承受垂直于轴线的横向载荷的杆件。它是工程结构中重要的承力构件,如房梁、轮船的龙骨、飞机机翼的大梁和起重机的大梁。梁的种类繁多,按照轴线形状,可分为直梁和曲梁;按照支持的形式,可分为悬臂梁、简支梁、连续梁、弹性基础梁等(图1)。梁的支反力可由静力平衡条件确定的,称为静定梁,(见静定结构),如悬臂梁和简支梁;不能由静力平衡条件确定的,称为静不定梁(见静不定结构),如连续梁和弹性基础梁。

图

在横向载荷作用下,梁轴线的曲率会发生变化,直梁的轴线由直变曲,曲梁轴线的曲率增大或减小。这类变形称为弯曲变形,变形后的轴线称为挠曲线。

早在17世纪,伽利略就研究过梁的弯曲问题。在随后的一百多年中,经E.马略特、雅各布第一.伯努利(见伯努利家族)、A.帕伦、C.-A.de库仑等科学家的继续研究,基本上形成以平截面假设为基础的弯曲理论。这一近似理论满足了工程上的要求并得到广泛的应用。

弯曲形式

若梁的横截面有一对称轴,则梁有一纵向对称面。梁的轴线即为纵向对称面内的直线(直梁情形)或曲线(曲梁情形)。若作用于梁上的载荷都在这个纵向对称面内,则挠曲线也是这一平面内的曲线,这类弯曲称为平面弯曲,是工程中最常见的弯曲形式。若梁的横截面无对称轴,则梁也无纵向对称面,但只要载荷通过弯心连线,且平行于截面的形心主惯性轴(见截面的几何性质),梁的变形仍为平面弯曲。在横截面无对称轴的情况下,如果载荷通过弯心但不平行于截面的形心主惯性轴,则梁在两个形心主惯性平面内同时产生弯曲变形,变形后的挠曲线不再位于载荷作用的纵向平面内,这种弯曲称为非对称弯曲。若梁的横截面虽有对称轴,而载荷通过截面形心而不与对称轴重合,梁也会在两个形心主惯性平面内同时弯曲,变形后的挠曲线也不在载荷作用的纵向平面内,这种弯曲有时称为斜弯曲。

剪力图和弯矩图

对横向载荷作用下的梁(图2a),

图

用假想的横截面mn把梁截开。由于每一部分处于平衡状态,所以在截面mn上,必然有一个分布的内力系,它代表mn截面左右两部分之间的相互作用。根据平衡条件,截面上的内力系可用一个大小为Μ的力矩和一个与截面相切的、大小为Q的力代替(图2b),前者称为mn截面上的弯矩,后者称为mn截面上的剪力。不同截面上的弯矩和剪力一般不相同。在实际问题中,为便于计算梁内的应力和梁的变形,常用图表示剪力和弯矩随截面位置的变化,这些图称为剪力图和弯矩图。例如图3中在集中力P作用下的简支梁,其剪力和弯矩分别如其下的两折线所示。图中横坐标x表示截面位置,纵坐标分别为该截面上的剪力Q和弯矩Μ。若在梁的某一部分内,截面上只有弯矩而无剪力,则这一部分梁的弯曲称为纯弯曲;既有弯矩又有剪力的弯曲,称为横力弯曲。

图 弯曲正应力

每一梁截面上的弯矩都由截面上的弯曲正应力所平衡。由梁截面上的弯矩可进一步求出截面上正应力的分布规律。根据平截面假设,梁内必然存在一个变形前后纤维长度不改变的中性层。它把梁分为两部分,一部分受拉,另一部分受压。中性层和横截面的交线称为中性轴(图4)。

图

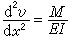
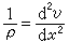
对直梁来说,弯曲变形后挠曲线上一点的曲率半径ρ和该点所在截面上的弯矩Μ之间有以下关系:

公式 符号,          (1)

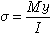
式中E为材料的弹性模量;I为截面对中性轴的惯性矩。EI反映了梁抵抗弯曲变形的能力,称为弯曲刚度。梁内任一纤维的受力和变形,与它到中性层的距离成正比,即横截面上任意点的弯曲正应力与该点到中性轴的距离成正比,如图5所示。图中正应力用右侧的箭头表示。弯曲正应力的计算公式为:

公式 符号,         (2)

式中σ为横截面上一点的正应力值;y为该点到中性轴的距离。由于横截面上离中性轴越远的点的正应力越大,所以,为了充分利用材料,应尽可能把材料置放于离中性轴较远处。这样梁能以较小的弯曲变形抵抗弯矩的作用。采用工字梁或箱形梁的道理就在于此。

图

上述直梁弯曲理论,在纯弯曲的情况下是精确的。如果把它应用于横力弯曲,所得结果是近似的,但对比较细长的梁其精确度已可满足工和要求。对轴线曲率半径远大于横截面高度的曲梁,仍然可以使用式(2)。但如果轴线曲率半径和横截面高度的量级相同(如吊钩),则正应力沿截面高度的变化规律为双曲线(图6),而不再象直梁那样按直线规律分布。

图 弯曲剪应力

在横力弯曲下,梁截面上除了有与弯矩对应的正应力外,还有与剪力对应的弯曲剪应力。剪应力的分布与梁的几何形状有关,它在变截面梁和等截面梁中的分布也有很大差异。用材料力学的方法,可以计算截面呈某些特殊形状的杆件的剪应力。例如,在狭长矩形截面梁中,剪应力沿截面的高度按抛物线规律分布(图7)。图中左边的箭头表示剪应力的方向,右边的阴影表示剪力的大小。在中性轴上,剪应力最大(τ),而在横截面上下边缘,剪应力等于零。

图

在梁的弯曲问题中,弯曲正应力是主要的,弯曲剪应力是次要的,有时可忽略。但对于一些特殊情况的梁,如跨度较短的梁、薄腹板梁、夹层梁等,剪应力不可忽略。

弯曲变形

在如图8所示的坐标系中,以v表示直梁平面弯曲挠曲线上一点的纵坐标,则挠曲线的方程式可以写作:

公式 符号,         (3)

v就是横坐标为x的梁截面形心的垂直位移,称为挠度。梁截面在弯曲变形中对其原来的位置所转过的角度θ 称为该截面的转角。工程中常见的直梁,其挠曲线是一非常平坦的曲线,即挠度v远小于跨度l,转角θ也非常小。这样,截面转角θ近似地等于挠曲线上对应点的斜率tgθ,即

公式 符号。        (4)

而曲率公式 符号也可近似地写成:

公式 符号。         (5)

将上式中的曲率代入公式(1),得出挠曲线的近似微分方程式:

公式 符号。        (6)

根据以上方程式,通过积分法、共轭梁法或差分法等,就可求得截面转角及挠度。

图

以上的讨论,都假设材料是线弹性的,服从胡克定律。若应力超出弹性范围,材料中就会出现塑性变形。在这种情况下,平截面假设仍然有效,但应力-应变关系不再是线性的,且在加载和卸载过程中遵循不同的规律。在考虑塑性变形的基础上研究梁的弹塑性弯曲问题,会得出一些不同的结果(见塑性力学)。

参考文章