[拼音]:huojian yundong fangcheng
[外文]:rocket motion equation
描述力和力矩与火箭运动参数之间关系的方程组。运动参数包括加速度、速度、位置等。火箭运动方程是表征火箭运动规律的数学模型,也是分析、计算或模拟火箭运动的基础。火箭运动方程比较复杂,通常用数字计算机或模拟计算机求解。在某些简化条件下,也可用解析法求解。火箭运动方程以经典力学为基础,涉及变质量力学、空气动力学、推进和控制理论等方面。
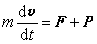
火箭在飞行期间,发动机不断喷出燃气流。火箭的质量不断发生变化,是一个可变质量系。对变质量系运动的研究称为变质量力学。它不能直接应用经典动力学理论。在研究中可以把火箭质量与喷射出的燃气质量合在一起考虑,转换成为一个常质量系,再根据经典理论可以得到关于火箭作为变质量系的运动方程:
式中m为火箭的质量,它随时间变化;v为火箭飞行的速度矢量;F为作用在火箭上的外力;
为喷射反作用力,其中
为火箭质量变化率,即火箭在单位时间内喷射出来的质量,因为是质量的减小,故取负值;
为燃气喷射速度。因此反作用力与喷射速度的方向相反,火箭正是靠这一反作用力向前运动的,故称发动机推力P。
火箭运动方程包括质心运动方程和绕质心运动方程。
(1)火箭质心运动方程可由变质量力学的动量定理推得:
式中F为作用在火箭上的外力,包括空气动力、地球引力等。火箭质心运动方程在惯性坐标系中成立。若建立相对地球的质心运动方程,则应在方程的右端加上由于地球旋转引起的牵连惯性力和哥氏惯性力(见运载火箭运动理论)。
(2)火箭绕质心运动方程:
式中,w为火箭转动角速度矢量,I为惯性张量:
式中9个元素称为惯性系数,分别是火箭对与箭体固连的直角坐标系各坐标轴的转动惯量和惯量积;它们随着质量的喷出而不断变化。M为作用在火箭上的外力矩;Mp为发动机推力产生的力矩。
若建立坐标分量形式的火箭运动方程,则可将各矢量投影到相应的坐标系中获得。火箭运动方程还包括描述各运动参数之间的关系的运动学方程,必要时还须附加其他方程,如姿态控制方程、制导方程等。