流体力学基本方程组

流体运动所遵循的物理规律的数学表达式,用来研究流体运动中各物理量间的变化关系和求解流场中各物理量的分布。

为了求解科学技术和工程实践中的流体力学问题,首先应对问题中的流体性质和运动现象进行简化,提出反映问题本质的理论模型,并运用基本的物理定律和反映此模型特点的特殊规律建立流体力学基本方程组。方程组应该是封闭的,即方程的个数要与其中出现的未知物理量的数目相等。然后,根据具体问题的初始条件和边界条件,求解方程组,计算流场内各物理量的分布。

流体力学方程组的自变量可以取拉格朗日变量(物质坐标和时间),也可以取欧拉变量(空间坐标和时间)。为了便于计算物理量在流场中的分布,一般多采用欧拉变量。

流体运动规律

即流体流动所遵循的物理规律,它们是建立流体力学方程组的依据。

质量守恒定律

确定的流体,它的质量在运动过程中不生不灭。反映质量守恒定律的方程都称为连续性方程。

动量变化定律

牛顿运动定律) 确定的流体,其总动量变化率等于作用于其上的体力和面力的总和。

能量守恒定律

(热力学第一定律) 确定的流体,其总能量(包括动能和内能)变化率等于外力(包括体力和面力)单位时间所做的功与单位时间自外部给予流体的热量之和。

热力学第二定律

存在状态函数熵,用它可指出可逆运动过程的条件以及不可逆过程的方向。在可逆绝热过程中熵保持不变;而不可逆绝热过程只能朝熵增加的方向变化。

傅里叶传热定律

热流密度矢量与温度梯度大小成正比而方向相反。

状态方程

流体微团在运动中一般可认为是处于热动平衡的均匀系统。只有两个热力学参量是独立的。任何三个热力学参量之间所满足的确定函数关系都称为状态方程(狭义的状态方程特指压力、密度、温度三者之间的函数关系)。不同的流体模型有不同的状态方程。

本构方程

(应力应变关系) 它给出应力与变形速率间的联系,不同的流体模型有不同的本构方程。对牛顿粘性流体,这就是广义的牛顿粘性定律(见牛顿流体)。对忽略粘性的理想流体,应力就归结为压力。

积分形式的流体力学方程组

对有限的流体体积,讨论它的质量、动量、能量的变化率,根据基本物理定律写出的方程组就是积分形式的流体力学方程组。

连续性方程

在流场中任取一体积为τ的流体,τ的周界面为σ,其外法线单位矢量为n。设ρ为流体密度;公式 符号为流体速度,vn=公式 符号·nt 为时间;公式 符号为随体导数。则公式 符号τ内流体质量的增加率;公式 符号为单位时间内通过界面σ流出的流体质量。质量守恒定律给出:

公式 符号       (1)

运动方程

F为作用在单位质量流体上的体力;公式 符号为应力张量;公式 符号σ上的面力密度。则τ内总动量的变化率为公式 符号;τ内体力总和为公式 符号;面力总和为公式 符号。动量变化定律给出动量定理:

公式 符号。     (2)

公式 符号看成是单位体积上的惯性力,动量变化定律可以解释成总惯性力与总外力相平衡,从而合力矩为零,由此给出动量矩定理:

公式 符号

式中r为空间点对某固定点(对此点取力矩)的矢径。

由动量矩定理可导出应力张量公式 符号的对称性。

能量方程

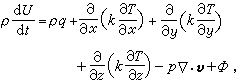
U为单位质量流体的内能;v为速度公式 符号的大小;q为单位时间内热源给单位质量流体的热量;T为热力学温度;Q为热流密度矢量。 傅里叶传热定律给出:Q=-kT,式中k热导率。 单位时间内由热源给τ内流体热量为公式 符号;因传热由界面σ流入τ内的热量为公式 符号τ内流体总能量的时间变化率为公式 符号;单位时间内体力作功为公式 符号;面力作功为公式 符号。能量守恒定律给出:

公式 符号    (3)

式(1)~(3)就是积分形式的流体力学方程组。可用它研究流场中物理量的总体变化关系,也可用它导出间断面上的条件。

微分形式的流体力学方程组

流体力学基本方程组通常就是指微分形式的流体力学方程组。从上面积分形式的方程组出发,把式(1)~(3)中的面积分化成体积分,并假定各被积函数(流场中物理量及其有关的偏导数)连续,就可得到微分形式的方程组(也可直接对无限小体积元应用基本物理定律来建立)。

封闭的流体力学基本方程组

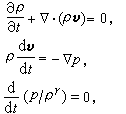
(1)连续性方程:

公式 符号。       (4)

(2)运动方程:

公式 符号。      (5)

(3)能量方程:

公式 符号。  (6)

为使方程组封闭,还要引入本构方程和状态方程。

(4)牛顿粘性流体的本构方程:

公式 符号=(-pλ墷·公式 符号)公式 符号+2μ公式 符号,     (7)

式中公式 符号为单位张量;公式 符号为变形速率张量;p为压力;μ为动力粘性系数;公式 符号为体积粘性系数。μ┡=0公式 符号的情形称为斯托克斯流体(除了高温和高频声波这些极端情况外,对一般情形下的气体运动,都可认为μ┡≈0)。μ┡=0和μ=0的情形称为理想流体,对理想流体公式 符号=-p公式 符号

(5)状态方程:

pp(ρT),         (8)

UU(ρT)。         (9)

例如,完全气体的状态方程(8)为:

pρRT

式中R为气体常数,R=287.14米2/(秒2·度)。比热为常数的完全气体的状态方程(9)为:

UcVT

式中cV为定容比热。

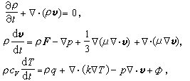
式(4)~(9)共有13个方程,其中包含ρUTp、矢量公式 符号、对称张量公式 符号共13个未知物理量(其中Fqμλk是给定的量),因此式(4)~(9)就是封闭的流体力学基本方程组。

把式(7)代入式(5),就得纳维-斯托克斯方程:

公式 符号

令其中λ=0,μ=0,就得理想流体的欧拉方程:

公式 符号

基本方程组在直角坐标系内的分量形式

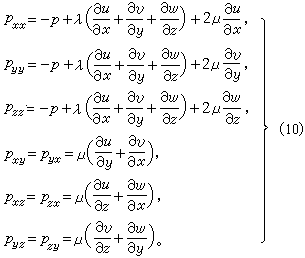
xyz为直角坐标;uvw分别为速度公式 符号xyz轴方向的分量;FxFyFz为体力F的相应分量,PxxPyy、…、Pzz为应力张量公式 符号的相应分量。

本构方程(7)在直角坐标系中的分量形式为:

公式 符号

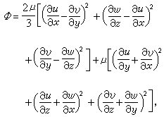
运动方程(5)的分量形式为:

公式 符号

式中公式 符号

连续性方程(4)可写为:

公式 符号。   (12)

把式(10)代入式(11)得到分量形式的纳维-斯托克斯方程:

公式 符号 (13)

式中公式 符号

把式(10)代入式(6),可得能量方程如下:

公式 符号  (14)

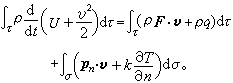
式中能量耗损函数ф的表达式为:

公式 符号

(12)、(13)、(14)与(8)、(9)共7个方程中包含uvwρPTU共7个未知物理量,因此它们就是写成直角坐标系分量形式的封闭基本方程组。

封闭方程组的一些常见的特殊情形

(1)比热为常数的完全气体 μ┡=0。封闭的流体运动方程组为:

公式 符号 公式 符号

公式 符号

(2)正压流体 μ┡=O,μ=常数。封闭的流体运动方程组为:

公式 符号

公式 符号

ρρ(p)──正压状态的状态方程,

式中公式 符号

(3)密度为常数的粘性流体 封闭的流体运动方程组为:

墷·公式 符号=0,

公式 符号

(4)经典的气体动力学方程组 经典气体力学中假定气体是比热为常数的完全气体,运动为绝热过程,忽略粘性和体力,则封闭的运动方程组为:

公式 符号

式中常数γ为定压比热与定容比热的比值(γcp/cV)。

(5)密度为常数的理想流体运动 封闭方程组为:

公式 符号=0,

公式 符号

流体力学基本方程组的适用范围和发展

上面所得到的流体力学基本方程组是在以下一些前提下建立的:

(1)流体在惯性参考系内运动,服从牛顿运动定律;

(2)流体是连续介质;

(3)流体微团在运动中处于热动平衡状态;

(4)流体是单相介质;

(5)牛顿粘性流体的模型;

(6)层流运动;

(7)体力和热源是已知的,并不考虑它们与流体运动间有相互作用

大量自然现象和工程技术中的流体运动都是湍流而不是层流,由于湍流的流场有随机的脉动现象,变化极不规则,必须用统计平均的方法建立湍流平均流动所满足的运动方程组──雷诺方程组(见湍流理论)。

随着生产实践和科学技术的发展,对流体力学不断提出新的、更复杂和特殊的问题。这些新的问题使上述那些前提分别被突破。近年来,流体力学向物理、化学、生物领域中许多相邻学科渗透,创立了许多新的分支学科。如相对论流体力学,多孔介质流体力学(即渗流力学)、稀薄气体动力学、非平衡系统流体力学、多相流体力学、非牛顿流体力学、电流体动力学磁流体力学、物理-化学流体动力学、生物流体力学(见生物流变学)、地球流体力学、宇宙气体动力学等等。在这些新的领域内,分别根据所研究问题的特点,提出各自不同的流体运动模型,从而建立各自不同的流体力学运动方程组。