温差电致冷

利用珀耳帖效应达到致冷的目的。1834年法国J.-C.珀耳帖发现,当两种不同金属连接起来并通以电流时,有一接头吸热,另一接头放热。这种现象后来被称为珀耳帖效应。珀耳帖效应长期未能实际应用于制作致冷器,其原因是金属的珀耳帖效应很弱。直到20世纪50年代,对半导体材料的研究进一步深入,人们用N型半导体和P型半导体构成温差电偶,珀耳帖效应远远强于金属电偶。从此温差电致冷器逐渐进入实用阶段。

原理

图1为由 N型半导体和P型半导体构成的温差电偶,用铜片把两个半导体连接起来。电流I由N型半导体流向P型半导体时,该接头吸收珀耳帖热αIT1,式中αα1-α2α1α2分别为P型半导体和N型半导体的温差电动势率,P型半导体的温差电动势率为正,而N型的为负。在另一接头,电流由P型半导体流向N型半导体,有热量释放出来。通过各种散热方式把热端的热量带走,冷端就能保持较低温度。在热平衡条件下,冷端所能达到的温度取决于半导体材料的温差电特性和冷端的热负载以及器件的设计(工作状态、散热条件等)。实际致冷器有最大温差和最大致冷效率两种工作状态。

图

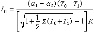
(1)最大温差状态(即最大产冷量状态):当电流为 公式 符号时,致冷器两端的温度差达到最大值,式中R为N型和P型半导体电阻之和,T1为冷端温度。如果热负载Q0=0,致冷器两端温差最大可达:

公式 符号

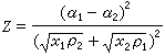
式中T0为热端温度,Z为半导体材料的品质因数,

公式 符号

式中x1x2分别为P型和N型半导体的热导率ρ1ρ2分别为电阻率。采用这种方式工作可以节省半导体材料,但是致冷效率较低。

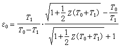
(2)最大致冷效率状态:当电流为

公式 符号

时,致冷效率ε(热负载Q0与所消耗的电功率之比值)可达最大值ε0

公式 符号

采用这种工作方式可以节省电能消耗,但与前一方式相比,它需要较多的半导体材料。

由(T0-T1)maxε0的表达式可知,半导体材料的品质因数Z越大,所能达到的最大温差和致冷效率越大,这就要求材料的温差电动势率α尽量大,使所吸收的珀耳帖热αIT1尽量大。同时要求材料的电阻率和热导率尽量小,使所产生的焦耳热和由热端向冷端的热传导尽量小,因为这两部分热量都会降低致冷效率。具有这种特性的最佳致冷材料为 Bi2Te3 及其固溶体 Bi2Te3-Bi2Se3,Bi2Te3-Sb2Te3,Bi2Te3-Bi2Se3-Sb2Te3等。另外,温差电动势率和电阻率是载流子浓度的敏感参数,随着载流子浓度的增加,电阻率减小,但温差电动势率也减小。理论计算表明,最佳的载流子浓度为1019/厘米3的数量级,因此,温差电致冷用的原材料纯度一般只要99.999%即可,因而价格低廉。

结构

在实际应用中往往需要把若干对温差电偶串联或并联成温差电堆,致冷器由若干块温差电堆组成。当热负载为零时,半导体致冷材料的最大温差可达80℃左右,有热负载时的温差小于此值。为了获得更低的温度或更高的致冷效率,可以采用多级结构。图2是二级致冷器结构示意图,上级致冷器的热端与下级致冷器的冷端要求良好热接触。

图

温差电致冷器是利用电能把热量由冷端转移到热端的装置。因此如何把热量不断地从热端带走是致冷器设计的主要内容之一。散热方式主要有空气自然对流式、强迫通风式和水冷式。空气自然对流式较简便,但散热效果稍差,水冷式的散热效果最佳,但需要耗费大量的水。也可采用循环水冷再通过散热片由空气自然对流散热。

应用

与通常使用的压缩机制冷相比,当制冷量较大时,用温差电致冷不但造价高而且耗电量要大一倍左右。温差电致冷器的优点是:无机械转动部件,工作无噪声,无制冷剂的腐蚀和污染,维修方便,寿命长,致冷容量可变,设计灵活性大,其形状可以任意变化,可小型化和微型化,容易控温,只要改变电流方向就可变致冷为发热。根据这些特点,温差电致冷适合于制作各种小型致冷器和恒温器,以及用于要求无声和无污染的特殊场合。主要用途有:

(1)仪器仪表用的小型致冷器、恒温器,例如光电倍增管红外探测器和半导体激光器等用的致冷器,半导体零点仪、露点仪、标准频率振荡器和电子器件用的恒温器,石油凝点测定仪等。

(2)医学上的应用有病理切片用的显微切片冷冻台、白内障摘除器、皮肤病冷冻治疗器、致冷帽等。

(3)其他还有携带式冷热箱、半导体冰箱、半导体空调器等。大容量温差电致冷器效率比不上压缩机的效率,原因是半导体致冷材料的品质因数Z还不够大,而小容量温差电致冷器的各种特性均优于压缩机制冷器。图3为光电倍增管用的致冷器的照片。致冷器采用两个电堆,每个电堆由31对半导体元件组成。元件尺寸为2.2×2.2×2.5毫米3。致冷器重量为2.7千克,电功率为55瓦,采用水冷散热。致冷器可保证光电倍增管的光阴极温度比周围空气低40℃,大大降低了光电倍增管的噪声。这种光电倍增管致冷器的温差电偶采用一级结构。如果采用两级结构,电功率增至200瓦,可保证光阴极的温度比周围空气低60℃。

光电倍增管致冷器