[拼音]:huobi liutong sudu
[外文]:velocity of money circulation
单位货币在一定时期内的周转(或实现交换)次数。
商品实现交换后,一般会退出流通,进入生产或生活消费;而货币作为实现商品交换的媒介手段,是处在流通中不断地为实现商品交换服务。在一定时间内,多种商品交换活动不断继起,同一单位货币就可以为多次商品交换服务,从而实现多次周转。例如,在一定时间内,甲用10元向乙买花生,乙用这10元向丙买布,丙又用它向丁买衣服,这10元货币在一定时间内实现了30元的商品价值,其流通速度是3次。
影响因素主要有经济和心理两个方面,其中经济因素是基本的,包括:
(1)居民的货币收入水平和支出结构变化的影响。一般情况下,收入水平既定,消费结构不会有大的变化。当收入水平有较大提高时,消费结构中用于高档消费品的部分会增加。在积储过程未实现购买力,居民持币率就呈上升趋势。这就会促成货币流通速度的减慢。
(2)产业结构及生产专业化状况的影响。不同生产周期、不同资本有机构成的产业部门之间的比重不同,以及社会生产的专业分工程度不同等,都会影响货币流通速度。生产周期长的部门,资金周转慢,其货币流通速度相对较慢;反之,则较快。资本有机构成高的部门,资金占用多,使货币流通速度减慢;反之,则加快。社会生产的专业化分工越细,进入市场交易的中间产品越多,生产效率越高,生产周期缩短,实现国民生产总值越多,流通速度就越快;反之,则较慢。社会再生产过程中所有这些方面发生变化,都会相应地影响货币流通速度发生快慢不等的变化。
(3)经济单位数量和金融市场发达状况的影响。参与经营及收入分配的个人和企业数量越多,社会整体效益提高,货币流通速度就加快,否则货币流通速度就慢。金融市场越发达,商品交易之外的货币交易占用量越多,货币流通速度越慢;反之,则相对加快。
(4)财务及结算制度的影响。如一定时期中分多次支付工资,每项支付期短,会加快货币流通速度;反之,则慢。金融业发达,能采用多样灵活的结算方式,减少资金占用时间,可以加快货币流通速度;反之,则慢。
影响货币流通速度的心理因素主要是消费者对经济形势的预期和对信用货币及纸币的信任程度。心理因素包括人们的支付习惯、消费心理、价值观念,以及对通货膨胀率、利率等变动的预期,还包括对政府的重大政策变化和其他政治因素的预期等。心理预期导致的行为变化,会在一定程度上有时甚至是很大程度上左右人们的储蓄和购买行为,从而影响货币流通速度。
上述影响货币流通速度的诸多因素错综复杂地交织在一起,使货币流通速度在很大程度上成为难以考察和计算的变量。
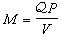
计算公式货币流通速度的计算公式,从K.马克思关于货币流通规律的公式变换得出。货币流通规律的基本公式是:
即
将上式移项,即可得出货币流通速度的计算公式为:
依据这一公式,可以计算出任何时期的实际货币流通速度。对计划未来时期货币流通速度的变化,一般是以前期或正常年度的货币流通速度为基础,综合分析以上各项因素的影响,再作出预测。一般是排列一定时期中影响货币流通速度正、负变化的诸因素,最后预测出该期货币流通速度是呈加快或延缓的变动趋势。
计算货币流通速度,还有两个著名公式,即现金交易方程式和剑桥方程式。现金交易方程式由美国经济学家I.费希尔提出,其公式为:
MV=PT
式中M表示流通中货币数量,V表示货币流通次数,P表示一般商品价格,T表示最终产品和中间产品交易量的总和。在货币周转量MV与其相对应的商品交易量PT 的概念范畴下所求出的货币流通速度可用VT代表,又称货币的交易流通速度,它主要受支付制度和支付习惯的影响。剑桥方程式是在英国经济学家A.马歇尔的现金余额说基础上,由A.C.庇古用方程式首先提出,其公式为:
式中M表示人们持有的货币量,k为货币量占国民收入或国民生产总值的比率,P为最终产品和劳务价格水平,y为按固定价格计算的国民收入或国民生产总值,Py即为名义收入。它是从另一个角度来表示货币流通速度的。根据剑桥方程式求得的货币流通速度,用Vy表示,又称货币的收入流通速度,是当代国际上有关货币流通速度的流行观点。