流体动力学基本方程

将质量、动量和能量守恒定律用于流体运动所得到的联系流体速度、压力、密度和温度等物理量的关系式。对于系统和控制体都可以建立流体动力学基本方程。系统是确定不变的物质的组合;而控制体是相对于某一坐标系固定不变的空间体积,它的边界面称为控制面。流体动力学中讨论的基本方程多数是对控制体建立的。基本方程有积分形式和微分形式两种。前者通过对控制体和控制面的积分而得到流体诸物理量之间的积分关系式;后者通过对微元控制体或系统直接建立方程而得到任意空间点上流体诸物理量之间的微分关系式。求解积分形式基本方程可以得到总体性能关系,如流体与物体之间作用的合力和总的能量交换等;求解微分形式基本方程或求解对微元控制体建立的积分形式基本方程,可以得到流场细节,即各空间点上流体的物理量。

积分形式基本方程

主要有连续方程、动量方程、动量矩方程和能量方程。

连续方程

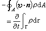
单位时间流入控制体的质量等于控制体内质量的增加。它是由质量守恒定律得到的,其数学表达式为

公式 符号

式中v为速度;ρ为密度;τ为控制体体积;A为控制面面积;n为dA控制面处法线方向单位向量(图1)。定常流动时上等式右边为零。这时如截取一段流管(见流体运动学)作为控制面(图2),则有下述连续方程:

ρ1v1A1=ρ2v2A2

式中ρ1 v1ρ2v2分别为A 1A2截面上的流体平均密度和速度。

图1 图2 动量方程

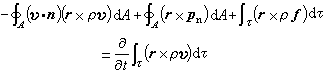
单位时间内,流入控制体的动量与作用于控制面和控制体上的外力之和,等于控制体内动量的增加。它是由动量守恒定律得到的,其数学表达式为:

公式 符号

式中公式 符号为外部作用于 dA控制面上单位面积上的力;为外部作用于dτ控制体内单位质量流体上的力;通常就是重力。定常流动时,上等式右边为零。动量方程用于确定流体与其边界之间的作用力。

动量矩方程

单位时间内,流入控制体的动量与作用于控制体和控制面上的外力对某一参考点的动量矩之和,等于控制体内对同一点的动量矩的增加。它是由动量矩守恒定律得到的,其数学表达式为

公式 符号

式中r为以某一参考点“0”为原点到dA控制面或dτ控制体的向径。定常流动时,上等式右边为零。将它用于透平机械可得透平机械基本方程。

能量方程

单位时间内,流入控制体的各种能量与外力所作的功之和,等于控制体内能量的增加。它是由能量守恒定律得到的,其数学表达式为

公式 符号

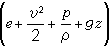
式中qλ为单位时间内单位面积的dA控制面上得到的传导热;qR为单位时间内单位质量的dτ控制体上得到的非传导热,包括辐射热、化学反应生成热等;e为单位质量流体的广义内能,包括热力学中的内能、电磁能等。对于重力场中无粘性流体的定常绝热流动,上式可化简为伯努利方程的形式

公式 符号

式中为压力;z为距参考水平面的高度;公式 符号可视为单位质量流体的总能量,即内能、动能、压力势能和位能之和。这一方程的物理意义是:单位时间流进和流出控制面的总能量相等。

微分形式基本方程

主要有连续方程、运动方程和能量方程。

连续方程

对流体微团应用质量守恒定律得到的方程。它在直角坐标系中的表达式为

公式 符号

式中uvw 分别为xyz方向的速度分量。

运动方程

对流体微团应用牛顿第二定律得到的方程。无粘性流体的运动方程就是欧拉方程,牛顿流体的运动方程就是纳维-斯托克斯方程。

能量方程

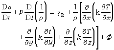
对流体微团应用能量守恒定律得到的方程。无粘性流体的能量方程为

公式 符号

这表示流体微团的内能增量与可逆的体积膨胀功之和等于其辐射热。式中公式 符号为质点导数算子。牛顿流体的能量方程在直角坐标系中的表达式为

公式 符号

这表示流体微团的内能增量及可逆的体积膨胀功之和等于其辐射热、传导热及粘性耗散功之和。式中 k热导率T 为温度;Ф为耗散函数,表示单位时间单位质量流体由于粘性而耗散的机械功,它转化为流体内能。

上述微分形式基本方程本身包含的未知函数数目多于独立方程的个数,所以求解时还必须引入补充方程。通常,这些补充方程也称为基本方程。

参考书目
  1. 钱学森著,徐华舫译:《气体动力学诸方程》,科学出版社,北京,1966。(H.W.Emmons, Fundmentals of Gas Dynamics,Section A, Oxford Univ.Press,Oxford,1958.)
  2. G.K.Batchelor, An Introduction to Fluid Dynamics,Cambridge Univ.Press,Cambridge,1970.