边界层方程数值解法

边界层理论是德国L.普朗特在20世纪初建立起来的。当流体流经物体表面时,靠近壁面边界很薄的一层,粘性效应很重要。利用粘性边界层很薄的特点,可以把流体力学运动方程(即纳维-斯托克斯方程)中量级较小的各项忽略掉,简化成为边界层方程。边界层理论为粘性流体力学的应用开辟了广阔的道路,在近代力学中起着重要的作用。

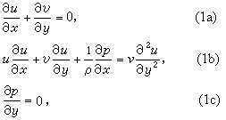
以平面问题为例:定常二维不可压缩流的边界层方程组,由一个连续性方程和两个动量方程组成,即

公式 符号

式中uv为沿着xy方向上的速度分量;pρv分别表示压力、密度和运动粘性系数。边界条件要求在不渗透的固体表面上,两个速度分量为零。在边界层外缘,u渐近地等于外缘速度ue(x),所以有:

公式 符号    (2)

另外,还要给定压力梯度дpx。由于式(1c)中的压力p只是x的函数,它与外缘速度之间的关系为:

公式 符号

方程组(1)是非线性偏微分方程组,求解很困难,一般需用数值方法,这里主要介绍相似性解法和差分解法。

相似性解法

其要点是引进无量纲相似参数,将偏微分方程转换成常微分方程,然后再用数值方法求解。德国Н.布拉西乌斯在1907年首次用此法解压力为常数的平板绕流问题。在连续性方程中引进流函数Ψ,即uΨyv=-дΨx,并定义一个相似参数公式 符号同时令公式 符号f(η) 为无量纲的流函数。速度分量uv及其导数дuy和д2uy2均可以从Ψ 求出,而且都可以用函数 f(η)及其高阶导数表示。最后,原方程组(1)变成一个三阶常微分方程:

f冺+ff″=0,       (3)

对应于边界条件(2), 要求f(0)=f′(0)=0,f′(∞)=1。这是两点边值问题。一般的作法是先假设f″(0)=α, 从η=0的地方对方程(3)进行数值积分。当η→∞时,要求f′(η)→1。如果条件不能满足,必须更改 α的初值,反复迭代到满足 f′(∞)=1的条件为止。但通过变数的转换,也可将这个两点边值问题换成初值问题,求解时不需要反复迭代。令ζ=α1/3ηα仍然代表f″(0);再令f(η)=α1/3F(ζ),则f′(η)=α2/3F′(ζ),f″(η)=αF″(ζ),f冺(η)=α4/3F冺(ζ)。代入方程式(3),得到一个同样形式的方程:

F冺(ζ)+F(ζ)F″(ζ)=0,(4)     但边界条件有些不同,变成F(0)=F′(0)=0,F″(0)=1三个初始条件,正好用数值积分直接求F(ζ),而后利用f′(∞)=1=α2/3F′(∞)求α,即

公式 符号      (5)

方程(4)的具体解法, 是把它改为三个一阶常微分方程,令F的一阶导数为G,二阶导数为H,则有:

F′=GG′=HH′+FH=0,     (6)FGH为三个未知变数,相应的初始条件为:F(0)=0,G(0)=0,H(0)=1。这组一阶常微分方程可用一般的数值积分法求解。

差分解法

这种解法是将微分算符近似地用差商代替,把微分方程改为差分方程然后再求解。在有压力梯度的流动中,相似条件不能满足。用前面相同的坐标变换,即公式 符号但此处应令公式 符号由于相似性假设不适用,流函数fξη的函数。通过坐标转换,方程(1b)变为:

公式 符号,  (7)

式中 f′、f″、f冺 均为 η 的导数;f公式 符号ξ 的导数;公式 符号为压力梯度参数。差分-微分方程是将上式的 ξ导数项改用差分形式,而在η方向仍保持微分形式。这样,方程(7)变成在 η 方向上的常微分方程,具有在η=0,η=∞的两点边界条件,可用迭代法求解。近来,人们直接将边界层方程的所有偏导数均用差分表示。这类差分法的格式很多(见有限差分方法),现以凯勒的差分格式为例。 此法首先将原方程〔如方程(7)〕改写成几个一阶偏微分方程组,而后将所有一阶导数均用中心差分,给出具有二阶精度的差分方法。现将 f(ξη)对 η的一阶导数用 g(ξη)表示,二阶导数用h(ξη)表示。方程(7)可改为:

公式 符号  (8a)

公式 符号。 (8b)

上两式均在公式 符号点上取值,它们的差分方程为:

公式 符号   (9a)

公式 符号   (9b)

方程(8b)则在公式 符号点上取值,如

公式 符号 公式 符号 公式 符号 公式 符号 公式 符号 公式 符号

在这些式子中,还有一些非线性项,如g卾,(fh)i+1,须进行线性化,如果把gi+1gi的差值看作小量,并忽略小量二阶以上的项,即得出线性化关系式:

公式 符号 公式 符号

将以上各式代入(8b),即可得出在i+1截面上的线性差分方程。连同(9a)和(9b)一起,并结合相应的边界条件,便可联立求解三个未知量fgh。从f即可求流函数Ψ,从而可计算出两个速度分量uv