[拼音]:dimian cheliang lixue
[外文]:terrain vehicle mechanics
研究各种越野车辆(越野汽车、拖拉机、农业用汽车和工程用车辆、装甲车、坦克等)与地面、地形之间的关系,以改进车辆设计并提高其通过性的一门边缘学科。
简史
过去人们认为,只要加大轮胎或履带的接地面积(如增加轮胎数、降低轮胎气压或加大轮胎或履带的尺寸)以减轻对地面的单位压力,并加大发动机功率以提高驱动力,车辆就能有良好的通过松软地面的能力。根据这一概念曾设计出3轴10轮(双后轴,每轴端各装双轮胎,10轮驱动)军用越野货车。在第二次世界大战中使用结果表明:在同样的轴荷下,双轮胎的行驶阻力加大,效果不佳。这就引起人们开始系统地研究轮胎、履带等在各种地面上的驱动力、阻力、下陷和滑转及滑移等的变化规律和相互关系,以解决越野车辆设计问题。
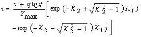
1940年,德国R.伯恩斯坦用公式q=KZ 1/2表示下陷量Z与单位接地面积压力q的关系(K为土壤变形模量),后来的研究者将公式普遍化为q=KZn。1944年,英国的E.W.E.迈克尔思韦特提出,车辆的最大驱动力F,可以从C.A.de库仑土壤剪切应力公式τ=c+qtgφ(c为土壤单位面积内聚力;φ为土壤内摩擦角)推导而得,即F=cA+qAtgφ(A为接地面积)。在加拿大国防部工作的M.G.贝克在此基础上进一步研究了土壤承载能力的稳定性,以及土壤塑性变形所引起的行驶阻力等问题,并提出更精确而普遍的公式
式中b为加载面积的宽度或半径;Kс、Kф分别为土壤内聚变形模量和摩擦变形模量;K2、K1为实际测定的系数;Ymax是τ的表达式右端括号内部分的最大值,当此值达到最大时,即为库仑公式τ=c+qtgφ;徴为产生剪应力τ的土壤变形量。此式主要用于粘性不大的土壤。1960年贝克将行走过程分解为加载和剪切过程,分别用承压仪和剪切仪测量土壤的Kс、Kф、n、c、φ和K 6个参数,这6个参数称为贝氏值。1961年,英国的A.R.里斯提出适用于塑性土壤的τ值简化公式
式中K为土壤水平变形模量。
贝克、里斯等的研究和试验,使地面车辆力学由经验和直接试验阶段进入了试验与理论结合较密切的半经验阶段。现代有的研究者尝试从土壤力学的基本理论出发来分析机器土壤力学关系。如里斯等认为英国剑桥大学土壤力学小组提出的土壤临界状态理论已使土壤应力和孔隙变化相联系,对研究滑转变形很适用,很有发展前途。另外,还有借用流变学理论建立的土壤流变学模型等。
贝克首先提出地面车辆力学理论,建立了试验方法,1956年出版了有关地面车辆力学的第一本专著《陆用车辆行驶原理》。他被公认为这一学科的创立者。
1961年,美国和意大利陆军在都灵召开第一次国际性地面车辆力学学术会议。1962年,成立国际地面车辆系统学会。
中国从60年代开始这一学科的研究,主要注意水田拖拉机和耕作机械设计,研制水、旱田土壤参数测量仪器,研究水田土壤的流变性质和土壤在行走机构的金属上粘附现象。1982年成立了地面机械系统研究会。
应用
用土壤车辆力学的基本公式可以计算出车辆在不同的载荷和滑转系数下的驱动力、下陷量和运动阻力,并推导出一些重要的新概念。例如,在沙地(内聚力c=0)上车辆的最大驱动力只与其重量W(=qA)有关,而与接地面积A无关;在泥浆(摩擦角φ=0)上最大驱动力只与接地面积A有关,而与重量W无关。又如对于接地面积A,如宽度大而长度小,则容易出现滑转,行驶效率不高。贝克还从动物的运动方式和相应的能量消耗对比推论,认为列车式是越野车辆的合理的车辆形态。
根据这一理论研制出一些新车型,如在雪地行驶的囊式轮胎列车,在沼泽地行驶的无腹式履带车和间隔式履带板,螺旋推进式汽车,在月球上行驶的月球车(MO-LAB)等。在中国, 利用这一理论研制出机耕船、水田拖拉机等。
试验方法
地面车辆力学从一开始就是一门理论与试验并重的学科。美国陆军水道试验站 (WES)于1942年用标准圆锥仪压入土壤,其单位底面积上的平均压力即为圆锥指数。这个试验站还对细粒土壤规定了重塑试验(将欲测土壤不经扰动装入一小圆筒,以规定的重锤自规定的高度落下,按规定次数来回捶击,称为重塑)。将重塑后的圆锥指数与重塑前的圆锥指数相比,称为重塑指数。土壤的可行驶性是以额定圆锥指数来表示的,额定圆锥指数是圆锥指数与重塑指数的乘积。为了可与土壤比较,又为各种车辆定出车辆圆锥指数。它是车辆在同一车辙中通过50次后的土壤的最小额定圆锥指数。它受车重、行走机构类型、发动机功率、传动型式及地隙等因素的影响。只要土壤的额定圆锥指数等于或大于车辆圆锥指数,车辆就能在这种土壤上行驶。
圆锥穿入度仪结构简单,应用很普遍,可用飞机投掷,其尾部结构可以按穿入深度而使不同颜色的翼片张开,能快速查明大面积地面的土壤可行驶性。
贝克建立陆地行驶实验室,创制测定土壤参数的贝氏仪,并用10年时间建立了一套地面值。各国的地面力学实验室都设置模拟土壤槽、测力车和其他试验设备,以测定土壤参数和土壤与车辆行走机构之间的力的关系。
发展
地面车辆力学的研究工作开展得较为广泛,主要课题有:土壤参数测定方法和测绘可行驶性地图;研究土壤的基本力学性质;用各种新技术如有限元法计算土壤的变形和应力;研究轮胎、履带与土壤的相互作用力;车辆驶过不平路面时的振动特性,越野经济性及其评价指标等。这些研究课题涉及车辆的动力学、静力学、土壤力学、统计理论、农业科学、军事科学和系统工程等。