[拼音]:zhengqiya fangcheng
[外文]:vapor pressure equation
纯物质的饱和蒸气压与温度间的函数关系式。在一定温度下,液态和固态的纯物质都有相应的饱和蒸气压。当温度升高时,饱和蒸气压大体呈指数关系上升。采用仅含少量参数的蒸气压方程关联饱和蒸气压与温度数据,可以概括大量实验信息。这样便于数据的收集、贮存和取用。饱和蒸气压是重要的化工基础数据,常用于标准态逸度、蒸发热、升华热(见热化学数据)及相平衡关联等方面的计算。
早期的蒸气压方程有1794年提出的普罗尼方程:
1841年提出的雷德方程:
两者都是经验方程。以上两式中 p°为饱和蒸气压;t为摄氏温度;A、B、C、α、β和γ 均为方程参数。1834年,法国化学家B.-P.-┵.克拉珀龙分析了包含汽液平衡的卡诺循环后,提出饱和蒸气压的理论方程。1850年德国化学家R.克劳修斯为此方程作了严格的热力学推导,并把它推广到其他相平衡系统。此方程后来称为克劳修斯-克拉珀龙方程,其表达式为:
式中p为相平衡时的压力,ΔH为相变热,ΔV为相变时的体积变化,T为绝对温度。
在用于汽液或汽固相变化时,对ΔH/ΔV 作不同的简化,可以得到不同的蒸气压方程,常用的有:
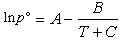
(1)克拉珀龙方程 由克拉珀龙提出:
lnp°=A-B/T
式中A和B为特征参数。这是最简单的蒸气压方程,适用于温度远低于临界温度的场合;但在用于正常沸点(101.325kPa下的沸点)以下时,计算值通常偏高,且一般不适用于缔合液体 (如醇类)。将此方程用临界温度Tc(此时饱和蒸气压为临界压力pc) 和正常沸点Tb(此时饱和蒸气压为101.325kPa)消去A和B,可得到普遍化蒸气压方程:
式中p嬼=p°/pc;Tr=T/Tc;p
=101.325/pc;T
=Tb/Tc(见对应态原理)。为了提高计算准确度,可引入第三参数偏心因子ω,得:
lnp嬼=f[0](Tr)+ωf[1](Tr)
式中f[0]和f[1]为Tr的普适函数。在Tb到Tc范围内,该式误差通常在1%~2%之内;在温度低于Tb时,计算值可能偏低百分之几。
(2)安托因方程 由C.安托因提出:
式中A、B和C均为特征参数,又称安托因常数。许多物质的安托因常数列于物性手册中,适用的温度范围相当于饱和蒸气压范围为1.5~200kPa,一般不宜外推。
蒸气压方程中,蒸气压仅是温度的单变量函数,因而只适用于不存在表面张力、流体静压力、重力和电磁场等的影响时。一般在化工计算中,上述影响可不考虑。但当液体表面曲率不容忽略时(如蒸气冷凝形成液滴时),就要考虑表面张力的影响。当流体静压力较大时(如液面有高压惰性气体作用时),也要考虑压力的影响。