流体力学

研究流体的平衡和运动的学科。流体力学主要研究流体(液体和气体)在静止或运动时的基本规律,以及流体与所接触的物体之间的相互作用。在机械工程中,诸如流体机械、锅炉、内燃机和液压传动、管道等的设计、测试和控制,以及润滑、噪声、燃烧、传热、射流等方面都需要运用流体力学的知识。

简史

流体力学最初的一些概念,是人们在观察和利用物体在水和空气中运动时的相互作用力的基础上建立起来的。约在公元前500~前400年,中国的《考工记》就记载了箭在空气中的运动状况。公元前300多年希腊哲学家亚里士多德的名著《物理学》也阐述了空气对抛射体的推动作用。约在公元前220年,希腊数学家阿基米德发现著名的后来称为阿基米德原理的物体浮力理论。15世纪意大利的科学家列奥纳多·达芬奇最先指出运动着的物体头部因空气被压缩而受到阻力。16~17世纪,荷兰数学家S.斯蒂文证明了液体内某点的压力与深度的关系。17世纪,意大利的E.托里拆利和法国的B.帕斯卡分别提出了托里拆利实验和帕斯卡定律,奠定了流体静力学的基础。

1687年,英国的I.牛顿从理论上推导出阻力平方定律。他还提出了牛顿内摩擦定律。1738年,瑞士数学家丹尼尔第一·伯努利建立了压力势能、位势能与动能之间关系的伯努利原理。瑞士数学家L.欧拉最先导出了流体连续性方程,并于1755年导出无粘性流体的运动方程即欧拉方程。J.Le R.达朗伯在1752年指出:物体在无粘性流体中等速运动时阻力为零。1781年,法国的J.L.拉格朗日提出流函数概念。1858年,德国物理学家H.von亥姆霍兹指出了无粘性流体中涡漩的许多基本性质。他们的工作为无粘性不可压缩流体动力学奠定了基础。粘性不可压缩流体的运动方程组是先后由法国工程师C.L.M.H.纳维于1827年和英国物理学家G.G.斯托克斯于1845年提出的,称为纳维-斯托克斯方程。1850年,斯托克斯又得出圆球在粘性流体中极慢运动时的阻力定律,即斯托克斯公式。

在流体动力学发展的同时,为了解决工程实际问题,一门着重实验研究的水力学分支也在发展着。德国G.H.L.哈根、法国生理学家J.L.M.泊肃叶和英国物理学家O.雷诺研究了粘性流体在管内的流动(见管内流动)。1883年,雷诺发现粘性流体流动有两种不同的流动形态──层流和湍流,提出了考虑粘性影响的流动相似的无量纲参数──雷诺数。雷诺的工作成为湍流运动理论的起点。他还引出了湍流应力的概念,使纳维-斯托克斯方程转变为湍流的基本方程──雷诺方程。1904年,德国物理学家L.普朗特建立了边界层理论,简化了纳维-斯托克斯方程,使摩擦阻力有可能从理论上进行分析,这不但开辟了粘性流体应用于解决实际问题的前景,同时也明确了无粘性流体力学的实际意义。

德国数学家M.W.库塔于1902年、俄罗斯学者Н.Ε.儒科夫斯基于1906年建立了库塔-儒科夫斯基升力定理。奥地利物理学家E.马赫提出了当地流速与音速的比值──马赫数,他的工作为空气动力学的建立提供了前提。在对可压缩平面亚声速绕流翼面的流动的研究中,美籍匈牙利力学家 T.von卡门与中国科学家钱学森建立了卡门-钱学森公式,对空气动力学的发展有重要贡献。钱学森对稀薄气体动力学也有创见。美籍华人林家翘为层流的稳定理论作出了贡献。许多科学家如T.von卡门、英国的G.I.泰勒、德国的W.K.海森伯和苏联的Α.Н.柯尔莫戈罗夫等对湍流运动的规律和结构特征进行了统计理论和实验的研究。但由于湍流是一种复杂的随机过程,尚有待于进一步探索。

学科内容

流体力学包括流体静力学、流体运动学和流体动力学。流体静力学研究流体静止时的规律;流体运动学是从几何观点研究流体运动的规律;流体动力学是研究流体运动的规律和流体与边界之间的相互作用。流体动力学按其研究对象的不同,又可分为水力学、空气动力学和气体动力学。实际流体具有粘性和压缩性,因而十分复杂。为简化起见,可把流体简化为不可压缩的和无粘性的两种基本模型,相应地可把流体动力学分为无粘性不可压缩流体动力学和粘性不可压缩流体动力学等,前者又称为经典流体动力学。近代又形成了高速气体动力学、稀薄气体动力学、等离子体动力学、化学流体力学和多相流体力学等分支。

随着科学技术的迅猛发展,流体力学渗透到其他一些学科中,构成新的分支如电磁流体力学、化学流体力学和生物流体力学。

流体的物理性质

流体的物理性质主要包括流动性、压缩性、粘性、表面张力和毛细现象。

流动性

流体在微小剪切力作用下具有连续变形的性质,只要这种力继续作用,流体就会继续变形,直至外力停止时为止。固体则不同,当固体受到剪切力作用时,也产生相应的变形,但只要外力保持不变,固体的变形也就不再进一步变化。流体的易流动性决定了它的形状随容纳它的容器而变化。

压缩性

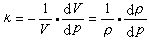
流体受压后体积会缩小的性质。每增加单位压力时,单位体积流体所引起的体积减小,称为压缩系数,压缩系数公式 符号,式中ρ为密度;V为体积;为压力。压缩系数的倒数是体积模量公式 符号κ=0时的流体称为不可压缩流体,它是一种理想的简化模型。液体和低速气体常可近似地认为是不可压缩流体。

粘性

流体抵抗连续变形的性质。当相邻两层流体之间有相对滑移时,层间会产生剪应力(内摩擦力),以抵抗这种相对滑移。粘性使流体粘附在它所接触的固体表面。粘性引起机械能的耗散。流体的剪应力与变形速率的比值称为动力粘度或粘度。粘度为零的流体称为无粘性流体,它也是一种理想的简化模型。液体的粘度随温度的升高而减小,气体的粘度随温度的升高而增大。剪应力与变形速率成正比的流体称为牛顿流体,不符合此规律的流体称为非牛顿流体。气体和分子结构简单的液体都是牛顿流体。高分子溶液、原油、润滑脂和煤泥浆等都是非牛顿流体。

表面张力和毛细现象

表面张力是液体本身作用在液面上的使其表面积尽量缩小的力,它是由液面分子间的吸引力引起的。液体的表面张力随温度的升高而降低。毛细管插入液体时,毛细管内的液面会升高或降低,这种现象叫作毛细现象。它是由液体与固体壁面接触时,液体的内聚力和液体与固体壁面的附着力不同而引起的。液体浸润固体壁时,液面沿毛细管上升成凹面。若液体不浸润固壁,液面下降成凸形。

参考书目
  1. L.普朗特等著,陆士嘉等译:《流体力学概论》,科学出版社,北京,1981。(L.Prandtl etc.,Führer Durch die Strmungslehre, Friedr. Vieweg und Sohn,Braunschweig,1969.)