[拼音]:rencai xuqiu yuce
[外文]:manpower demand forecasting
预测未来一定时期内对各种专门人才的需求量(见人才系统工程)。应用预测技术可对未来专门人才的学历层次、专业类别、数量、质量和比例等分别进行预测,在此基础上结合教育部门的能力和国家的财力等因素进行分析,为制订人才规划提供科学依据。
人才需求预测常用的方法有:
(1)通过对历史资料的统计分析,找出各类人才的需求量占职工总数的比例,再根据各个部门生产增长的幅度(按产量、产值或劳动生产率等指标表示),利用回归分析等方法来预测职工总数的增长。例如,
式中y(t)为第t年的人才需求量,x1(t)、x2(t)、x3(t)分别是第 t年的职工总数、人均占有固定资产、固定资产净值,α(t)、β(t)、γ(t)分别是随时间变化的系数,α0为常数。
(2)用定额标准法来预测专门人才需求量,即事先规定有关专业的专门人才数量比例标准进行预测。例如,根据每10000名居民中的医生数等来预测医生的需求量。
(3)借助职务目录或各部门人员的编制进行预测。在充分考虑现有专门人才拥有量以及未来人才结构变化和流动的各种可能,预测计划期内需要补充的专门人才的数量和来源。
(4)用特尔斐法等进行预测。在预测科学技术发展的基础上,预测未来会有哪些新的专业出现和相应的专门人才需要量。
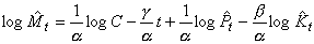
(5)利用计量经济模型进行预测。例如,根据柯布-道格拉斯生产函数,假定生产水平取决于劳动力和资本输入水平,则
,式中
是产出,C表示综合技术水平,
、
分别为测算期t内所使用的劳动力总数和资本总量,
是随机干扰产生的误差,α 和β是反映劳动力和资本产出的弹性系数。对上式取对数,经过整理,可得到人才需求预测模型为:
式中
为相应的估计值。英国在1974年利用上述模型对英国工程人才需求进行了预测。