磁流体力学基本方程组

导电流体在磁场中运动所遵循的物理规律的数学表达式,用来研究运动的导电流体和磁场相互作用中各物理量间的变化关系,求解电磁场和流场中各物理量的分布。此方程组应用于等离子体的充分条件是碰撞起支配作用,即粒子碰撞的平均自由程远小于宏观变化的特征长度,而粒子碰撞的时间间隔远小于宏观变化的特征时间。磁流体力学基本方程组包括考虑介质运动的电动力学方程组和考虑磁场力的流体力学基本方程组。但在许多情况下,必须把电动力学方程组中的欧姆定律推广为广义欧姆定律,即把导电气体当作电子、带电粒子和中性粒子三种不同的单独流体,考虑气体中的电流与电磁场的关系;在流体力学基本方程组中的运动方程上必须添加电磁场作用于导电流体的力,即洛伦兹力;在能量方程上必须添加电磁场引起的热能增加率。

电动力学方程组

包括麦克斯韦方程组、洛伦兹力公式和广义欧姆定律。

麦克斯韦方程组

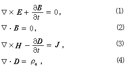
英国物理学家J.C.麦克斯韦首先总结出来的电磁场运动普遍规律的数学表达式。对于介质内部,麦克斯韦方程组为:

公式 符号

式中D=εEB=μeH;EDBHJρeεμe分别为电场强度、电位移、磁感应强度、磁场强度、传导电流密度、自由电荷密度、电容率和磁导率。方程组采用有理化米·千克·秒·安培制。在真空或不导电介质中J=0的情况下,如果已知电磁场的初始状态以及必要的边界条件,则以后任何时刻电磁场的状态仅用麦克斯韦方程组即可确定。取式(1)的散度,得公式 符号 可见式(2)是积分此方程的初始条件,不是一个独立的方程;取式(3)的散度并利用式(4),得电荷守恒方程:公式 符号,故式(3)和式(4)已包含电荷守恒定律

在良导电流体中的任何点不可能有电荷堆积,因此不能通过式(4)来计算电场,但是可以利用欧姆定律:

公式 符号,    (5)

式中v为流体速度;me为电子的质量和电荷;n为单位体积流体中的电子数;σ为电导率。 上式是经过修正的,它考虑了运动流体切割磁力线所产生的感应电场和电子惯性的影响。在电子的低频振荡情况下,上式右端最后一项可以省略;在良导电流体中,可以不必考虑位移电流公式 符号。在上述条件下,取式(5)两端的旋度并利用麦克斯韦方程组消去E,就得到:

公式 符号。   (6)

上式右端第一项代表磁传输效应,即磁力线和流体一同运动(见磁冻结定理);右端第二项代表磁扩散效应,即流体和磁力线相对滑移。磁雷诺数就是一种量度等离子体中磁扩散效应和磁传输效应相对重要性的无量纲参数,定义为Rm=LUσμe,式中LU分别为可与磁场尺度相比的特征长度和可与粒子实际速度相比的特征速度、若Rm》1,则磁力线冻结于等离子体之中,这是宇宙中等离子体的普遍情况;若Rm《1,则磁力线很容易滑过电离物质,这是实验室等离子体的普遍情况。因此,在实验室中很难进行模拟天体问题的实验。

洛伦兹力公式

H.A.洛伦兹根据实验结果提出,不论带电体的运动状态如何,力密度f都由下式决定:

fρeEJ×X。       (7)式(7)即称为洛伦兹力公式,式中右端第一项代表单位体积流体中的电荷所受的电场力;第二项代表上述电荷运动形成的电流所受的磁场力。EB为该单位体积处总的电场和磁场,包括带电体自己所激发的在内。如图所示,磁场力J×B可以分解为-vσB2σE×B,前者为流体切割磁力线所导致的磁场力,即流体受到磁场的阻力,其方向与垂直于磁场的流速v寑的方向相反;后者为电场导致的磁场力,它垂直于电场和磁场。

图 广义欧姆定律

式(5)给出的是简化的欧姆定律,它没有考虑磁场力以及在温度梯度和压力梯度下电子和离子不同扩散率的影响。描述电流密度同上述因素以及电场、磁场、速度间依赖关系的方程称为广义欧姆定律。

在磁场中,带电粒子绕磁力线作螺旋运动,螺线中心沿E×B方向漂移。若B很小,离子漂移比电子漂移小很多,可以略去,而电子漂移产生霍耳效应(见磁流体发电)。这时,广义欧姆定律可写成:

公式 符号, (8)

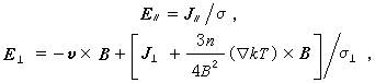
式中pe为电子气的分压;右端第四项为电子扩散导致的电场,同E合并后称为广义电场;右端第三项中J垂直于B的分量J寑为霍耳电流密度。若B很大,带电粒子垂直于磁场的有效平均自由程大为减小,而电子和离子的漂移大小相当,故不出现电子扩散和霍耳电流的影响。这时,广义欧姆定律可写成:

公式 符号

式中下标⊥和∥代表垂直和平行于磁场的量; σ寑≈σ/2;T为温度;k热导率

对于部分电离等离子体(完全电离等离子体和中性气体的混合物)的广义欧姆定律,则必须在式(8)的右端附加一个考虑中性粒子影响的修正项。

修正的流体力学基本方程组

由于磁场对良导电流体的影响,流体力学基本方程组应作如下修正:

连续性方程

公式 符号,      (9)

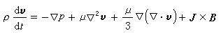
运动方程  公式 符号,(10)

气体状态方程

pRρT,        (11)

能量方程

公式 符号,(12)

式中ф为粘性耗散功率,其定义为:

公式 符号

pρTμkcpR分别为压强、密度、温度、动力粘性系数、 热导率、 定压比热和气体常数;公式 符号。式(9)说明质量守恒,即质量流的散度等于密度减少率。式(10)说明单位体积流体所受的力等于负的压强梯度、粘性力密度和磁场力(密度)之和。式(12)说明能量守恒,即单位体积中流体焓的随体变化率等于压强的随体变化率、热传导功率、粘性耗散功率以及焦耳热产生率之和。式(9)、(10)、(11)、(12)是包含pρTv等6个变量的6个方程,磁场可由式(6)给出,所以磁流体力学方程组是封闭的。

初始和边界条件

应用以上方程来解决实际问题,必须给出实际问题的初始条件和边界条件。一般磁流体力学问题不是先给出初始时刻各物理变量的空间分布函数,而是要求初始条件必须同初始边界条件和基本方程组一致。磁流体力学的边界条件除流体力学中的边界条件(如在物体表面流速为零)之外,还有电磁场边界条件。在流体边界(例如固体边界)上,介质的物理性质发生间断性变化,在间断面上要求电磁边界条件满足:

(1)磁感应强度的法向分量连续;

(2)电场强度的切向分量连续;

(3)在有限电导率情况下,磁场强度连续;若σ→∞,则允许出现面电流和磁场强度间断;

(4)边界上电位移的法向分量可发生间断,即边界上具有自由面电荷。

参考书目
  1.  T.J.M.博伊德、J.J.桑德森著, 戴世强、 陆志云译:《等离子体动力学》,科学出版社,北京,1977。(T.J.M.Boyd and J.J.Sanderson, Plasma Dynamics, Nelson,London,1969.)
  2. M. Mitchner and C. H. Kruger, Jr., Partially Ionized Gases,John Wiley & Sons,New York,1973.