[拼音]:ganying fenyaqi
[外文]:inductively-coupled voltage divider
利用绕组间的强磁耦合作用,提供与绕组匝数成正比关系的高准确度电压比值的电测量仪器。
感应分压器至少要有两个提供给定电压比率的匝数为W1、W2的绕组,称为比率绕组,其引出端分别标以1-1*和2-2*。供给激励铁心磁通所需磁通势的绕组,称为励磁绕组(匝数为W0),引出端标以 0-0*。这3个绕组可用不同方式联接或合并,从而得到图中所示的3形式。
感应分压器中同一铁心上的两个绕组,如仅与铁心中的交流磁通链合,不存在只与单个绕组或其局部链合的漏磁通,同时绕组中无电流通过时,绕组的两引出端间将只存在由铁心中磁通感应而生、与绕组匝数成比例的电动势。这样,当环境条件改变时,即使铁心中磁通有变化,也不会影响电压比值。感应分压器的实际工作状态十分接近这种理想状态。因此其电压比值准确且稳定。此外,由于感应分压器两绕组间为强磁耦合,两绕组的漏阻抗远小于其自身的阻抗。而自身的阻抗是比较高的。因此,感应分压器还有输入阻抗高和输出阻抗低的优点。图中的3种形式都可以提供准确的有理实数比值的比率电压。隔离式是使励磁绕组与比例绕组分开,各有专责。其特点是使电源与测量电路隔离,但电压比率绕组不能提供大电流,否则要影响比率的准确度。互感器式则是将W0与W1(或W2)合并,W1负有双重任务,既作为励磁绕组,又作为比率绕组;W2只作比率绕组。自耦式则由W1和W2共同担负励磁绕组的任务,同时也作为比率绕组供给比率电压。其特点与隔离式恰好相反,即电源与测量电路间无隔离作用,但在作为交流平衡电桥的电压比率臂时,能保持本身的电压比率准确度。
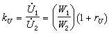
感应分压器的电压比值KφU可表示为
rφU是KφU的相对误差,都是复数。引起误差的主要原因是感应分压器工作时偏离理想状态,即电流在比率绕组中的电压降和漏磁通在绕组中引起感应电动势等。比率绕组中的电流可能是:
(1)激励铁心中磁通的励磁电流(隔离式例外);
(2)负载电流(自耦式例外);
(3)绕组自身内部匝间的容性导纳电流。其中①、②两类电流是通过绕组引出端流入或流出绕组,③类电流可在绕组的任何局部位置出入绕组。
比率绕组存在漏磁通的原因有:
(1)铁心中磁通未与比率绕组同时耦合的部分;
(2)比率绕组中电流激励的漏磁通;
(3)外来磁干扰引起的漏磁通。为了加强比率绕组的磁耦合,感应分压器的铁心都采用高磁导率材料制成,并取镯环形状。在高准确度的感应分压器中,还采用多个铁心的组合来进一步降低误差,这种铁心与绕组的配置方式称为组合铁心结构。
为了得到可调节的比率值,比率绕组可制成多抽头的,并用开关切换,使电压比值作步进变化,这种结构称做单盘感应分压器。如要求电压比值作更精细的变化,可用几个感应分压器,将步进电压逐级再分压,这种结构称做多盘感应分压器。
常用的感应分压器,空载时比率值的相对误差为10-5~10-8,工作频段一般为40赫~10千赫。感应分压器除作为高准确度的分压器使用外,还经常作为声频交流电桥的实数比率臂和可调臂使用。