[拼音]:he shaoti wenti
[外文]:few body problems in nuclear physics
原子核物理学中的重要问题之一。它研究由少数核子组成的体系的结构特性和反应规律。涉及到的核子数少,研究便比较深入,可以期望以此揭示核子间的相互作用的基本规律,并为探讨更复杂的核结构和反应问题提供必要的基础;研究中发展起来并经过检验的实验和理论方法,有可能推广到核多体问题中去。此外,在天体物理和核能应用中,核少体问题也是重要的,因为释放大量核能的热核聚变反应正是少体核之间的反应。例如提供太阳能源的由4个氢核逐步合成氦核的p-p链反应。又如作为核聚变反应堆的工作基础的反应:
及
实验上,人们用高能光子、电子、中子及质子或用高能核2H、3H、3He及4He轰击各种少体核(轻核),测量反应产物的产额、角分布和极化度,用以确定轻核基态和激发态的能级结构和各能级的自旋、宇称等量子数。这方面所积累的大量数据是形成和检验各种核结构和原子核反应的理论模型的依据。
核少体问题中,最早被人们注意而且讨论得最多的,是关于氘核束缚态和二核子间散射的二体问题。通过对这些现象的研究,现在已经相当详细地推知了二核子间相互作用的唯象势(见核力)。
20世纪60年代以来,核三体问题的实验和理论研究已有了长足的进步,目前它还是引起许多工作者注意的课题。L.D.法捷耶夫为三体问题建立了严格的积分方程──法捷耶夫方程。这个方程可以推广到核子数A≥4的系统中去:研究A个核子体系时,广义法捷耶夫方程的积分核和非齐次部分可以用二体、………、(A-1)体问题的解表示出来,所以原则上可以用法捷耶夫形式逐步严格求解核少体问题。不过,随着A的增大,公式很快复杂化,计算繁复到无法进行,所以还很少有人尝试用广义的法捷耶夫方程求解四体以上问题。
近年来实际处理核少体问题时应用较多的是在变分原理基础上发展起来的核集团模型方法──共振群方法。下面简单介绍这个方法的大意。
描写A个核子系统稳态的波函数ψ=ψ(r1,r2,…,rA)满足薛定谔方程
Hψ=Eψ, (1)
式中哈密顿算符
, (2)
而媡是普朗克常数h 除以2π,mk是第 k个核子的质量,墷戦是对应于第k个核子坐标的拉普拉斯算符,rk表示第k个核子的空间、自旋及同位旋坐标,V(r1,r2,…,rA)表示核子间的相互作用势。按照量子力学的变分原理,薛定谔方程(1)和下列变分问题等价
, (3)
式(1)中的能量本征值E在这里作为考虑归一化条件的拉格朗日乘数出现,函数ψ*是函数ψ 的复共轭,δψ*表示它的变分,
表示对所有连续变量的积分和所有离散变量的求和。尝试函数ψ 可以选取为某一完全函数系{嗞i}的线性叠加
, (4)
其中展开系数Ci可看成变分参数。除非函数系{嗞i}中有一个相当接近于所求解,一般需在展开式(4)中取很多项,才能用变分法得出好的结果。因此,针对所考虑的核和能级选取合适的函数系很有必要。原子核集团模型方法的主要目的在于为所考虑的每一核态提供最合适的函数系,使展开式 (4)中只取少数几项就可能给出满意结果。得到一合适的函数系后,还可以通过在函数本身中引入内在变分参量来改进计算:
嗞i(r1,…,rA)─→嗞i(α1,…,αn;r1,…,rA)。
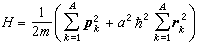
在集团模型计算中,通常假设A个核子在一振子势中运动,并略去质子与中子质量间的差别,把mk都写作m,这时哈密顿量H可写成
, (5)
式中
是第k个核子的动量算符,
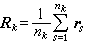
是圆频率为ω的振子势的宽度参量。将A个核子分成l个集团,其中第k个集团包含nk个核子,
{n1,n2,…,nl}称为核的集团表示。引进这些集团的质心坐标
和质心动量
,式(5)中H 量可改写为
,
式中哈密顿量Hk只同第 k个集团中核子的相对坐标rs-Rk和对它们的导数有关。同这种集团表示相应,尝试函数ψ 可取成一些函数的乘积,其中每个函数或者只同一集团中的相对坐标有关,或者只同一个质心坐标有关。在这基础上引进自旋和同位旋函数,并加以反对称化,使满足泡利不相容原理,就可以得出合适的展开函数系。
- 参考书目
- T.Lauritsen and F.Ajzenberg-Selove,Nucl.phys.A,Vol.78,p.1,1966.
- L.D.Faddeev, Three Body Problem, North-Holland,Amsterdam,1970.
- K.Wildermuth and Y.C.Tang,A Unified Theory ofthe Nucleus,Academic Press, New York, 1977.