[拼音]:daqi nengliang
[外文]:atmospheric energy
地球大气中各种能量的总称。除太阳辐射能外,大气能量的主要形式有内能、势能、动能、有效势能和潜热、感热等。大气运动需要能量,研究大气运动中各种能量的转换和平衡(见大气环流的能量平衡和转换),是动力气象学的基本内容之一。
内能系统(气块或空气柱等)内空气分子无规则运动的机械能的统计平均值。当气块作绝热运动时,外界所作的功将表现为气块内能的增加。内能是系统的状态函数,当把空气视为理想气体时,它只是温度的函数。单位质量空气块的内能为
U =CVT式中Cv为定容比热,T(K)为气温。
利用静力学关系(见大气运动的平衡状态),可以把自地面(气压P=P0)到大气上界单位截面空气柱的内能表示为
势能
亦称位能。物质系统由于物体之间存在相互作用而具有的能量。对于处在地球重力场作用下的气块,当离开地面(参考面放在地面)时,它要克服重力的相互作用而作功,这部分功将转换成能量的另一种形式,即势能。所以势能是气块距离地面高度 (z)的函数。单位质量空气块的势能为
也称重力位势。在一般的研究气象问题的高度内,重力加速度g 可视作常数,因此势能可近似地表示为
Φ≈gz
利用静力学关系和理想气体状态方程(见大气动力方程),可以把地面到大气上界单位截面空气柱的势能表示为
式中Rd为干空气气体常数。
对于任意截面的空气柱而言,在静力平衡的条件下,势能和内能常常同时增减。因此,在大气科学中,习惯于把势能和内能合在一起考虑,称为全势能。
从地面到大气上界单位截面空气柱内,空气的全势能可表示为
式中cp=Cv+Rd,为定压比热,cpT 称感热。
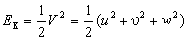
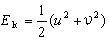
空气因运动而具有的能量。单位质量气块的动能为
式中u、v、w分别为气块速度的东西、南北和铅直分量,
为速度的模。
在实际大气中,全势能比动能大好几个数量级,能量转换的计算结果表明,它绝大部分储存在大气中,只有很小一部分能够转变为动能。为此,把某种封闭大气系统的全势能,和按绝热过程重新调整后该系统所具有的最小全势能之差,称为有效势能EPA。根据计算,有效势能只占系统原有全势能的0.5%左右。实际上,在有效势能中,又只有10%左右能够真正转换为动能。因此,人们把大气视为一部效率非常低的热机。
潜热大气中水汽在相变时释放的一种热量。单位质量气块的潜热为Lq,其中L 是单位质量水物质的相变潜热,q 是比湿。
能量的分解在大气动力学中,为了了解大气能量的转换过程,人们常把动能和有效势能作进一步分解。在湍流运动中,动能 Ek可分为平均动能 Ekm和脉动动能 Ekf两部分,Ekf的变化反映着湍流的增强或减弱。大尺度运动(水平尺度l的量级约为103公里以上)主要是水平运动。此时动能的主要部分,是水平运动的动能
。它可分为纬向平均动能唕k和扰动动能E′k两部分,Ek=唕k+E′k,E′k的变化,反映着扰动的增强或减弱。同样,有效势能EPA也可分解为沿纬圈的平均有效势能唕PA和扰动有效势能E′PA两部分,EPA=唕PA+E′PA。
由于太阳辐射大部分并不直接加热大气,而直接加热下垫面,因此还需要研究大气、海洋等整个地-气系统的能量学。