑟夫森效应在器件上的应用

基于约瑟夫森效应是与超导弱耦合的概念紧密相关这一认识,人们就脱离了隧道现象的狭窄范围,扩大了结的类型。现在常用的超导结的结构形式如图4所示。表给出了把约瑟夫森元件应用于一些精密测量时可达到的分辨能力。它们可以作用电压标准、磁强计、伏特计、安培计、低温温度计计算机元件,以及毫米波、亚毫米波的发射源、混频器和探测器等,且有灵敏度高、噪声低、功耗小和响应速度快等一系列优点。现今已发展起以建立极灵敏的电子测量装置为目标的“超导结电子学”,与超导磁体一起成为超导电性的两项重大应用。

图4 表

目前,用于测量磁场的传感器,有直流超导量子干涉器件(DCSQUID)和射频超导量子干涉器件(RFSQUID)两种。前者是把两个特性完全相同的超导结并联起来,形成双结超导环,如图5a所示。若在与环面相垂直的方向施加一外磁场,则流经双结超导环的最大超导电流既是每个超导结结区所穿透的磁通量的周期函数,也是超导环所包围的磁通量的周期函数。两者的周期都是一个磁通量子。通常称之为双结量子干涉效应(图5b)。射频超导量子干涉器件,如图6所示,是在一超导环上嵌一超导结构作出的。它们已在测量极低温下的核磁化率、超导体在Tc附近磁化率的涨落、在很宽温度范围内生物化学样品的磁化率,以及岩石磁力等方面应用。E.R.科恩等把磁强计用于监视心脏的活动功能,获得了清晰程度与现在医学上用的心电图接近的心磁图。

图5 图6

利用交流约瑟夫森效应来监视电压单位的基准器,已在美国、日本、英国和加拿大立为法定的保持电压基准器的方法。

约瑟夫森效应提供了一种精密地测量基本常数 e/h的新方法,已经测得

2e/h=483.593718±0.00060MHz/XV,其误差为0.12×10-7

参考书目
  1. L. Solymar, Superconductive Tunneling and Applications,Chapman and Hall, London, 1972.
  2. Newhouse and L.Vernon,ed.,Applied Superconduc-tivity, Vol.1,Academic Press, New York, 1975.
  3. 吴杭生、管惟炎、李宏成:《超导电性·第二类超导体和弱连接超导体》,科学出版社,北京,1979。