[拼音]:pianweifen fangcheng tezheng lilun
[外文]:characteristic theory of partial differential equation
特征是偏微分方程论的一个基本概念。它对研究解的存在、惟一性及其他性质(例如奇性传播)都有重要的意义。
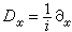
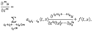
柯西-柯瓦列夫斯卡娅定理解析情况的柯西-柯瓦列夫斯卡娅定理是偏微分方程论中的第一个普遍的存在定理。以m阶线性偏微分方程为例,这个定理是说,对于柯西问题
(1)
(2)
式中
分别是其复变元在原点附近的解析函数,x=(x1,x2,…,xn),有惟一的在原点附近解析的解存在。这定理也适用于非线性的,以及方程组的情形。但是,都要求未知函数对t的最高阶导数已经解出。
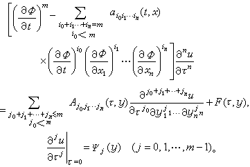
也可以考虑初始条件不是给在超平面 t=0上而是给在一般的解析超曲面S:φ(t,x1,x2,…,xn)=0上的情况。这里φ是(t,x)在(0,0)
附近的解析函数,而且为了方便,设φt≠0。这时可以作变量变换τ=φ(t,x1,x2,…,xn),yj=xj,j=1,2,…,n,柯西问题(1)、(2)将变为
为了应用柯西-柯瓦列夫斯卡娅定理,应该要求在S:
=0上有
(3)
将上述讨论移到一般的m 阶线性偏微分算子P(x,Dx)上,这里P(x,Dx)是
的多项式,其象征为P(x,ξ),主象征为Pm(x,ξ)。为了方便,记t为x0,x=(x0,x1,…,xn)相应于(3)的结果是:对于超曲面
有
如果一个超曲面φ(x)=0(grad φ≠0)适合
(4)
则称它是P 的特征超曲面。
如果不是在x空间的某区域U 中讨论(4)式而是在U×(
\0)中讨论它,即讨论Pm(x,ξ)=0,这里ξ∈
,ξ≠0,可以给出一个相应的定义:算子P(x,Dx)的特征集为
对于超曲面φ(x)=0,(gradφ ≠0),其上每一点都有一个法线向量
。如果把超曲面上一点与该点的法线向量合起来成为一个接触元素
,那么特征曲面就是其一切接触元素均属于特征集的超曲面。
对于非线性方程也可以利用与 (4)式相似的关系式来定义其特征。不过,这时定义特征的式子中将含有未知函数u,所以只能讨论当u为某一函数u=u0(x)时,φ=0是否相应的特征超曲面。
次特征(4)式并非
的某一区域U中的一阶偏微分方程。但若考虑相应的一阶偏微分方程
(5)
则(5)也有自己的特征,即常微分方程组
(6)
的积分曲线。这个积分曲线称为P的次特征。
方程组(6)有一重要性质,即Pm(x,ξ)是其初积分。事实上,若Г:x=x(t),ξ=ξ(t)是次特征,则沿着Г,Pm(x(t),ξ(t))=常数:
因此,若以
为初始值解(6),而且设(x0,ξ0)是特征元素,则过(x0,ξ0)的次特征上全是特征元素:
。所以在求P的特征超曲面时,可以用特征线法解出一阶偏微分方程(5)(见一阶偏微分方程),即用次特征“织”成一个超曲面,只要初始元素是特征元素,则所得必是特征超曲面。适合一定条件的特征超曲面都可以这样求得。若解其达布问题,就可以得到特征角面。以上都是在(x,ξ)空间中考虑的。
如果在(x,ξ)空间考虑,
并视ξ为一向量,(x,ξ)就成为x空间中x点处的接触元素。这样,
(6)的解将称为P的次特征带,它在x空间的投影称为次特征曲线。一切适合于一定条件的特征超曲面都是由次特征曲线“织”成的。
仍用t记x0,表示时间;x=(x1,x2,…,xn)表示空间。φ(t,x)=0在(t,x)空间中表示一个超曲面,而在x空间中则表示随时间t在x=(x1,x2,…,xn)空间中运动的超曲面。
设m阶线性偏微分方程
的解u
在超曲面S上有弱间断,即u及其直到m-1阶导数均在S附近连续,而m 阶导数在 S上有第一类间断。其跃度记为μ
,若以u 在S上的直到
m-1阶导数为初值解Pu
=
0的柯西问题,则在S的两侧得到不同的解,即以S为支柱时柯西问题失去了惟一性。可以证明, 这时 S必定是特征超曲面。总之,线性偏微分方程解的弱间断面必定是特征超曲面。
上述情况可以从物理上加以解释。视Pu=0的解为一个波。若在超曲面S:φ(x,t)=0之一侧u呏0,而在另一侧u扝0,则S是波前。因为在S的“前方”,即u呏0的一侧,一切都是平静的,表示在该时刻波还没有传播到这个区域;S的另一侧u扝0,表示该区域在该时刻已受到波的扰动影响。所以在x空间中随时间运动的超曲面S正描述了波前在x空间中的传播。
作相应于算子P的次特征曲线,并记其上的参数(即(6)的自变量t)为s,则Pu=0的解u的m阶导数的跃度μ
适合所谓传输方程
A是算子P决定的函数。因此
。 (7)
由(7)可知,若 μ(0)=0(或μ(0)≠0),则沿着整个次特征曲线恒有μ=0(或μ≠0)。这就是说,解的间断沿次特征曲线传播。特征超曲面表示波前;这里又看到,次特征曲线表示光线。通过特征理论,可以看到物理光学的基本概念波前与几何光学的基本概念光线这两者的紧密联系。(见双曲型偏微分方程、哈密顿-雅可比理论)
偏微分方程解的间断,是解的奇异性情况之一。在C∞理论框架下,常用解 u的奇支集sing suppu来刻画解的奇异性。解的奇性传播问题,就是讨论sing suppu的传播问题。这是线性偏微分算子理论的基本问题之一。这方面最基本的结果,简言之,仍是Pu=ƒ的解u之奇性沿次特征传播。
若算子P没有实特征,即P为椭圆算子,
则Pu=ƒ的解当ƒ
∈C∞时也应属于C∞。(C.H.)H.外尔在1940年对拉普拉斯算子证明了这个结果。后来,L.施瓦尔茨对一般C∞系数椭圆算子也证明了这个结果。但是椭圆性只是这个结果成立的充分条件,因此将具有这一性质(当ƒ∈C∞时,Pu=ƒ之解u∈C∞,称为亚椭圆性)的算子分为一类称为亚椭圆算子。亚椭圆性的研究也是线性偏微分算子理论的基本问题之一。非线性偏微分方程解的奇异性问题要复杂得多,但是特征理论在其中也起基本的作用。