[拼音]:cichang celiang
[外文]:magnetic field measurement
空间或磁性材料中磁通、磁通密度、磁通势、磁场强度等的测量。是磁学量测量的内容之一。空间的磁通密度与磁场强度成比例关系,空间磁场强度的测量,实质上也是磁通密度的测量。因而用磁强计测量的实际上是磁通密度。
磁场测量主要利用磁测量仪器进行。按照被测磁场的性质,磁场测量分为恒定磁场测量和变化磁场测量。
恒定磁场测量对于不随时间而变化的直流磁场的测量。常用的测量仪器有以下7种。
(1)力矩磁强计:简称磁强计。利用磁场的力效应测量磁场强度或材料的磁化强度。
(2)磁通计和冲击检流计(见检流计):用于冲击法(见软磁材料测量)中测量磁通及磁通密度。测量时,须人为地使检测线圈中的磁通发生变化。
(3)旋转线圈磁强计:在被测的恒定磁场中,放置一个小检测线圈,并令其作匀速旋转。通过测量线圈的电动势,可计算出磁通密度或磁场强度。测量范围为0.1毫特到10特。误差为0.1~1%。也可将检测线圈突然翻转或快速移到无场区,按冲击法原理测量磁通密度。
(4)磁通门磁强计:由高磁导率软磁材料制成的铁心同时受交变及恒定两种磁场作用,由于磁化曲线的非线性,以及铁心工作在曲线的非对称区,使得缠绕在铁心上的检测线圈感生的电压中含有偶次谐波分量,特别是二次谐波。此谐波电压与恒定磁场强度成比例。通过测量检测线圈的谐波电压,计算出磁场强度。磁通门磁强计的原理结构如图所示。
探头中的两个铁心用高磁导率软磁合金制成。每一铁心上各绕有交流励磁线圈,而检测线圈绕在两铁心上。两交流励磁线圈串联后由振荡器供电,在两铁心中产生的磁场强度为H∼,但方向相反。这样,检测线圈中感生的基波及奇次谐波电压相互抵消。当探头处在强度为H0的被测恒定磁场中时,两铁心分别受到H0+H∼和H0-H∼即交变与恒定磁场的叠加作用,从而在检测线圈中产生偶次谐波电压,经选频放大和同步检波环节,取其二次谐波电压,其读数与被测的恒定磁场强度H0成比例。磁通门磁强计的灵敏度很高,分辨力达100皮特。主要用于测量弱磁场。广泛用于地质、海洋和空间技术中。20世纪60~70年代研制成的光泵磁强计和利用超导量子干涉器件 (squid)制成的超导量子磁强计,灵敏度更高,分辨力分别达到10-7和10-9安/米。
(5)霍耳效应磁强计:半导体矩形薄片放置在与薄片平面垂直的磁场(磁通密度为B)中,若在薄片的相对两端面间通以直流电流I,则在另两端面的相应点间产生电动势E(即霍耳效应)。当I 为常数时,E与B 有比例关系,比例系数与薄片的宽度b,长度l和厚度d 以及所用材料有关。材料的这种特性又称为磁敏特性。利用霍耳效应制成的磁强计,可测量1微特到10特范围内的磁通密度值。误差为0.1~5%。霍耳片能做得薄而小,可伸入狭窄间隙中进行测量,也可用以测量非均匀磁场。有磁敏特性的器件,除霍耳片外还有铋螺线、磁敏二极管等。
(6)核磁共振磁强计:原子核的磁矩在磁通密度B 的作用下,将围绕磁场方向旋进,其旋进频率ƒ0=γB(γ为旋磁比,对于一定的物质,它是一个常数),若在垂直于B的方向施加一小交变磁场,当其频率与ƒ0相等时,将产生共振吸收现象,即核磁共振。由共振频率可准确地计算出磁通密度或磁场强度。这种磁强计的测量范围为 0.1毫特到10特。准确度很高,误差低于10-4~10-5,常用以提供标准磁场及作为校验标准。
(7)磁位计:用于测量空间a、b两点间的磁位差,如系均匀磁场,可折算出该处的磁场强度。磁位计也可用来测量材料内部的磁场强度。由于磁性材料界面处的磁场强度切线分量相等,因此在沿材料表面空间处用磁位计测得的磁场强度,就是材料该处内部的磁场强度切线分量。磁位计的结构是将细绝缘导线均匀绕在非磁性软带或硬片上,前者称软磁位计;后者称硬磁位计。测量仪表采用冲击检流计或磁通计。对于恒定磁场,测量过程中须使磁位计所链合的磁通发生变化。如所测为均匀磁场,则由磁位差折算出磁场强度。磁位计可在标准均匀磁场中进行标定,按磁场强度值刻度。
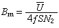
变化磁场测量对于随时间而变化的交变磁场的测量。通常利用电磁感应效应将磁场的磁学量转变为电动势来测量。以周期性单调上升与下降的交变磁场为例,测量磁通密度时,只需将检测线圈接到平均值电压表上,由电压表的读数尃可计算出最大磁通密度Bm ,
,ƒ为频率,S为铁心有效截面,N2为测量线圈匝数。利用霍耳片可直接测磁通密度,如保持I 为直流,则输出电动势E 的波形与磁通密度的波形相同。由E 可计算出磁通密度值。测量磁场强度时,若用平均值电压表作为磁位计的测量仪表,则可根据电压表读数折算出磁场强度的最大值,也可在均匀标准磁场中进行标定。