声波

在介质中传播的质点位置、压强(应力)和密度等力学量的扰动。扰动是指在传播的声波到达后有关量的瞬时值与声波未到达前原有静止值的差。介质的质点位置、压强(或应力)和密度是紧密相关的,其中一个量有扰动,其他量也会相应扰动。实际上,还有其他的派生量在扰动,如质点速度。

介质中扰动在传播,但介质本身并不流动。以流体的质点运动为例,虽然质点位置的扰动可以传播得很远(在海洋中有时可以远到几千公里),但质点本身却移动极微,只在不到1微米的范围内摆动。

介质包括气体、液体、固体以及等离子体。大气中的声波是日常生活中最常遇到的。固体中的力学扰动称应力波弹性波。声学中已把固体中的应力波纳入声波,并从声学的角度加以分析和利用,这是因为声学的应用对象越来越多地包括固体,如金属、压电体、铁磁体、半导体、岩体、复合材料等。声波不仅被用于对不透光流体采集多种信息的重要手段,而且对固体材料同样适用。此外,声学为电子学提供一类微型电子器件如声表面波器件,其工作基础就是利用了固体表面上的声波(见声表面波器件)。

声波波动方程

在简单介质中力学扰动所以传播,是由于介质的惯性和弹性(在液体中是可压缩性)的组合。当振动着的声源或振动着的邻近质点作用于原来是静止的介质质点时,惯性驱使后者前进,弹性却提供恢复 力,促使它适时回缩。这个新振动起来的质点,又驱使远一些的紧邻质点开始振动。这样依次传递,导致由近及远的质点先后摆动,也就是扰动向前传播。

数学上可以用方程来描述扰动的传播,这类方程称为波动方程。写出介质中质点运动方程,同时考虑介质的本构方程或物态方程,以及它的连续性方程,合并这三个方程,可以得出只标志声波一些特征的方程。这个合成的方程是比较复杂的,即在质点位移的方程中含有位移或其微分的二次方以上的项。如果略去二次方以上的项,则可以得到比较典型的波动方程,即描述扰动的传播的方程。这种处理称线性化,它的含意是:假设扰动的振幅很小,对于理想流体(包括气体和液体),设质点的位移矢量为ξ。小振幅声波的波动方程是

公式 符号        (1)

式中t为时间;c为声波在介质中的传播速度,简称声速。考虑到介质的本构方程或物态方程,c可以明确地用介质的某些特征量来表达。式(1)是个简化了的方程,但实践证明,这个方程对于大多数在大自然中出现或人工产生的声波是适用的。这说明,许多声波确是小振幅的。不过,在自然界中也有另外一些声波,它的质点位移相对来讲足够大,以致式 (1)已不够准确,如飞机的喷气声。这时需要用非线性方程来代替方程(1)。声表面波器件也有利用非线性声波的。

在式(1)所对应的流体,或下面式(2)所对应的固体,都假设介质是均匀的,又是相当大的。

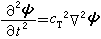
对于各向同性的固体材料(如钢材、铝材与玻璃等),其波动方程比较简单。这时对于位移矢量ξ,通过线性化并忽略体积力,得出波动方程

公式 符号    (2a)

公式 符号       (2b)

公式 符号       (2c)

式中Φ为标量位移位势,公式 符号为矢量位移位势;cLcT分别为纵波和横波的声速。

对于各向异性的固体,如各种单晶材料,波动方程比较复杂。声表面波器件通常用单晶材料做衬底,特别是用单晶石英和单晶铌酸锂。在这种衬底材料里的波动方程更为复杂,因为石英、铌酸锂等单晶具有压电性。

为说明波动方程的含意,可以对二阶偏微分方程(波动方程)求通解。为简单起见, 以一维情况下理想流体的波动方程为例,这时式(1)简化为

公式 符号       (3)

这个方程的通解是ξ(xt)=f1(xct)+f2(xct)  (4)

f1f2是两个任意函数,在具体情况下,由一定的初始条件和边界条件所决定。f1(x-ct)所表示的是,不论f1是怎样的函数,当时间t增长t0时,在x点的f1值,同时间未增长时在空间倒退ct0处的f1值完全相同。就是说,在t0时间以前,在后面ct0处的f1值,会无变化地在此刻出现在此地。或者说,扰动以声速c沿x方向传播。宗量x-ct叫作波函数f1的相位。讲得完整些,c是声波的相速。f1(x-ct)代表沿正x方向传播的波。f2则是沿负x方向传播的波。假设这两个波在空间只和 x有关,它们是平面波。形成最简单的波是沿正x方向传播的平面简谐波,这时ξ(xt)=ξ0e公式 符号       (5)

式中ω是角频率;k=ω/c为波数,ξ0ξ的初值。这个波的波长为λ=2π/k=c/f,频率为f=ω/2π。

声波类型

在理想流体中,只出现一个相速c,这里只有一种类型的声波,它的质点位移的方向和声波传播的方向是一致的,称为纵波。在各向同性的固体里有两个类型的声波,所以出现两个相速,除纵波外,还有横波,它的质点位移的方向垂直于声波传播的方向。横波按质点的位移是位于某一个参考平面内或垂直于这个平面,分别叫作垂直偏振(SV)或水平偏振(SH)。这是因为参考平面常常是垂直于地面的平面。在非理想流体(如在非牛顿流体)里,也可能出现横波。至于在各向异性的固体中,一般情况下会出现一个不纯的纵波和两个不纯的横波,分别称为准纵波和准横波。沿某些特殊切面上的特殊传播方向传播的波为纯波。在大块材料的内部传播的波为体波。

在介质的自由表面,或在两个介质的分界面出现的声波称为表面波或界面波。落石所激起的水面波动就是一种沿自由表面传播的表面波(振动范围只扩展到表面下浅层),但不是声波。沿固体的自由表面也可以激起一种表面波,称为瑞利波。如果固体上有液体,则有两个介质的界面产生一种部分能量漏入液体的漏瑞利波,以及在两个介质都只浅入表面的斯通累波,在两个固体之间的界面上,只有当两个固体的力学性质满足某些严格的条件时,才会产生斯通累波。在压电单晶的某些自由表面上,沿着特殊的传播方向,可以产生一种比瑞利波透入更深而偏振方向与弧矢平面相垂直的表面波,称为B-G波。

声波传播速度

在同样介质中,不同类型的声波有不同的传播速度。但传播速度本身按不同的情况也分几类,其中主要有相速和群速。式(1)和式 (2)中的几个c都是相速。这时假设声波是单频率的。而在实际情况中,总的声波可能是由一些不同频率的分波叠加组成的,而声波所在的介质又是色散的,即相速是频率的函数。这个声波在传播中由于部分走的快和部分走的慢而可能分解。但是,如果这个波的频带很窄,那么总波仍将在相当长的行程中维持一个整体,以固定的速度传播。这个传播不是诸频率中某一个频率声波的相速,而是一个综合速度,称群速。对于理想气体,按理论分析,式(1)中的c

公式 符号

式中γ为气体恒压下比热和恒体积下比热之比;P为气体的压强;ρ为气体当时的密度;R为单位质量的气体常数;T为绝对温度。对于空气,在标准大气压,t℃时c=331.45+0.61t(m/s)

这个理论值和实测值在低频范围是一致的。

对于液体,由于它的物态方程比理想气体复杂,c的表达式也较复杂。但可以用液体的弹性来表达c

公式 符号

βa是液体的绝热体积压缩系数。对于水,在上式代入标准大气压和20℃的ρβa之值,可得c=1480  (m/s)

海水中的声速,不仅与温度、压强或水深有关。还与盐度有关。

在标准大气压和20℃(除个别另标出者外)时在几种代表性的介质中的声速见表1。

图

各向同性材料中声速由固体的拉梅弹性常数和密度决定,几个典型值见表2。

图

上述声速值是指在大块材料中的值。如果材料的外形受到限制,以致材料的尺寸和声波长同数量级,则声波在这个材料中的波速不再是大块材料中的值。例如,在一根很细的熔石英纤维中,细到直径远小于声波的波长,则纤维中的波速是5760米/秒。

在各向同性固体的表面,瑞利波的声速cR由式 [2-(cR/cT)2]2=4[1-(cR/cL)2]公式 符号[1-(cR/cT)公式 符号]公式 符号或近似由式

公式 符号

决定。在钢和玻璃的表面,瑞利波的声速分别约为2.98×103米/秒和3.08×103米/秒。

各向异性固体中,体波的声速见图1,图中czcy分别是czy分量。图中表示铌酸锂压电单晶在YZ晶面内沿不同方向传播的体声波声速倒数即声慢率的曲线。三条曲线各自代表一个(准)纵波和两个(准)横波的值。图2是铌酸锂压电单晶在晶面XZ平面上沿不同方向传播的瑞利波声速。图中横坐标表示的是传播方向对X晶轴的倾角,纵坐标表示相对于沿X轴的最低切变速度(4080米/秒)的相对速度。

图 图

声波衰减

传播中的声波距声源越远就越弱,即存在衰减现象。在式 (5)所表示的简谐声波中没有包括衰减的因子,因而只是近似的。但也可以设法包括衰减因子,常用的表达方式是设k为复数k=kr-iα于是

公式 符号

α为衰减常数,即声波沿x方向传播途中的单位距离的衰减量。

声波衰减有几何发散和介质吸收两种原因。

(1)声波的几何发散:例如,一个点源辐射球面波,球面随传播而增大,声波的能量便逐渐分散,如果沿空间一个方向来看,声波的幅度越传越小。又如,平面声波在沿固定方向的传播途中,可能遇到一些障碍物。因而一部分能量被散射到其他方向。虽然声波的总能量并没有减少,但沿固定方向观察,声波是衰减了。在多晶固体材料中,这种现象常很明显。

(2)介质吸收声波:这使声波的能量转换为其他形式的能量(主要为热能)。这是一个内容复杂、格式繁多的现象。多年来,声学工作者探讨各种吸收机理,以便了解声波衰减的本身和声波同物质的相互作用,特别是在微观范围内是如何作用的。

声波被吸收的一种较基本方式是介质的导热性。在有纵声波的地方,不同区域含有不同的温度,压缩区热于膨胀区。热量从热区向冷区转移(这是一个不可逆的热传导过程),声波波动形式的能量便受到削弱。在固体中,这种效应叫热弹效应。各向同性固体中的横波不产生温差,因此没有热导损失。

声波被吸收的另一种较基本方式是介质的粘滞性。声波传播时介质产生形变,这是以有限(即不是瞬时)的速度进行的。于是,机械能直接转换为热能,声波受到削弱。在固体中,这种衰减统称为内耗的一部分。

这两种衰减机理虽广泛存在,但这远不是声波被吸收的全部原因。还有许多在不同情况下出现的不同原因。这常常(并不全是)涉及一个称为“弛豫”的基本现象。一个实际的系统,在受到扰动后总是力求达到新的平衡态,这需要一定的时间。或者说,这个系统受到扰动后会松弛,即“弛豫”。系统到达它的极限值(1-1/e)所需的时间叫作弛豫时间。在声波的传播中,因介质和环境不同,被扰动量是多种类的,因此有多种弛豫现象。导热性和粘滞性也可以看作是两种弛豫现象。当出现任一种弛豫现象时,波动形式的能量会随传播而减弱。与此同时,衰减的程度与频率有关,一般会在某个相应的特征频率出现峰值。

在固体中有一种阿克希塞吸收机理,声波引起介质的应变,使介质中热声子频率发生变化,同时也会改变温度。介质中热声子的平衡普朗克分布受到扰动,而朝向新平衡分布的驰豫会导致声波的吸收。此外,在固体中还有分子扩散等弛豫现象。在气体和液体中也有其他的弛豫效应,如热弛豫、结构弛豫和化学弛豫等。不同的弛豫效应会在不同的条件下增加声波的吸收。

声波传播特性

这里所涉及的各介质,假设是各向同性的。

声波在平面界面的反射和折射

设平面声波在一个大介质里传播,遇到第二个大介质,假设这两个介质的界面也是平面。如果这两个介质都是流体,这时声波在界面的反射和折射与光波的一般情况类似。如果这两个介质都是,或其中一个是固体,则可能会出现纵波和横波的相互转换(模式转换),使反射和折射的情况更为复杂,类似于光波的双折射。一个平面纵波受到两个固体间平面界面的反射和折射时(图3),各有关角都满足类似光学中的斯涅尔定律

图 公式 符号

各有关波的幅值满足类似光学中的菲涅耳方程。

声波在有界介质中的传播

一个很简单的例子是声波在一根细管内传播,如人的发音器官。有界介质的另一个例子,是一块横向尺寸无限而厚度有限的上、下面自由的平板。在声表面波技术中常遇到类似例子,如在半无限介质(衬底)上有第二介质薄层,这两个介质都是固体。薄层的厚度一般不超过几个波长,这时衬底表面的瑞利波,在波速、振幅分布等特性上将受到扰动,或者将产生新的模式。另一方面,当薄层较厚时,可以出现较纯的水平偏振横波,称乐甫波。在声表面波技术中,有时采用约束声波行径的波导结构,它的一种形式是令衬底上第二介质薄层的横向尺寸也有限制,成为一个条带。

声波的散射

声波在一种介质中传播,遇到公式 符号不同的另一个由有限大材料所构成的结构时,一般会发生反射、折射和衍射,总称为散射。声波受散射的现象比光波更普遍、更明显。这是因为声波的波长一般较长。例如,流体中平面声波在遇到一根与入射面垂直的刚性圆形长柱时,散射波强度产生明显的方向性(图4)。散射波是指总的波减去入射的平面波。

图

声波的产生和接收

声波在自然界中广泛存在。20世纪以来,在实验和应用场合大量用仪器设备来产生声波,而这些仪器设备绝大部分是电子设备。可听声的接收一向是自然现象,但现代也大量采用电子设备对它们进行处理,如远程传输、记录存储及机器识别等。高频超声(除少数例外)用电子设备来产生和接收,次声的接收也依赖于电子设备。

为了产生、接收和处理不同频段的声音,不仅需要纯电子学设备,还经常需要一种在声波与电学量或电波之间起衔接、转换作用的器件,称电声器件(见电声换能器)。对不同频段、不同用途的声波,需要用不同类型的电声器件。常见的传声器和扬声器一般用于可听声,而在水声学超声学中,则绝大部分采用压电陶瓷或压电晶体来构成声-电转换器件。

在有些场合,不一定都用高频电能来产生声能,还可以利用其他形式的能量。例如,可以用激光激发兆赫级的超声,用流体动力式发声器产生高强度的可听声。利用热脉冲产生极高频率的声波。

声波和光波的相互作用

在介质中属于力学范畴的声波,可以和属于电磁学范畴的光波相互作用。声波在介质中传播时所产生的介质应变使介质的光折射率发生变化,这个效应称声光效应。由此可见,一束声波相当于一个光栅,能够衍射穿入的光波,使入射光束分成几个方向不同的衍射光束。声光效应用于对激光束的方向、频率或强度进行高速控制。

在声波与光波之间还有另一种类型的相互作用,称为光声效应(见光声显微镜)。用周期性切断的激光,照射充气封闭盒或盒中的固体样品,在盒中可以检测到频率等于光调制频率的声信号。声信号的产生是由于介质吸收了光能,转变为热能,而周期性的热流使介质热胀冷缩,从而产生周期性的应力。光声效应可用于高精度地分析材料的成分和显微成像等。

除和光波有相互作用外,声波同其他许多宏观的和微观的物质结构也有相互作用,如声波可以和载流子流相互交换能量。

参考书目
  1. 马大猷,沈:《声学手册》,科学出版社,北京,1983。
  2. P.M.Mcrse,K.U.Ingard,Theoretical Acoustics,McGrow-Hill,New York,1968.
  3. B.A.Auld,Acoustic Fields and Waves in Solids,Vol.Iand II,John Wiley and Sons,New York,1973.

参考文章