[拼音]:renkou xitong shuxue moxing
[外文]:mathematical models of population system
用来描述人口系统中人的出生、死亡和迁移随时间变化的情况,以及它们之间定量关系的数学方程式或方程组,又称人口模型。人口控制论和人口系统工程的首要任务是建立人口系统的数学模型。根据人口系统的反馈机制,明确区分状态变量、控制变量和观测量,可以建立人口系统的闭环控制模型。模型是对实体的近似描述,如果模型精度满足所研究问题的要求,模型便被认为是准确的。用中国人口统计数据校验有关人口系统数学模型时,其近期精度达到0.1%左右,这表明中国人口模型的精度很高。
发展概况
20世纪30年代A.J.洛特卡建立了人口的定常积分方程模型。40年代莱斯利建立了差分方程组模型。60年代又出现了弗尔斯特的偏微分方程模型。70年代波拉德在莱斯利模型基础上提出了随机模型。建立完善的人口系统闭环控制模型,则是最近几年的事。中国控制论学者在这项工作中取得了重要成果。
分类
人口模型分为两类,一类是确定性模型,另一类是随机模型。如果按年龄和时间是连续量还是离散量,又可将人口模型分为连续模型和离散模型两种。连续模型是由偏微分方程描述的带边界控制的分布参数系统,离散模型是由差分方程组描述的双线性系统。离散模型可用离散化方法从连续模型得到。连续模型便于理论分析,而离散模型适合于计算机仿真。
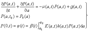
人口系统连续模型两个自变量的函数N(ɑ,t)代表t时刻一切年龄小于a的人口总数,称为人口函数。P(ɑ,t=媆N(ɑ,t)/媆a,称为人口密度函数。则人口系统连续模型为
(1)
式中μ(α,t)是相对死亡率函数,g(α,t)为人口迁移率函数,嗘(t)为绝对出生率函数,U(t)为相对出生率函数,P0(α)为初始年龄密度函数。在(1)中唯一能控制的是出生率嗘(t),它是系统的控制变量。它出现在系统的边界条件中,所以模型 (1)又称为边界控制的分布参数系统。这里的嗘(t)并不与实时人口状态P(α,t)发生联系,所以这种控制又称为开环控制。
实际上,嗘(t)应与 t时刻的人口状态,特别是与处在生育期内妇女的生育水平有密切关系。考虑到这一特点又有如下的人口闭环控制模型:
(2)
式中β(t)称作妇女总和生育率,它是人口系统的控制变量。中国人口控制和计划生育是靠控制β(t)来进行的。[α1,α2]称为妇女育龄区间,a1为最小生育年龄,α2为最高生育年龄,K(α,t)为女性比例函数,h(α,t)为妇女生育模式,满足归一化条件:
在模型(2)中,嗘(t)与t时刻的人口状态P(α,t)建立了直接关系,这在控制论中称为实时状态反馈,这种控制形式称为闭环控制(见闭环控制系统)。
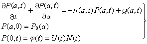
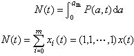
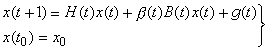
人口系统离散模型如果用x0(t),x1(t),x2(t),…,xm(t)表示t时刻的年龄构成,其中xi(t)表示t年代年满i周岁但不到i+1周岁的人口数,写成向量形式
则离散人口模型可写成
(3)
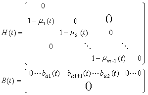
式中H(t),B(t)为相应维数的矩阵,
式中
称为按龄死亡率,m为人类能活到的最高年龄;
称为婴儿死亡率;Ki(t)为女性比例函数;hi(t)为妇女生育模式,服从归一化条件
;g(t)为人口迁移向量;x0为人口初始年龄状态;β(t)为妇女总和生育率,它是系统控制变量;x(t)是人口状态变量。模型(3)是一个双线性系统。在这个模型中,
一项是t年代人口经死亡后留存到下一年的人口年龄构成。而
是 t年代出生的人口留存到下一年的人口,g(t)是t年代迁移人口留存到下一年的人口。在模型(3)中,方程左端表示t+1年代的人口年龄构成,而方程右端则表现了t年代人口年龄的变化。因此在这个模型中,时间、出生、死亡和迁移四个因素以及它们之间的定量关系得到了完全描述。
在模型(1)、(2)、(3)中,观测变量就是人口指数,例如总人口数N(t)
人口控制就是通过改变、调节妇女总和生育率 β(t)来控制人口状态x(t),达到改变和控制人口趋势的目的。