[拼音]:Kanuo xunhuan
[外文]:Carnot cycle
由两个定温过程和两个绝热过程(见热力过程)所组成的可逆的热力循环。卡诺循环是19世纪法国工程师S.卡诺提出的,因而得名。卡诺循环分正、逆两种。在压-容(p-V)图和温-熵(T-S)图中(见图), ɑ-b-c-d-ɑ为正卡诺循环,ɑ-b为可逆定温吸热过程,工质在温度T1下从相同温度的高温热源吸入热量Q1;b-c为可逆绝热过程,工质温度自T1降为T2;c-d为可逆定温放热过程,工质在温度T2下向相同温度的低温热源排放热量Q2;d-ɑ为可逆绝热过程,工质温度自T2升高到T1,完成一个可逆循环,对外作出净功W。逆卡诺循环与上述正向循环反向,沿ɑ-d-c-b-ɑ方向,因而Q2是工质从低温热源吸入的热量(通称制冷量),Q1是工质排放给高温热源的热量,W是完成逆向循环所需的外界输入的净功。
正卡诺循环的热经济指标用卡诺循环热效率ηt表示
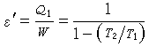
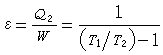
逆卡诺循环的热经济指标用卡诺制冷系数ε表示
或用卡诺供暖系数ε′表示
根据热力学第二定律,在相同的高、低温热源温度T1与T2之间工作的一切循环中,以卡诺循环的热效率为最高,称为卡诺定理。卡诺循环具有极为重要的理论和实际意义。虽然,完全按照卡诺循环工作的装置是难以实现的,但是卡诺循环却为提高各种循环热效率指明了方向和给出了极限值。