Ò©²ÄÃû³Æ£º¿íÒ¶×Ïݽ
Ãû³Æ³ö´¦£º¡¶ÖйúÒ©ÓÃæß×ÓÖ²Îï¡·
¸Å¿öÒìÃû£º×¦ÍÛÞ±(¡¶ÖйúÒ©ÓÃæß×ÓÖ²Îï¡·)¡£
»ùÔ´£ºÎª×Ïݽާ¿Æ×ÏݽÊôÖ²Îï¿íÒ¶×ÏݽµÄ¸ù¾¥¡£
ÔÖ²Î¿íÒ¶×ÏݽOsmunda javanica Bl£®(Plenasium javanicum Presl)
ÐÎ̬£º´óÐͽÉúÞ§Àֲ࣬Öê¸ß´ï2m¡£Ò¶±ú¼áÓ²£¬ÓйâÔ󣬸ɺóµºÖÉ«£¬³¤Ô¼60cm£¬Ï²¿´Ö´ï1£®5cm£»Ò¶Æ¬¼á¸ïÖÊ£¬¹â»¬£¬¶àÉÙÓйâÔó£¬À«³¤Ô²ÐΣ¬³¤´ï80cm£¬¿íÔ¼50cm£¬Ò»»ØÓð×´£»ÓðƬ25¡«30¶Ô£¬Ï²¿µÄ¶ÔÉú£¬³¤´ï22cm£¬¿í2¡«2£®5cm£¬Éϲ¿µÄ»¥Éú£¬½¥Ëõ¶Ì£¬³¤ÅûÕëÐΣ¬±ßԵȫԵ»ò²¨×´£¬ÂÔ·´¾í£¬Ï¡Óоâ³Ý£»Ò¶Âö´Ö½¡£¬¶þ¡«Èý»Ø·ÖÆç£»Öв¿»òÖв¿ÒÔÉϵÄÊý¶ÔÓðƬÄÜÓý£¬³¤Ô¼5¡«12cm£¬ÏßÐÎ(ÓÐʱ½öÉϲ¿ÄÜÓý£¬Ï²¿²»Óý)£¬ÓÉÖ÷ÂöÁ½²àÓðÁѳɶàÊýÂÑÔ²Ðλò³¤Ô²ÐÎµÄæß×ÓÄÒСË룬±³Ãæ²¼Âú°µ×ØÉ«µÄæß×ÓÄÒȺ¡£
Éú¾³Óë·Ö²¼£ºÉúÓÚº£°Î1600m×óÓҵij£Â̻콻ÁÖÏ¡£·Ö²¼ÓÚ¹ãÎ÷Î÷Äϲ¿¡¢ÔÆÄ϶«Äϲ¿¡£
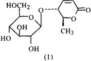
»¯Ñ§ÐÔÖÊ¿íÒ¶×ÏݽÖꬻÆÍªÀ໯ºÏÎï[1£2]£ºÉ½èÍ·Ó¡¢×ÏÔÆÓ¢ß°(ɽèÍ·Ó£3ÆÏÌÑÌÇß°)¡¢Èý£O£¼×»ùË뻨ɼ˫»ÆÍª(rri£O£methylamentoflavone)¡¢½ðËÉË«»ÆÍª¡¢4¡ä£¬
£¬7£¬7¡å£Ëļ׻ùË뻨ɼ˫»ÆÍª¡£»¹º¬ÓÐ×Ïݽ߰(Osmundalin)(1)[3]¡¢·ÖÖ¦×Ïݽ߰(Asiaticalin)¡¢±â֦ϩ¡¢À¼²®ËÉÖ¬Ëá¡¢½ðËÉͪËá¶þ¼×õ¥(Dimethyl sciadinonate)¡¢¦Â¹ÈçÞ´¼¡¢¦Â£¹ÈçÞ´¼ÆÏÌÑÌÇß°¡¢¶þÊ®¾Å£Íª£10¡¢£¶þÊ®¾Å´¼¡¢Ê®Áù̼±¥ºÍÖ¬·¾Ëᡢʮ°Ë̼²»±¥ºÍÖ¬·¾Ëá[4]¡¢×ØéµËá¼×õ¥¡¢ÒÒõ¥¡¢º¬µ°°×¶àÌÇ(·Ö×ÓÁ¿51000)[5](¸ß·Ö×ÓÁ¿Ì¼Ë®»¯ºÏÎ°ëÈéÌÇ¡¢°¢À²®ÌÇ¡¢ÊóÀîÌÇ¡¢ÊóÀîÌÇ£3£¼×ÃÑ(60¡¢12£®9¡¢10%£»µÍ·Ö×ÓÁ¿µ°°×ÖÊ)¡£
²Î¿¼ÎÄÏ×
[1] ÉúҩѧÔÓÖ¾(ÈÕ) 1979£»33(3)£º185¡£
[2] ÉúҩѧÔÓÖ¾ 1978£»32(2)£º126¡£
[3] Tetrahedron 1974£»30(15)£º2307¡£
[4] CA 1975£»82£º28515p¡£
[5] Carbohydr Res 1988£»178£º320¡£
ÐÔζ£º¿à£¬º®¡£
¹¦Ð§£ºÇåÈȽⶾ£¬Ö¹ÑªÉ±³æ¡£
Ö÷ÖΣºÓ¸Ö×´¯ðÜ£¬ÈùÏÙÑ×£¬ÍâÉ˳öѪ£¬Æá´¯£¬³¦µÀ¼ÄÉú³æ¡£
Ó÷¨ÓÃÁ¿£ºÄÚ·þ£º¼åÌÀ£¬6¡«12g¡£ÍâÓãºÄÛÃçµ·À÷󻼴¦¡£
ÁÙ´²Ó¦Óá¶ÖйúÒ©ÓÃÖ²Îïͼ¼ø¡·£º½ËÕ¡¢°²»ÕÒ»´ø×÷¡°¹áÖÙ¡±Óá£