火焰子

概况

异名:金牛七,蔓乌药,千锤打(陕西),草乌(青海,宁夏)。

基源:为毛茛科乌头属植物松潘乌头的块根。乌头属全世界约350种;中国约165种,供药用的近50种。

原植物:松潘乌头Aconitum sungpanense Hand.-Mazz.

形态:草本,块根圆形,长约35cm。茎缠绕,长达2.5m,分枝。茎中部叶有稍长的柄;叶片革质,五角形,3全裂,裂片几无柄,中央全裂片卵状菱形或近菱形,两面有稀疏短柔毛;叶柄比叶片短,无鞘。总状花序有5~9朵花;花梗长2~4cm,多少弧状弯曲,常排列于花序之一侧;萼片淡蓝紫色,有时带黄绿色,上萼片高盔形,高1.8~2.2cm,中部粗7~9mm,下缘长1.4~1.5cm,稍凹,外缘近直或中部稍缢缩,与下缘形成短喙,侧萼片长1.3~1.5cm;花瓣无毛或稀被短毛,唇长4~5mm.微凹,距长1~2mm,向后弯曲;心皮3~5,无毛或子房疏被紧贴的短毛。蓇葖长1~1.5cm,无毛。种子三棱形,沿棱生狭翅,只在一面密生横膜翅。8~9月开花。(图见《中国植物志》.第27卷.253页.图版51、54)

生境与分布:生于海拔1400~3000m间山地林中或林边灌丛中。分布于山西南部、陕西南部、宁夏南部、甘肃南部、青海东部、四川北部。

生药

采集:秋季采挖,去净泥土和须根,晒干。

加工炮制:参见“草乌”条。

贮藏:置通风干燥处,防蛀。

化学性质

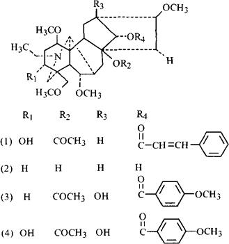
含二萜生物碱,有松潘乌头碱(Sungpanconitine)(1)、Chasmanine(2)、Crassicauline A(3)、乌头碱和云南乌头碱(Yunaconitine)(4)[1,2]

参考文献

[1] 新华本草纲要.第1册.上海科学技术出版社,1988:107。
[2] Planta Med 1987;53(6):544。

药性

性味:辛,温。 有毒。 ①《陕西中草药》:“辛、微苦,温,有大毒。” ②《宁夏中草药手册》:“辛,热,剧毒。” ③《新华本草纲要》:“苦、辛,温,有大毒。”

功效:祛风除湿,活血止痛。

主治:风湿关节疼痛,跌打损伤。 《陕西中草药》:“止痛,解痉,麻醉,败毒,祛风湿,活血攻瘀。治跌打损伤,劳伤,风湿性关节炎,无名肿毒,痈肿疔毒。”

用法用量:内服:煎汤,0.1~0.5g(须同用三倍量桃儿七),研粉0.03~0.1g《凉开水送下)。外用:以水、酒或醋磨汁涂,或研粉调敷。

使用注意:①《陕西中草药》:“服药后忌烟、酒、浆水及辛热饮食2小时。高烧患者及孕妇忌服。服火焰子若中毒,可服长春七米泔水凉浸泡液或凉浆水解。” ②《宁夏中草药手册》:“反半夏、天花粉、瓜蒌、白蔹、白及、贝母。”

参考文章