热力过程

热力系统在某种因素推动下发生状态变化的过程。热力过程的特点反映在过程方程上,过程方程描述受特定过程约束的热力状态参数间的函数关系,由此可得出系统变化前后的状态参数关系式。研究热力过程,就是为了导出过程方程或初、终态的状态参数关系式,以及系统与外界之间功和能量的交换。这些都是热力学中分析计算热力过程和热力循环所必需的。对于单位质量的理想气体,可逆的典型热力过程有定容过程、定压过程、定温过程、绝热过程和多变过程。

定容过程

容积 V保持不变的热力过程,又称等容过程,例如密闭容器内的加热或冷却过程。过程方程为:V=常数,因此根据状态方程有:公式 符号式中p1p2T1 T2、分别为系统初、终态的压力和温度。定容过程在p-V图(见图)上由垂直线1-2表示。它表明系统对外不作功,向系统输入的热量 Q全部转变成系统内能U 的增加,即

公式 符号

式中m为系统的质量,cv为定容比热容。

图 定压过程

压力 p保持不变的热力过程,又称等压过程。例如在大气压力下,气缸中气体的受热膨胀。过程方程为:p=常数,因此V1/V2=T1/T2。它在p-V 图上由水平线3-4表示。这时,系统对外所作的功

Wp(V2V1)=mR(T2T1)

外界向系统输入的热量

QH 2H 1mcp(T2T1)式中R为理想气体的气体常数,cp为定压比热容;H为系统的焓。

定温过程

温度T 保持不变的过程,又称等温过程。例如室温下缓慢地压缩气体的过程。过程方程为:T=常数,因此,p1V1 =p2V2。它在p-V 图上由等边双曲线5-6表示,过程中向系统输入的热量等于系统对外界所作之功

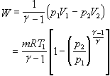
公式 符号 绝热过程

系统与外界没有热量交换的热力过程。例如气体在气缸内的绝热膨胀。可逆的绝热过程在过程进行中其熵不变,故又称定熵过程。过程方程为:pVγ=常数,因此有:公式 符号式中公式 符号,称为绝热指数或比热容比,其中cv为定容比热容。绝热过程在p-V 图上表示为高次双曲线7-8,这时系统对外界所作的功

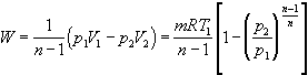
公式 符号 多变过程

符合过程方程pVn=常数,其中多变指数n在过程中保持不变的热力过程。参数关系式为

公式 符号

过程中向系统输入的热量

公式 符号

系统对外界所作的功

公式 符号

当多变指数n值分别取 0、1、γ、±∞时,多变过程就相应地成为前面提到的定压、定温、绝热和定容过程。