[拼音]:fangshi moxing bianshi
[外文]:identification of compartment model
房室模型的参数估计和可辨识性分析。房室是包含某种物质的具有一定体积的空间,在任何时刻,这些物质都分布于房室中,但也可以在房室与房室之间以及房室与外界环境之间按一定的速度转移或转换,并满足物质守恒定律,也就是说没有物质转换为能量。房室的概念是由对现实系统的化简、归并和抽象而得到的。房室可以与一个实际系统是同构的,也可以与任何现实空间不等同。现实空间的同一部分可以同时被看作是不同的房室,另一方面一个房室也可以包括现实空间的几个不同的部分。例如研究血液中两种物质的相互转化,每种物质含于某一房室内,但这两个房室所对应的现实空间都是血液。又如研究某种物质(如激素)在生物体内的代谢过程,往往将该物质运动经过的某一脏器或若干脏器归并为一个房室。
由若干个房室组成的系统称为房室系统,描述这类系统中物质的运动模型(包括结构框图和运动方程式)称为房室模型。通过房室模型辨识,即可达到辨识房室系统的目的。
特奥雷尔在1937年最初将房室分析用于药物动力学的研究,但房室的概念直到1948年才由谢泼德正式提出。
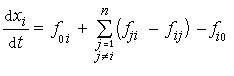
房室模型图为房室系统的基本结构。环境作为房室0,fij表示房室i到房室j的物质转移(转换)速率。对一个具有n个房室的系统,房室i中的物质的浓度记作xi。按物质守恒定律,物质运动方程为
房室与房室之间的物质转移(转换)速率是主要的研究对象。按照 fij的性质不同可将房室模型分成不同的类型,如线性、非线性、随机和时变房室模型等
房室模型的结构包括室的数目 n(也就是模型的阶)和 fij的具体形式。正确决定模型的结构是房室模型应用成功的关键。结构的确定依赖于对实际系统的知识和应用的目的。结构确定之后辨识的主要任务是通过输入输出数据估计模型的未知参数。
参数估计房室模型参数估计常用的方法是:在给定参数条件下先求出模型的解(这个解一般来说是参数的非线性函数),将它同实测输出数据进行比较,然后利用非线性最小二乘法求出参数的估计值。
可辨识性在实际的房室系统(特别是在生理、生态、环境等系统)中,实验条件是受到限制的。首先,对系统的激励方式不能是任意的,如在生理系统的实验中,输入一般只允许是注射或点滴;其次,各个房室的状态不一定能够测量,或者测量到的数据可能很少。在这种情况下,模型的参数能不能被估计出来(得到唯一的估计值),这就是模型结构的可辨识问题。这个问题对房室模型来说十分重要。通过对实际系统的分析建立起房室模型之后,就需要根据实验条件和测量手段来判断模型是否具有可辨识性。如果不具有可辨识性,就需要重新考虑模型结构,例如对房室进行化简、归并,在新的结构下再来考察可辨识性。模型结构的真实可靠和可辨识性,是在建立模型时必须考虑到的两个方面。
应用房室模型主要用于系统的动力学研究,通过辨识可以估计各房室之间的物质传输速率,这些速率是重要的动力学参数,而且往往难以直接测量得到。房室模型已广泛应用于生理、药理、生态、环境、化工等领域的研究中,例如药物动力学,生理系统中各种物质(例如激素、酶等)的代谢动力学,生态循环动力学,化学动力学等。