连续系统模拟仿真方法

用模拟计算机连续系统进行仿真试验的方法。连续系统模拟仿真的步骤大致是:

(1)用一组数学方程或结构图来描述被研究的系统。

(2)画出该系统的模拟电路图。它通常由积分器、加法器、系数器和各种函数发生器组成。

(3)设置系统变量和参量的幅度比例尺,使它们落在模拟计算机的最大线性工作电压范围之内。

(4)根据系统的变化快慢和仿真试验的要求,设置系统仿真的时间比例尺。

(5)重新修改模拟电路图,并将它排在模拟计算机的排题板上,其中包括对各系数器的系数进行设置。

(6)对模拟电路进行检查,确保它的正确性。

(7)使计算机运行,求解系统方程,并记录系统响应。

(8)修改参数,重复运行,对系统进行规定的试验研究。

模拟电路图

用模拟计算机中的积分器、加法器、系数器等运算部件来描述被仿真系统而构成的电路图。如果系统的数学模型是用高阶微分方程表示的,那么可以先将它化成一组一阶微分方程,然后再构成模拟电路图。例如,如果系统的数学模型为:那么可将它改写为:

积分器的输入量和输出量之间是积分关系,所以可用模拟电路图来表示这一组方程(见图)。模拟计算机中积分器和加法器都是由运算放大器组成的,因此输入电压与输出电压的相位相差 180°。

图

如果系统的数学模型是用结构图来表示的,那么可先分别画出各环节的模拟电路图,然后将它们连接起来,组成整个系统的模拟电路。

幅度和时间比例尺

为了在模拟计算机上进行系统仿真,必须合理地选择幅度比例尺和时间比例尺。选择幅度比例尺要考虑以下要求:

(1)被仿真的系统中各物理量有不同的单位,不同的变化范围,而在模拟计算机中则一律要换算为运算放大器的电压;

(2)运算放大器有一个线性工作区(一般为±10伏或±100伏),在仿真过程中各运算放大器的输出电压都必须在线性工作区之内;

(3)为保证仿真精度,应充分利用运算放大器的工作线性电压范围。这些要求可以采用标幺值法来满足。所谓标幺值法就是将各变量均除以各自的最大值,这个比值称为标幺值。它是新的变量,在0与1之间变化,如果令标幺值1表示运算放大器的最大线性工作电压,那么新的变量必然落在运算放大器的线性工作区之内,并且当变量达到最大值时运算放大器的工作电压也达到线性范围最大值。

设置时间比例尺的主要原因是:

(1)被仿真系统的变化快慢不同,为便于观测和试验,仿真时间不宜过短或过长,因此需要用时间比例尺来调整仿真时间的长短;

(2)模拟计算机各运算部件和记录设备只能在一定的频带范围内工作,变化过快或过慢的系统,其频率可能超出这个范围;

(3)仿真时间过长,运算放大器的零点漂移会影响仿真精度。

合理选择时间比例尺Mt=τ/t(其中t为系统的实际时间变量,τ为模拟机仿真的时间变量)和用标幺值表示模拟电路图中各个变量,并不影响模拟电路图的结构。但各系数器的系数要作相应的改变。改变的规则是:对加法器,新系数等于原系数乘以加法器输入变量最大值与输出变量最大值之比;对积分器,新系数等于原系数乘以积分器输入变量最大值与输出变量最大值之比,再除以时间比例尺Mt

非线性系统仿真

在研究实际的物理系统时,常会遇到各种非线性现象,如死区、饱和特性、间隙特性等。在模拟计算机上可以用两种方法对这些非线性现象仿真:采用比较继电器和采用二极管。继电器只有接通和断开两种状态,而且状态的改变是突发的,所以能精确地对非线性现象进行仿真。但继电器有一定的动作时间,因此工作频率受到限制。另外,继电器的灵敏度有限,利用提高比较放大器的放大倍数来提高灵敏度,又会增大模拟计算机的噪声电平,因而影响电路的稳定性。二极管电路工作频带宽,电路稳定性好,但状态的改变是渐变的,因而仿真精度稍低。总之,比较继电器适用于信号变化慢、要求精度高的情况;而二极管电路则适用于信号变化快、噪声电平较高的情况。

分布参数系统仿真

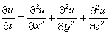
分布参数系统的数学模型是一组偏微分方程。在这组方程中,自变量除时间变量t外,还有位置变量x,y,z。最为典型的有扩散方程:

和波动方程:

采用模拟计算机来对这类系统进行仿真的方法有:柯西特征法、分离变量法、线上求解法、有限差分法等。它们的基本思想都是:将对偏微分方程的求解化成对常微分方程的求解。以线上求解法为例,假定偏微分方程中除时间变量t外只有一个位置变量x,则可将x分成m个网格点,然后用有限差分近似式代替应变量对x的导数,从而得到一组(m个)常微分方程式。

参考书目
  1. 周炎勋、王正中、邱陶国:《模拟与混合计算技术》,国防工业出版社,北京,1980。
  2. G.A.Korn and T.M.Korn, Electronic Analog Computers, McGraw-Hill Book Co., New York, 1956.
  3. G.A.Korn and T.M.Korn, Electronic Analog and Hybrid Computer, McGraw-Hill Book Co., New York,1972.