野百合

概况

异名:佛指花(《植物名实图考》),山油麻、野芝麻、芝麻响铃铃(《浙江民间草药》),农吉利(北京、广西)。

基源:为豆科野百合属植物野百合全草。

原植物:野百合Crotalaria sessiliflora L.(Crotalaria brevipes Champ.;Crotalaria pallida Blanco),又名兰花野百合(河南、江西),猪铃草(广东、贵州),野花生(山东)。

历史:本品始见于《植物名实图考》谓:“野百合、建昌、长沙洲渚间有之,高不盈尺,圆茎直韧,叶如百合而细,面青,背微白。枝梢开花,先发长苞,有黄毛蒙茸下垂,苞坼花见,似豆花而深紫,俚医以治肺风。”《全国中草药汇编》、《中草药学》对本品形态、成分、药理等均有全面记载。由于本品之抗癌作用而引起国内外重视。

形态:一年生灌木状草本。茎直立,高20~100cm,有分枝,植株被贴伏糙毛。叶互生,线形或披针形,长2.5~9cm,宽0.5~1cm,两端渐尖,下面被贴伏长柔毛;叶柄极短;托叶线形,被毛。总状花序顶生或腋生;花10余朵、密集;花萼二唇形,密被棕黄色粗长毛;花冠淡紫色或紫蓝色;雄蕊10。荚果长圆柱形,膨胀,长约1.5cm,深棕色或深紫褐色,无毛。种子10~15粒,肾形。花期8-9月,果期10~11月。(图见《中草药学》.图393)

生境与分布:生于低山坡,干燥山谷、旷野草地。除西北外中国各地均有分布。

生药

采集:夏、秋季采集,除去杂质,晒干或阴干。药材产于山东。

鉴别

性状:茎圆柱形,稍有分枝,表面灰绿色,密被灰白色茸毛。单叶互生,叶片多皱缩,完整者线形或线状披针形,暗绿色,下表面有柔毛,全缘。荚果长圆形,长1~1.4cm,包于宿存花萼内,宿萼5裂,密被棕黄色或白色长毛。种子细小,肾形或心形而扁,成熟时棕色。有光泽。气无,味淡。

显微 叶表面观可见表皮细胞垂周壁稍弯曲。气孔上下表面均有,多为不等式,亦可见不定式,非腺毛多有存在于下表皮,由2个细胞组成,长296~1550μm,宽23~40μm,壁薄,具疣突,正面观似单细胞毛,侧面观可见基部有一短的基部细胞,毛基部表皮细胞呈放射状排列。叶肉组织中有大的尖圆形粘液细胞,直径40~50μm,遇钌红试液呈红色。茎(直径约2mm)的横切面可见表皮细胞一列,细胞类方形或略切向延长,外被薄的角质,非腺毛与叶表面所见者相似。皮层细胞3~5列,壁薄,具大的胞间隙,皮层外侧接近表皮处有粘液细胞存在,遇钌红试剂呈红色。内皮层明显。中柱鞘纤维束排列成断续的环带,壁稍增厚,微木化。韧皮部窄。木质部由导管、木纤维及木薄壁细胞组成,均木化。髓由薄壁细胞组成,具明显纹孔。表面观可见表皮细胞纵向延长呈长方形,垂周壁平直。气孔不等式或不定式。非腺毛与叶表面所见者相似,直径21~57m,表皮下方可见粘液细胞。(图见《中药志》.第4册.第2版.376、377页.图373、374)

化学性质

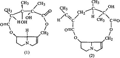
含生物碱:野百合碱(即农吉利碱,Monocro-taline)(1)和农吉利碱Ⅱ(2)[12]。此外尚含农吉利黄酮[3]、全缘千里光碱、毛束草碱[4]

参考文献

[1] 药学学报 1980;15(5):278。
[2] 药学通报 1980;15(6):4。
[3] 江苏省植物研究所等.新华本草纲要.第2册.上海科学技术出版社,1991:122。
[4] Planta Med 1992;58(3):283。

药理

①细胞毒作用 在已长成单层的人肾细胞中加入野百合碱(农吉利甲素)0.35mg/ml,可引起细胞病变,当剂量增至0.5mg/ml时病变显著。将上述两种剂量的农吉利甲素加入人肾细胞,可抑制后者对糖的合成、在细胞糖酵解时,能抑制细胞对糖的利用,因此细胞乳酸生成量减少,pH值升高,且能抑制细胞DNA的合成[1,2]。野百合碱ip20mg/kg可使小鼠骨髓多染红细胞的微核率有显著增加,说明野百合碱具有一定的致突变作用[3]。 ②抗癌作用 体外在人体肝癌培养细胞系(BEL-7402)培养液中加入野百合碱100,300,500μg/ml,可使细胞形态发生显著改变,抑制细胞有丝分裂和生长率[4]

毒性:野百合碱在恒河猴肩胛骨间sc30mg/kg,2、4、6月后,再各注射1次,饲养399天时,经麻醉后病解,发现野百合碱可诱发猴的肺心病[5]

参考文献

[1] 药学通报 1981;16(11):54。
[2] 中国中药杂志 1990;15(6):44。
[3] 北京医科大学学报 1986;18(40):259。
[4] 肿瘤防治研究 1979;(6):61。
[5] 中华结核和呼吸杂志 1987;10(3):148。

药性

性味:苦、淡,平。

功效:清热,利湿,解毒,抗癌。

主治:疔疮,痢疾,小儿疳积,癌症。 ①《植物名实图考》:“治肺风。” ②《全国中草药汇编》:“疔疮,皮肤鳞状上皮癌,食道癌,宫颈癌。” ③《新华本草纲要》:“用于疔疮,恶性肿瘤,耳鸣,头目眩晕,病后虚弱,热淋,久咳,白带,痢疾,小儿疳积。”

用法用量:内服:煎汤,15~30g。外用:捣敷。

临床应用

方选和验方: ①《浙江天目山药用植物志》:“治湿水,助消化;野百合20~25g,石菖蒲12~15g,鲜落地棉花(伞形科破铜钱)、红藤(大血藤科大血藤)各15~18g。水煎,早、晚饭前各服1次。” ②《浙江药用植物志》:“治疮疖:野百合全草、紫花地丁、金银花各15g,水煎服;或上述鲜品,捣烂外敷患处。” ③上海中医药杂志 1981;(6):“治支气管哮喘:制首乌、生草乌、野百合各30g,当归12g,马钱子、官桂、赤芍、仙鹤草等,水煎服。” ④农吉利注射剂(山东省卫生局肿瘤防治办公室《农吉利治癌研究资料》(2)1972)治恶性肿瘤:用30%酒精提取农吉利注射液,每日肌注10ml,另加40ml,静注;或用注射剂于病变部位局部封闭;或加用汤剂、片剂等同时给药。 ⑤野百合栓、注射剂并用(北医通讯1972;(6,7),治宫颈癌:每日1栓(含生药6g)置于阴道内;注射液4ml(每ml含生药0.5~1.0g)每日2次,肌肉注射;或静脉注射20~40ml,加生理盐水10ml,行静脉注射,每日1次;或10ml瘤体内注射。 ⑥安徽省《临床科研资料选编》1972:“治慢性气管炎:农吉科干品60g,加水1000ml,煎20分钟去渣取汁,再以文火浓煎成400ml,加糖适量,为1日量,分3~4次服完,7天为1疗程。” ⑦山东省乳山县人民医院:“野百合针剂治皮肤癌:农吉利(每2ml含农吉利甲素50mg)每次注射25~50mg,每天或隔天注射1次,于病变处或基底部周围行封闭式注射;全草粗制剂(酒精提取的30%注射液,每支5ml,相当原生药1.5g)每次注射3~5ml。” ⑧山东德州地区肿瘤研究组:“治恶性肿瘤:野百合局部贴敷和离子透入法:即将野百合捣烂或干全草研粉,水调敷患处,每日换药1次;或将适量的野百合,捣烂涂纱布上放在创面,然后用阳极导入,以有轻刺激感为宜。每日1次,每次20~30分钟,12次为1疗程,每隔7天再行1疗程。” ⑨山东肿瘤研究所(1977年):“治胃癌、食道癌、乳腺癌、直肠癌、肝癌、血液系统癌:野百合碱注射液50mg或全草注射液(相当生药4g),局部注射于肿瘤基底部。每日或隔日1次,30天为1疗程,一般2~4个疗程。”

单方应用:①《安徽中草药》:“治喘息性气管炎;农吉利30~60g(鲜草60~120g),加水1000ml,煎20分钟,去渣取汁,加糖适量,分3~4次口服。” ②《广西本草选编》:“治皮肤鳞状上皮细胞癌:农吉利全草15~30g,水煎服;并用鲜全草捣烂成湖状或用全草研粉,用冷开水调敷患处,日换2次,至愈为止。” ③《贵州中草药名录》:“治久咳,热淋痞块不消,骨癌,子宫癌:野百合全草适量,水煎服。” ④《植物名实图考》:“治肾阳不足,耳鸣,耳聋,头目眩晕:野百合15~30g,水煎服。” ⑤《浙江民间常用草药》:“治小儿黄疸、疳积:野百合全草30g,水煎服。” ⑥《湖南药物志》:“治盗汗:野百合全草30g,水煎服。” ⑦《湖南药物志》:“治骨鲠喉:野百合全草晒干,研末,兑水含服。” ⑧《浙江民间常用草药》:“治毒蛇咬伤;野百合鲜全草捣烂外敷。”

食疗:①《湖南药物志》:“治白带:野百合30g,水杨柳15g,白鸡冠花15g,白花乌豆30g,木通30g,土茵陈15g,煮鸡蛋吃。” ②《福建药物志》:“治风湿关节痛:野百合、全缘榕各15g,南蛇藤根24g,猪排骨适量,炖服。”