[拼音]:shiyu celiang yu pinyu celiang
[外文]:time-domain and frequency-domain measurements
测量被测对象在不同时间的特性,即把它看成是一个时间的函数f(t)来测量,称为时域测量。例如,对图中a的信号 f(t)可以用示波器显示并测量它的幅度、宽度、上升和下降时间等参数。把信号f(t)输入一个网络,测量出其输出信号f(t),与输入相比较而求得网络的传递函数h(t)。这些都属于时域测量。
对同一个被测对象,也可以测量它在不同频率时的特性,亦即把它看成是一个频率的函数S(ω)来测量,这称为频域测量。例如,对信号f(t)可以用频谱分析仪显示并测量它在不同频率的功率分布谱S(ω),如图b。把这个信号输入一个网络,测量出其输出频谱S′(ω),与输入相比较而求得网络的频率响应G(ω)。这些都属于频域测量。用一个频率可变的正弦(单频)信号作输入,测量出在不同频率时网络输出与输入功率之比,也得到G(ω)。这仍然是频域测量。
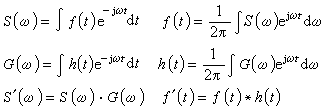
时域与频域过程或响应,在数学上彼此是一对相互的傅里叶变换关系
这里*表示卷积。时域测量与频域测量互相之间有唯一的对应关系。在这一个域进行测量,通过换算可求得另一个域的结果。在实际测量中,两种方法各有其适用范围和相应的测量仪器。示波器是时域测量常用的仪器,便于测量信号波形参数、相位关系和时间关系等。频谱分析仪是频域测量常用的仪器,便于测量频谱、谐波、失真、交调等。