雪茶

概况

异名:太白茶(《陕西中草药》),蛔样地衣(《全国中草药汇编》),太白针、石白茶(《中国药用地衣》)。

基源:为不完全地衣类地茶属植物地茶的地衣体。

原植物:地茶Thamnolia vermicularis(Sw.)Ach.(Lichen vermicularis Sw.)

历史:《纲目拾遗》云:“雪茶出丽江府属山中,雪地所产,色白味甘,性大温,怯寒疾如神。”即指该属的地茶及雪地茶地衣。

形态:地衣体较细弱,白色或灰白色,管状,单一或有稀少分枝,先端稍弯曲,呈蛔虫状,高3~7cm,粗1~2mm;经过长久保存的标本易变成肉红色。被子器和粉子器侧生。(图见《中国地衣植物图鉴》.图版44:4)

生境与分布:生于高寒山地,草丛中,地上。分布于黑龙江、吉林、内蒙古、陕西、新疆、安徽、湖北、四川、云南、西藏。北半球广分布,南半球也有。

生药

采集:积雪融化后采收,除去基部苔藓状物及杂草,晒干。药材产于云南、四川。

鉴别:全体呈细长管状,单枝或有2~3分枝,白色,长3~7cm,直径1~2mm,粗者呈扁带状,基部有断痕,先端渐尖细,外表面细致,略有皱纹凹点。断面中空。质稍柔软,气无,味苦似茶。以粗壮、色白、味苦者为佳。

化学性质

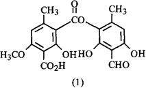
含甘露醇、D-阿糖醇、雪茶酸(Thamnolic acid)、羊角衣酸(Baeomycesic acid)、鳞片酸(Squamatiicacid)[1]、雪茶素(Vermicularin)(1)[2]

参考文献

[1] 丁恒山.中国药用孢子植物.上海科学技术出版社,1982:1-370。
[2] 云南植物研究 1985;7(1):109。

药理

①对心血管的作用 雪茶素125mg/kg ig对麻醉猫有一定的降压作用;5%雪茶素1,2ml/kg ig对家兔心脏活动无明显影响,仍呈窦性心律[1]。 ②抗炎作用 雪茶素1g/kg ig对大鼠蛋清性关节炎有抗炎作用,且1g/kgig连续5d可抑制大鼠甲醛性关节炎[1]。 ③对离体肠管的作用 离体兔小肠置于Tyrode氏液内,加入2.5%雪茶素0.4ml,小肠张力下降,收缩振幅变小或变平,加入0.1%组织胺0.2ml,继之加入雪茶素混悬液(最终浓度1-2.2×10-4g/ml),张力下降,收缩振幅变平,即对抗组织胺对家兔离体小肠的兴奋作用[2]

毒性:雪茶素混悬液ig,对小鼠的LD50为19.99±0.16g/kg[1]

参考文献

[1] 云南医药 1985;6(5):314。
[2] 云南医药 1985;6(6):330。

药性

性味:①《全国中草药汇编》:“微苦,凉。” ②《四川中药志》:“淡、微苦,凉。”

功效:清热解毒,养心明目,醒脑安神。

主治:虚劳骨蒸,肺炎咳嗽,癫痫狂躁,神经衰弱,高血压。 ①《纲目拾遗》:“治胃气积痛,疗痢。” ②《全国中草药汇编》:“中暑,心中烦热,阴虚潮热,肺热咳嗽,神经衰弱,高血压病。” ③《四川中药志》:“治口干舌燥,眼昏头闷,精神疲倦。”

用法用量:内服:煎汤,9~15g,或泡茶饮。

临床应用

方选和验方: ①《陕西中草药》:“治神经衰弱:太白茶(即雪茶)、鹿衔草各10g,羊角参6g。黄酒为引,水煎服。” ②《陕西中草药》:“治癫痫狂躁:太白茶、朱砂各10g。水煎服。须少服。” ③《陕西中草药》:“治高血压病:太白茶、羊角参、小晕鸡头各15g。水煎服。”

医药家论述

赵学敏《纲目拾遗》:“按雪茶出云南永善县,其地山高积雪,入夏不消,雪中生者,本非茶类,乃天生一种草芽。土人采得炒焙,以其似茶,故名,其色白。故曰雪茶。茶片皆作筒子,如蜜筒菊蕊瓣样。此茶大能暖胃。若患痨损及失血过多之人,腹胃必寒,最忌食茶,惟此茶不忌。烹瀹食之,入腹温暖,味亦苦冽香美,较他茶更厚。”

参考文章