辐射换热

两个温度不同且互不接触的物体之间通过电磁波进行的换热过程,是传热学的重要研究内容之一。

构成封闭系统(见热力系统)的两个灰体(见黑体和灰体)表面间的辐射换热量 Q12可以用斯忒藩-玻耳兹曼定律表示:

公式 符号

式中公式 符号黑体辐射常数,又称斯忒藩-玻耳兹曼常数;A1为表面1的面积;T1T2为表面1、2的热力学温度; F12为表面1、2间的辐射换热系数

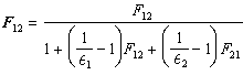
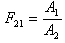
公式 符号

式中ε1ε2为表面1、2的黑度F 12F21辐射角系数。对于两个无限大平行平板F12F21=1;对于两个同心圆球或两个同轴无限长圆柱,若其内外壁表面积分别为A1A2,则F12=1,公式 符号。当<Iε 符号">时,<Iε 符号">;其他各种情况下,F12值的计算式可从有关手册查出。

辐射换热是各种工业炉、锅炉等高温热力设备中重要的换热方式。常见的问题有两类:固体表面间的辐射换热,取决于辐射角系数F和黑度ε值;固体表面间夹有气体的辐射换热,除Fε值外,还与气体夹层厚度及其黑度有关。

固体辐射

实验表明,除了高度磨光的半球状金属表面的平均黑度为其法向黑度的 1.2倍外,其他工程材料的黑度值多可近似认为与方向无关,而只与物质种类、表面温度和表面状态有关。

(1)表面光滑的导体的黑度很小,基本上与温度成正比;

(2)介电质的黑度比导体黑度高得多,且与温度成反比;

(3)大多数非金属在低温时的黑度都高于0.8;

(4)钢铁的黑度随氧化程度和表面粗糙度的不同有很大的变化。

火焰辐射

火焰的辐射和吸收是在整个容积中进行的。火焰一般由双原子气体 (N2、O2、CO)、三原子气体(CO2、H2O、SO2)和悬浮固体粒子(炭黑、飞灰、焦炭粒子)所组成。其中N2和O2对热辐射是透明的,CO等的含量一般很低,因此火焰中具有辐射能力的成分主要是 H2O、CO2和各种悬浮的固体粒子。对于燃油,发光火焰辐射主要靠炭黑;对于煤粉,发光火焰辐射主要靠焦炭粒子,发光火焰辐射力一般比透明火焰大2~3倍。计算辐射换热通常要求得到火焰总黑度。它与平均有效射程和辐射减弱系数有关。各种形状容积的发射气体的平均有效射程可用下式近似计算

公式 符号

其中VgFg分别为气体容积和界表面积,下标"g"表示高温气体或火焰。对于三原子气体和各种悬浮粒子,各自的辐射减弱系数均有相应的经验公式。火焰的总辐射减弱系数K可近似地认为等于公式 符号公式 符号KK焦炭等项减弱系数之和。 根据埅和K 就可计算火焰的总黑度公式 符号。如近似地认为火焰界面上εg处处相同,则火焰本身对外辐射总功率 公式 符号。在工程设计中,炉膛辐射换热计算常按下述模型进行:

(1)假设炉内各物理量如火焰和固壁温度都均匀,计算结果也是某种平均值。这种模型比较粗糙,但计算简单;

(2)考虑火焰和受热面是非等温的。常用的数学模型有赫太尔分区计算法、蒙特卡洛法和斯波尔丁通量法。前两种计算法立足于联合求解辐射换热的积分方程,并且假设流动和燃烧情况为已知;而通量法则是通过对过程的偏微分方程组作一定的简化,然后联立求解方程组得出速度场、浓度场、温度场和热流场。