[拼音]:shuangyuanzi fenzi chunzhuandong guangpu
[外文]:pure rotational spectra of diatomic molecules
通常是指分子最低电子态和振动态内的转动能级间电偶极跃迁产生的光谱,谱线的波长范围一般在微波或远红外区。不等电荷核的双原子分子具有固有电偶极矩,能产生红外光谱;等电荷核双原子分子(例如HD分子)和同核双原子分子(例如氮分子N2、 氧分子O2等)没有固有电偶极矩,不能产生红外光谱。任何双原子分子都能产生喇曼光谱(见喇曼效应)。
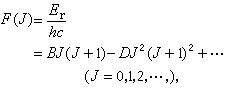
按照分子的非刚性转子模型,可把绕通过分子质心并垂直于分子轴(两原子核间的联线)的轴N 转动的双原子分子视为一个两质点系统,这两个质点由一无质量的弹簧联系着。图1表示刚性转子,图中m1和m2是核1和核2的质量,r1和r2是核1和核2与质心的间距,re是平衡距离。当转子转动时,对于刚性转子模型来说,re保持不变;对于非刚性转子模型来说,re会略微变大。因为分子的转动能量是量子化的,其分立的转动能级的能量值为
(1)
相应的转动光谱项为
(2)
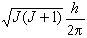
式中的h为普朗克常数;с为真空中光速。上式右边第一项是假定分子为刚性转子时的转动光谱项;第二项是考虑实际分子为非刚性时由于转动离心形变效应引起的小修正项;其后的各项则是更小的修正项。式中J为分子的转动量子数,与它对应的转动角动量为
;分子转动常数
,这里w为分子简谐振动圆频率;分子转动惯量 
是分子的折合质量, r为分子在最低电子态(基态)和最低振动态(υ=0)中原子核间的有效距离。
按照量子力学理论,一个转动分子在较高和较低的转动能级间作电偶极跃迁时,所发射或吸收的光子(即转动谱线)的波数由下式表示
=F(J┡)-F(J″)。 (3)
纯转动跃迁还应服从量子数J改变的选择定则
ΔJ=J'J″=1, (4)
其中J┡为较高转动能级的转动量子数,J″为较低转动能级的转动量子数。这样,由式 (2)、(3)、(4),并取J┡=J+1,J″=J 就可得到双原子分子纯转动光谱的谱线波数的表示式
。 (5)
若忽略式 (5)右边第二项的微小修正,粗略地视转动分子为刚性转子,则分子的纯转动光谱由彼此间波数差等于2B的谱线组成(图2)。从B、J的数量级可以估算分子纯转动光谱的波长范围。实际上,由于存在非刚性修正项的影响,分子的纯转动谱线间隔并非是等距的,而是随谱线波数的增加而稍微减小(图3)。
通过双原子分子纯转动光谱的研究,可确定分子转动常数B、D;同时由
,可求得分子的原子核间距离r。下页的表列出从已知μ值的一些双原子分子纯转动光谱获得的在电子基态和振动基态中的分子转动常数B、D和原子核间距r的数值。