货币乘数

浏览

基础货币与货币供应量扩张关系的数量表现,即中央银行创造或缩减1单位的基础货币,能使货币供应量增加或减少的倍数。又称货币倍率。

功能

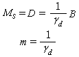
货币供应量是由基础货币与货币乘数共同决定的,其数学表达式为:

MsBm

式中Ms为货币供应量,B为基础货币,m为货币乘数。作为货币供应量的两个决定因素之一,货币乘数的功能主要有二:

(1)在货币供应量的增加过程中充当放大器,通过一定的倍数效应将基础货币多倍放大为货币供应量;在货币供应量的收缩过程中充当衰减器,通过一定的倍数效应强化基础货币对货币供应量的收缩效果。

(2)在货币供应量的增加或减少过程中,即使基础货币量不变,单是货币乘数发生变动,也会相应导致货币供应量增加或减少。据美国经济学家P.哈格以1875~1960年共85年的资料实证分析表明,在美国货币供应量的增长中,90%是由于基础货币变化引起的,10%是由于货币乘数的变化引起的。

模型

作为货币供应量的决定因素之一,货币乘数本身是由中央银行、商业银行和非银行部门的行为共同决定的。这三个经济主体的行为设定不同,货币乘数的模型也各不相同。

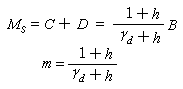
单一存款货币形式下的货币乘数:

公式 符号

式中D为活期存款;γd为活期存款的法定存款准备率。模型假定货币供应量仅由商业银行的活期存款构成,商业银行在放款和投资活动中不保持超额准备金,从而货币乘数仅与活期存款的法定准备率相关。

含有通货和活期存款形式下的货币乘数:

公式 符号

式中C为通货;h为通货比率。模型假定货币供应量由中央银行发行的通货和商业银行的活期存款构成,商业银行在放款和投资活动中不保持超额准备金,从而货币乘数与活期存款的法定准备率和通货比率相关。

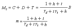
含有通货、活期存款和定期存款形式下的货币乘数:

公式 符号

式中T为商业银行的定期存款,t为定期存款比率,tγt为定期存款的法定存款准备率。模型假定货币供应量由中央银行发行的通货、商业银行的活期存款和定期存款构成,商业银行在放款和投资活动中不保持超额准备金,从而货币乘数与活期存款的法定准备率、通货比率、定期存款的法定准备率和定期存款比率相关。

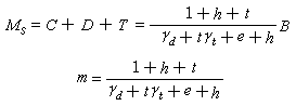
含有通货、活期存款、定期存款和超额准备金形式下的货币乘数:

公式 符号

式中e为超额准备比率。模型假定货币供应量由中央银行发行的通货、商业银行的活期存款和定期存款构成,商业银行在放款和投资活动中保持超额准备金,从而货币乘数与活期存款的法定存款准备率、通货比率、定期存款的法定存款准备率、定期存款比率和超额准备比率相关。

决定因素

货币乘数一般是由四类变量即通货比率h、定期存款比率t、法定存款准备率γ;(=γdt)和超额准备比率 e共同决定的。这四类变量本身又是中央银行、商业银行和非银行部门行为变动的函数,决定于其他一系列具体的变量因素。

通货比率

非银行部门所持有的中央银行负债C 与其所持有的商业银行的活期存款负债D 的比例关系。通货比率的决定,可用函数关系式表达为:

公式 符号

式中Y为非银行部门的可支配收入;Ph为非银行部门持有通货的机会成本fm金融市场的完善程度;U为其他非经济因素。该式表明:

(1)hY的递增函数,在其他变量一定时,h随着Y的增减而升降;

(2)hPh的递减函数,在其他变量一定时,h随着Ph的增减而降升;

(3)hfm的递增函数,在其他变量一定时,金融市场的完善程度与通货比率呈同方向变化;

(4)其他非经济因素,如社会稳定程度、人们的预期心理和自然界的季节性因素也对通货比率有重要影响,但其间的因果关联难以用线性函数关系描述。

定期存款比率

非银行部门所持有的商业银行的定期存款负债T与活期存款负债D的比例关系。定期存款比率的决定,可用函数关系表达为:

公式 符号

式中Pt为非银行部门持有定期存款的机会成本,It为定期存款利率。该式表明:

(1)tY的递增函数,在其他变量为一定时,t随着Y 的增减而升降;

(2)tPt的递减函数,在其他变量为一定时,t随着Pt的升降而降升;

(3)tIt的递增函数,在其他变量为一定时,t随着It的升降而升降。

法定存款准备率

商业银行缴存于中央银行的法定存款准备金 R与非银行部门所持有的商业银行的活期存款D和定期存款负债T 的比例关系。法定存款准备率的决定,可用函数关系式表达为:

公式 符号

式中孒为中央银行货币政策意向,S为商业银行的存款负债结构,N为商业银行的规模和处所。该式表明:

(1)作为一国货币当局所操纵的变量,法定存款准备率的变动主要受中央银行的货币政策影响。一般而言,中央银行的货币政策意向是逆对经济风向行事,因而法定存款准备率与经济运行态势逆向变动,即当经济运行处于高涨时期,中央银行倾向于提高法定存款准备率;当经济运行处于衰退时期,中央银行倾向于降低法定存款准备率;在经济运行处于平稳时期,法定存款准备率保持不变。

(2)中央银行对商业银行实行有差别的法定存款准备率。一般而言,为定期存款负债规定的法定存款准备率相对较低,为活期存款负债规定的法定存款准备率相对较高。这样,如果商业银行的负债结构最先变化,实际的法定存款准备率也会发生相应的变化。

(3)中央银行对商业银行实行的有差别的法定存款准备率政策,还体现在商业银行的规模和处所上。一般而言,商业银行规模较大,法定存款准备率相对较高,反之,相对较低。这样,即使中央银行的货币政策意向和商业银行的负债结构为一定,只要存在着存款在不同规模和不同地区的商业银行转移的现象,整个商业银行体系的实际法定存款准备率也会发生相应的变化。

超额准备比率

商业银行所保有的超额准备金 (实际保有存款准备金超过应当保有的法定存款准备金部分)与非银行部门所持有的商业银行的活期存款负债的比例关系。超额准备比率的决定,可用函数关系式表达:

公式 符号

式中Pe为商业银行保有超额准备金的机会成本,Ie为商业银行借入准备金的代价,Ce为银行部门对通货持有的偏好,Te为非银行部门对定期存款持有的偏好,峔 为商业银行的业务经营传统。该式表明:

(1)ePe的递减函数,在其他变量一定时,e随着Pe的增减而降升;

(2)eIe的递减函数,在其他变量一定时,e随着Ie的增减而降升;

(3)eCe的递增函数,在其他变量一定时,e随着Ce的升降而升降;

(4)eTe的递减函数,在其他变量一定时,e随着Te的升降而降升;

(5)孒、峔与e因果关系虽然存在,但难以用线性函数式明确描述。

参考书目
  1. 周慕冰:《经济运行中的货币供给机制》,中国人民大学出版社,北京,1991。

参考文章