柱体扭转和弯曲

浏览

弹性力学中的一类问题,指柱体在侧面不受力,而仅在两端面上受力的扭转和弯曲问题。工程中的轴和梁等杆件均为柱体。A.J.C.B.de圣维南于1855年和1856年先后解决了扭转和弯曲问题。澳大利亚的J.H.米歇尔于1901年和1905年分别解出了几种分布载荷下的弯曲问题和变截面柱体的扭转问题。L.普朗特于1903年和S.P.铁木辛柯于1913年利用引进应力函数(见应力函数和位移函数)的方法分别解决了以应力分量为基本未知函数的扭转和弯曲问题。

扭转和弯曲问题属于仅在端面上受力的柱体平衡问题。按弹性力学方法得到严格满足边界条件的解是很困难的。为此,利用圣维南原理,将边界条件放松,即认为离端面足够远处的应力仅与端面上外力的合力及合力矩有关。这种放松了边界条件的问题称为圣维南问题。根据实验,圣维南假设,柱体纵向纤维之间的作用力为零。圣维南问题的解是唯一的,对大部分问题,解可以通过间接或近似方法求出。间接方法主要有两类:一类是半逆解法,即先在应力分量或位移分量中假设一部分未知函数的形式,然后将所假设的未知函数代入基本方程,由此求得另外一部分未知函数,并使全部的未知函数满足所给定的边界条件。另一类是薄膜比拟,即利用弹性薄膜同扭转和弯曲问题的相似性,通过对薄膜的研究来确定扭转和弯曲问题中的未知量。用弹性力学方法得到的结果,其精度高于材料力学中以平截面假设为基础的结果。

扭转

考虑等截面柱体,取z轴沿柱体纵轴方向,柱体两端在xy面内受扭矩T的作用。在非圆形截面柱体的扭转问题中,截面不仅产生转动,而且产生翘曲。

半逆解法

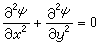
由于单位柱长上截面的相对转角θ较小,所以,xy方向的位移uυ可认为是由截面作整体转动引起的。由此可假设u=-θzyυθzx,并假设z方向的未知位移分量为ωθψ(xy),式中ψ(xy)称为圣维南函数或翘曲函数,它满足的基本方程式为:

公式 符号

边界条件为:

公式 符号

式中s为边界S的周向长度。求出ψ后,根据ψ与应力分量的关系以及平衡关系,可求出θ,进而可确定位移分量和应力分量。

以应力分量为基本未知函数求解扭转问题时,根据圣维南的假设,正应力和xy平面内的剪应力为零,即

公式 符号

只有z平面上的剪应力是未知的,并表示为公式 符号公式 符号,式中Ψ(xy)称为普朗特函数或扭转应力函数,它满足的方程为:

公式 符号

其边界条件为:

公式 符号

式中G为拉梅常数,又称剪切模量;ΨS表示Ψ在边界S上的值。

在求得Ψ后,利用有关方程便可得到其余未知函数。对于外凸状的截面,最大剪应力出现在离截面中心最近的截面边界处。

薄膜比拟

研究承受均匀横向压力作用的弹性薄膜的变形问题可以发现,当薄膜中的某些物理量(如压力和表面张力)和柱体扭转问题中的某些物理量(如单位长度的扭转角θ和剪切模量G)之间满足一定的关系时,扭转问题中的物理量的数值可由和柱体截面形状相同的薄膜中相应的物理量的数值来确定。例如,柱体中任意一点剪应力分量可由薄膜对应点处与剪应力垂直的方向上薄膜的斜率来确定。由此可以得出结论:剪应力合力的方向是薄膜等高线的切线方向,最大剪应力出现在薄膜等高线最稠密的点。

在略去局部应力的影响后,用薄膜比拟法求得的狭矩形截面柱体的扭转结果可用于求解开口薄壁杆件的扭转。若用薄膜比拟法求解具有两个或两个以上边界的薄壁杆件的扭转问题,则需要将内边界用无重量的刚性平板来代替,并利用薄膜罩住的体积的两倍等于扭矩的关系以及剪应力环量公式联立求解,这样便可得到剪应力分量。所谓剪应力环量公式就是剪应力在薄膜等高线上的积分为常数,即公式 符号式中A为等高线所包围的面积。

弯曲

考虑等截面悬臂柱体,取z 轴沿柱体纵轴方向,取截面上两个主轴(见截面的几何性质)为x轴和y轴。柱体在自由端受平行于x轴的力P而弯曲。

半逆解法

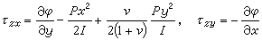
假设柱体横截面内的应力为零,而沿z轴方向的应力公式 符号,式中I为横截面对y轴的惯性矩;l为柱体长度。未知的应力分量表示为:

公式 符号

式中(xy)称为铁木辛柯函数或弯曲应力函数;┃(y)是由边界条件确定的函数。求解弯曲应力函数的基本方程式为:

公式 符号

式中ν为泊松比; C为积分常数。在力P沿x轴方向而 x轴为截面对称轴的情况下C=0;对于非对称截面,在只有弯曲而不产生扭转的情况下 C=0。 若在边界上取公式 符号,则对于单连通截面,边界条件为S=0,S在边界上的值。

对于正方形截面的悬臂梁的弯曲,若取ν=0.3,则所得到的剪应力分量的值比按材料力学公式所得到的近似结果约大15%。

薄膜比拟

悬臂柱体的弯曲问题可同仅受均匀拉力作用的薄膜进行比拟。比拟时应将薄膜张紧在一个和柱体截面形状相同的水平孔上,薄膜的高度即为截面上相应点的应力函数,将得到的代入下式便可得到剪应力分量:

公式 符号

研究现状

截面为圆形、椭圆形、等边三角形以及矩形等简单形状柱体的扭转和弯曲问题已经得到了精确解答。薄壁杆件的扭转问题也得到了比较满意的结果。由于对复杂形状截面柱体的扭转和弯曲问题尚缺乏简便的计算方法,因此,经常采用近似计算方法或实验方法加以解决。

参考书目
  1. 钱伟长、林鸿荪、胡海昌、叶开沅著:《弹性柱体的扭转理论》,科学出版社,北京,1956。
  2. 铁摩辛柯、古地尔著,徐芝纶、吴永祯译:《弹性理论》,人民教育出版社,北京, 1964。(S.Timoshenko and J. N. Goodier,Theory of Elasticity, 2nd ed.,McGraw-Hill,New York,1951.)