水流阻力和水头损失

水具有粘滞性,当它在一定的固体边界中流动时,受到固体边界壁面的阻滞和干扰,在水流内部产生流动阻力,阻力做功消耗水流的一部分机械能(转化为热能),单位重量液体的机械能损失称为水头损失hf

层流和紊流

1883年O.雷诺通过实验发现:流速不同时水流流动形态不同。当流速较小时,液体质点作有条不紊、互不混掺的运动,这种流动形态称为层流;当流速较大时,质点运动轨迹曲折杂乱,各流层的质点互相混掺,形成大量大小不一的涡体,这种流动形态称为紊流;紊流中各处的流速、压强等运动要素值均随时间作不规则变化的现象称为紊流脉动。

由于紊流的脉动性,在研究紊流时,把运动要素值视为由时均值和脉动值迭加而成。时均值是指在足够长的时间间隔内所取的时间平均值。在水力学分析中,流线、恒定流等概念均具有时均值意义。

雷诺数和临界雷诺数

密度为 ρ、粘性系数为 η的液体,在直径为d的管中以断面平均流速v流动时,可以用无因次数 Reρvd/η 反映管流惯性力和粘性力的相对比值,Re称为雷诺数。雷诺数小时,粘性力相对大,对紊动干扰起约束作用,因而易于保持层流状态;雷诺数大时则相反,易于成为紊流状态。水流从紊流状态转为层流状态时的流速vc称为临界流速,以临界流速构成的雷诺数Recρvcd/η称为临界雷诺数。雷诺实验证明,Rec为一常数,约为2000。对于圆管有压流动,当

Reρvd/η<2000时为层流;

Reρvd/η>2000时为紊流。

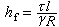
对于明渠流,雷诺数为 ReρvR/η,式中RA/ⅹ称为水力半径;A为过水断面面积;ⅹ为湿周,即在过水断面上水与固体界壁相接触的周界长度;临界雷诺数为RecρvcR/η=500,当

ReρvR/η<500时为层流;

ReρvR/η>500时一般为紊流。以上判别流态标准,限于断面形状不变的长直管渠中的均匀流动。

沿程阻力和沿程水头损失

水流在固体边界的断面形状和尺寸、固壁表面粗糙状况等沿程不发生变化的长直流段内所产生的阻力,称为沿程阻力。相应的单位能量损失,称为沿程水头损失。当流动为层流时,沿程阻力是各流层之间的粘滞切应力。根据牛顿内摩擦定律粘滞切应力(τ)的大小为

公式 符号         (1)

由均匀流的能量方程和动量方程可得沿程阻力与沿程水头损失之间的关系式为

公式 符号         (2)

公式(2)称为均匀流基本方程。式中γ为液体重度;l为流段的长度。

对圆管层流的沿程水头损失计算公式

公式 符号         (3)

当流动为紊流时,液体内部除了在各流层之间存在粘滞切应力τ1外,还有由于液体质点的横向混掺而引起的紊动切应力τ2(又称惯性切应力)。因此,总的切应力为

ττ1+τ2(4)

由于对紊流理论的研究至今尚未成熟,关于紊动切应力的计算,各研究者所提出的理论仍都是半经验性的,其中有代表性的理论是L.普朗特在1925年提出的动量传递理论。

对于紊流沿程水头损失的计算,目前仍只能用经验公式,常用的经验公式是1857年H.-P.-G.达西根据长直圆管有压流动的观测资料总结出的经验公式

公式 符号        (5)

式中 λ为沿程阻力系数,无因次数,其值与雷诺数及管壁相对粗糙度Δ/d有关;Δ是管壁粗糙凸起高度,称为绝对粗糙度。达西公式也适用于层流。

局部阻力和局部水头损失

水流在固体边界的断面形状、尺寸或纵向方向发生急剧变化的地方,往往发生主流与边壁脱离的现象,在分离点后面形成旋涡区。在旋涡区及其下游一局部流段内水流紊动剧烈,产生较大的惯性阻力及粘性阻力,称为局部阻力。相应的单位能量损失,称为局部水头损失hj

局部水头损失按下式计算

公式 符号         (6)

式中ξ为局部阻力系数,无因次数,ξ值的大小与局部阻碍的几何形状、尺寸、边壁的粗糙有关。局部阻碍的形式繁多,水力现象极其复杂,目前除了少数几种情况(如圆管断面突然扩大)外,ξ值尚只能由实验确定。

如果两个局部障碍距离很近,会发生局部障碍之间的相互干扰,总的局部水头损失不等于这两个局部水头损失的和,而是可能出现大幅度的增大或减小。在整个流段中所产生的水头损失hl等于各流段全部沿程水头损失hf和全部局部水头损失hj之和,即

hl=Σhf+Σhj+…      (7)

绕流阻力

水流绕物体流动时,水流受到物体的作用而产生的阻力,称为绕流阻力。绕流阻力包括摩擦阻力和形状阻力(或称压差阻力)两部分。绕流阻力 F按下式计算

公式 符号       (8)

式中CD为绕流阻力系数,无因次,其值由实验确定;ρ为水流密度;v0为未受物体干扰的来流流速;A为物体在垂直于来流流速方向上的投影面积。

参考书目
  1. 成都科技大学水力学教研组编:《水力学》上册,高等教育出版社,北京,1982。