[拼音]:shinei shengxue
[外文]:room acoustics
研究围蔽空间内声音的发生和传播以及房间内的听音效果的学科。室内声音的发生和传播受反射作用(主要由房间的几何体形决定)和吸收作用(由房间表面材料决定,与几何体形几乎无关)的影响,这种影响可用物理学和工程学的严格语言来描述;听音效果则难以作出确切的判断,语言还可用是否容易听清来判断,音乐就更加复杂。
室内声学问题的处理方法
有下述三种:
几何声学方法
声音在室内传播到一个尺寸比波长大得多的表面时,声波的反射和光的反射现象相类似。其传播路径可用声线来表示。忽略声的波动性质,而用声线的概念研究声的传播的方法,称为几何声学方法。
根据反射定律,声线的反射角等于入射角,而且反射声线和入射声线与法线在同一个平面上。因此从声源发出的声音,可以利用声线的几何作图法来分析早期反射声的分布情况。例如避免直达声和第一次反射声之间有较大延迟的时间差(不大于50毫秒,相当于路程差17米);避免聚焦的反射声出现在听众席附近;通过靠近声源的反射面的布置,补充早期反射声,避免声源前面的声强随距离增加而有太大的下降等。
统计声学方法
同样忽略声的波动性质,并假设室内声场是扩散声场,从能量角度来研究声传播的平均情况,称为统计声学方法。
室内表面对声音的吸收作用,使声波每经过一次反射,声强便有一定程度的减弱。如果声源继续发声,则反射声便叠加在直达声上,使室内声音逐渐加强。室内声能密度D(t)的平均增长过程为:
式中W为声源的功率;c为声速;A为室内表面总吸声量;V为室内容积;t为声源发声后经过的时间。声强和声能密度成正比。
当时间t比4V/cA大得多时,指数项可以略而不计,最后的声能密度将增加到:
这时,单位时间内被室内表面吸收的声能与声源供给的能量相等,达到稳定状态。室内声能密度与声源功率W 成正比,与室内吸声总量A成反比,与声速c成反比。室内某点的声强I与该点的声能密度D有如下的关系:
于是该点的声强I为:
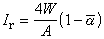
其中反射声强Ir为:
式中峞为室内诸表面的平均吸声系数。
直达声强Iz按自由场计算为:
式中r为离声源的距离。Ir与Iz的和便是总声强I。
如果在某一时刻声源停止,室内声音并不会立刻消失,而是在室内继续一定时间。声能密度随时间t逐渐减弱的规律是:
这个衰变过程又称为混响过程。室内总吸声量A越大,衰变就越快;室内容积V越大,衰变越慢,室内声场的增长、稳定和衰变过程如图1所示。
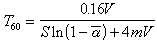
室内声音达到稳定状态后停止发声,其平均声能密度自原始值衰变 60分贝,所需的时间T60称为混响时间。它可由下式计算:
式中 S为室内总表面积;峞为墙面的平均吸声系数;m为空气吸收常数。
波动声学方法
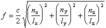
当上述统计计算所假设的近似前提不能满足时(尤其是在小房间中),必须用波动理论严格处理由于驻波所造成的共振的影响。这种处理方法称为波动声学或物理声学方法。在矩形房间中,声场可用若干简正振动方式来表示,其简正频率(或固有频率、共振频率)f可按下式计算:
式中nx、ny和nz分别为包括0在内的任意正整数;lx、ly和lz为室内各边长度。从0到f的频率范围内可能出现的简正振动数目N为:
而在频带宽度△f内的简正振动数目为:
式中V=lxlylz为室内容积;S=2(lxly+lylz+lzlx)为室内总面积;L=4(lx+ly+lz)为总边长。在容积小的房间中,低频范围的共振频率数目较少,因而对频率的分布就难以均匀。如果lx、ly和lz的比例选择适当,不使共振频率简并,则分布可有所改善。
简正频率激发情况还与声源位置有关。声源装在墙角上时可激发△N个,如装在房间棱边中点则为△N/2,装在一个平面对角线交叉点上为△N/4,装在空间对角线的交叉点上为△N/8。因此通常声源宜放在墙角上。
大房间和高频率范围,由于简正频率较多,共振峰互相交叉,其影响可按统计声学方法处理。
室内声场强度的估计
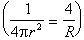
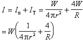
室内各点的声场强度是由声粗苯哟吹闹贝锷Iz和来自各个表面的反射声强Ir所组成。后者又统称为混响声强IT:
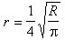
式中R为房间常数,其定义为
(平方米)。室内各点的总声强I为两者之和,即
式中房间常数R=S峞/(1-峞),可以看出,增加室内吸收(S峞)后会减少室内的混响声。r很小时
,直达声是主要的;r 较大时
, 混响声是主要的。在
条件下,
距离处,直达声强和混响声强相等,这个距离称为扩散场距离;对于无指向性的声源说来,各个方向的扩散场距离都相同,因此又称为混响半径,超出此距离便进入了混响声场。室内声音随距离的衰减如图2所示。
以上都是从稳态声源出发的,至于语言和音乐大多属于非稳态性质的声音,情况要复杂得多。
室内声学设计
在进行房屋特别是大型厅堂内部的声学设计时,通常要考虑下列一些问题:
空间几何形状的确定
在房间的平面和剖面图上,研究各表面的形状,应使它们尽可能把声波有效而均匀地反射给听者,避免任何可能引起声学缺陷(如回声、声聚焦等)的表面形状。有时还要考虑到漫反射的需要。
室内容积的确定
混响受室内容积、各表面积和吸声性能的影响。室内容积主要由听众数目来决定。根据经验,通常对语言是4~5米3/人,对音乐是5~6米3/人。
吸声处理
吸声材料的选择,首先要考虑材料对各频率的吸声性能。从控制混响来说,决定的因素是材料所提供的总吸声量,而不是它们所处的位置。但在实践中则常利用分散布置吸声材料的方法来增加室内漫反射程度。此外,布置吸声材料的位置时要避免回声、聚焦等声学缺陷。
用模型试验进行预测
在室内声学设计阶段,对于所采声学措施的作用可以利用模型来进行研究。模型的缩尺为n(例如1/10),则模型(M)和原始设计(O)有下列关系:频率fM=fO/n,长度lM=nlO,混响时间TM=nTO,声压pM=pO,声功率WM=n2WO,声阻抗ZM=n-2ZO,声速cM=cO,衰减常数mM(fM)=mO(fO)/n,吸声系数αM(fM)=αO(fO)。
扩声系统
在大型厅堂中,往往要利用电声设备增强自然声和提高直达声场均匀程度。在设计中,要考虑到扬声器的选择及其位置、扩声系统的频率响应和声反馈的抑制等一系列问题。现代扩声系统还可在电路中加入人工延迟、人工混响、人工频移、音色均衡和补偿等多种辅助措施来提高室内的音质效果。
- 参考书目
- H.Kuttruff,Room Acoustics,2nd ed., Applied Science Publishers Ltd.,London,1979.