温度传感器

利用物质各种物理性质随温度变化的规律把温度转换为电量的传感器。这些呈现规律性变化的物理性质主要有体积或压力的变化(气体、液体、固体的热膨胀)、电阻阻值的变化、两种金属(或非金属)接点处温差电势的变化、热辐射效应、颜色或形状的变化、晶体共振频率的变化以及微波、核磁共振、激光特性等。温度传感器是温度测量仪表的核心部分,品种繁多,按测量方式可分为接触式和非接触式两大类。

接触式温度传感器

它的检测部分与被测对象有良好的接触,又称温度计。温度计通过传导或对流达到热平衡,从而使温度计的示值能直接表示被测对象的温度。一般测量精度较高。在一定的测温范围内,温度计也可测量物体内部的温度分布。但对于运动体、小目标或热容量很小的对象则会产生较大的测量误差,常用的温度计有双金属温度计、玻璃液体温度计、压力式温度计、电阻温度计、热敏电阻和温差电偶等。它们广泛应用于工业、农业、商业等部门。在日常生活中人们也常常使用这些温度计。随着低温技术在国防工程、空间技术、冶金、电子、食品、医药和石油化工等部门的广泛应用和超导技术的研究,测量120K以下温度的低温温度计得到了发展,如低温气体温度计、蒸汽压温度计、声学温度计、顺磁盐温度计、量子温度计、低温热电阻和低温温差电偶等。低温温度计要求感温元件体积小、准确度高、复现性和稳定性好。利用多孔高硅氧玻璃渗碳烧结而成的渗碳玻璃热电阻就是低温温度计的一种感温元件,可用于测量1.6~300K范围内的温度。

非接触式温度传感器

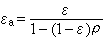
它的敏感元件与被测对象互不接触,又称非接触式测温仪表。这种仪表可用来测量运动物体、小目标和热容量小或温度变化迅速(瞬变)对象的表面温度,也可用于测量温度场的温度分布。最常用的非接触式测温仪表基于黑体辐射的基本定律,称为辐射测温仪表。辐射测温法包括亮度法(见光学高温计)、辐射法(见辐射高温计)和比色法(见比色温度计)。各类辐射测温方法只能测出对应的光度温度、辐射温度或比色温度。只有对黑体(吸收全部辐射并不反射光的物体)所测温度才是真实温度。如欲测定物体的真实温度,则必须进行材料表面发射率的修正。而材料表面发射率不仅取决于温度和波长,而且还与表面状态、涂膜和微观组织等有关,因此很难精确测量。在自动化生产中往往需要利用辐射测温法来测量或控制某些物体的表面温度,如冶金中的钢带轧制温度、轧辊温度、锻件温度和各种熔融金属在冶炼炉或坩埚中的温度。在这些具体情况下,物体表面发射率的测量是相当困难的。对于固体表面温度自动测量和控制,可以采用附加的反射镜使与被测表面一起组成黑体空腔。附加辐射的影响能提高被测表面的有效辐射和有效发射系数。利用有效发射系数通过仪表对实测温度进行相应的修正,最终可得到被测表面的真实温度。最为典型的附加反射镜是半球反射镜。球中心附近被测表面的漫射辐射能受半球镜反射回到表面而形成附加辐射,从而提高有效发射系数:

式中ε为材料表面发射率,ρ为反射镜的反射率。至于气体和液体介质真实温度的辐射测量,则可以用插入耐热材料管至一定深度以形成黑体空腔的方法。通过计算求出与介质达到热平衡后的圆筒空腔的有效发射系数。在自动测量和控制中就可以用此值对所测腔底温度(即介质温度)进行修正而得到介质的真实温度。

非接触测温方法的优点是测量上限不受感温元件耐温程度的限制,因而对最高可测温度原则上没有限制。对于1800℃以上的高温,主要采用非接触测温方法。随着红外技术的发展,辐射测温逐渐由可见光红外线扩展,700℃以下直至常温都已采用,且分辨率很高。

参考书目
  1. 张是勉、杨树智编著:《自动检测》,科学出版社,北京,1987。

参考文章