ÉúÎï·¨´¦ÀíÉú»îÎÛË®·½·¨Êǵ±Ç°Ó¦ÓÃ×î¹ã·ºµÄË®´¦Àí¼¼Êõ£¬ÆäÖÐÓÈÒÔ»îÐÔÎÛÄà·¨Ó¦ÓÃ×îΪÆÕ±é¡£µ«ÊÇ£¬Ëæ×ÅÎÛË®Åŷűê×¼µÄ²»¶ÏÑϸñ£¬¶ÔÎÛË®ÅÅ·ÅÒªÇóÖð½¥Ìá¸ß£¬´«Í³µÄ»îÐÔÎÛÄà·¨´¦Àí·ÏË®¹¤ÒÕÔÚ²»Ôö¼Ó»ù½¨Í¶×ʺÍÄܺĵÄǰÌáÏ£¬ÄÑÒÔ´ïµ½Ïà¹Ø±ê×¼¡£Ñо¿[1- 3]±íÃ÷£¬´Å·Û×÷ÓÃÓÚÉúÎïÌåºó£¬ÔÚÉúÎïÌåÄÚ¿ÉÒýÆðһϵÁеÄÉúÎïѧ·´Ó¦; ´Å·ÛµÄ´æÔÚ¶Ô΢ÉúÎïµÄÉú³¤ºÍг´úлÓÐÀû£¬´Ó¶ø´Ù½ø¶ÔÓлúÎïµÄÎü¸½ºÍÀûÓã¬Ôöǿ΢ÉúÎïÑõ»¯½µ½âÓлúÎïµÄÄÜÁ¦¡£±¾ÎÄÑо¿Í¨¹ýͶ¼Ó΢´ÅÐÔÎïÖÊ¡ª¡ªÌúÑõÌå·ÛÄ©£¬ÒÔÇ¿»¯»îÐÔÎÛÄà·¨´¦ÀíÉú»îÎÛË®µÄ´¦ÀíЧ¹û£¬²¢ÇÒ¶Ô·´Ó¦Æ÷½µ½â¶¯Á¦Ñ§×öÁ˼òµ¥Ñо¿¡£
1 ʵÑ鲿·Ö
1. 1 ʵÑéÉ豸
ÌúÑõÌåÇ¿»¯ÉúÎï·´Ó¦Æ÷µÄʾÒâͼÈçͼ1 Ëùʾ¡£ÉúÎï·´Ó¦Æ÷Óɲ£Á§²ÄÖÊ×ÔÖÆ¶ø³É£¬ÆØÆø³ØÈÝ»ý4. 2 L,³Á½µ³ØÈÝ»ý2. 0 L¡£·´Ó¦Æ÷ÍâÉèÖô¢Ë®ÏäºÍ³öË®²Û¡£³Á½µ³Øµ×²¿ÎÛÄàÒÀ¿¿ÖØÁ¦×÷ÓÃ×Ô¶¯»ØÁ÷ÖÁÆØÆø³Ø¡£
ͼ1 ʵÑéÁ÷³Ì
1. 2 ʵÑé²ÄÁÏ
1. 2. 1»îÐÔÎÛÄàÀ´Ô´
»îÐÔÎÛÄàÈ¡×ÔÕò½¶¡Ã®ÎÛË®´¦Àí³§ÆØÆø³ØÖеĺÃÑõÎÛÄà¡£
1. 2. 2ÌúÑõÌåÀ´Ô´
ÌúÑõÌåÊǽ«·ÖÎö´¿ÁòËáÌúºÍÁòËáÑÇÌú°´ÕÕn(Fe3+ )/n(Fe2+ ) =1.5 ÔÚ¼îÐÔÌõ¼þÏÂÖÆ±¸£¬½«ËùµÃºÚÉ«¿ÅÁ£ÎïÔÚÕæ¿Õ¸ÉÔï¯ÖмÓθÉÔ¾ÑÐÄ¥ºó£¬¼´µÃʵÑéÓÃÌúÑõÌå·ÛÄ©¡£ÌúÑõÌå·Ûĩÿ´ÎʹÓÃǰÔڴų¡ÖÐÔ¤´Å»¯10 min¡£
1. 2. 3Éú»îÎÛË®À´Ô´
±¾ÊµÑé²ÉÓÃÈ˹¤Ä£Äâ³ÇÊÐÉú»îÎÛË®£¬Æä×é³ÉÈç±í1 Ëùʾ¡£
±í1 È˹¤ºÏ³É·ÏË®×é³É
1. 3 ·ÖÎö·½·¨
COD ¼°NH3- N µÄ²â¶¨·½·¨²ÎÕÕÎÄÏ×[4] ¡£
1. 4 ʵÑé·½·¨
±¾Ñо¿²ÉÓÃ5 Ì×Ïàͬ³ß´çµÄ´¦Àí×°ÖýøÐжÔÕÕÑо¿£¬·Ö±ðÏòÆäÖÐͶ¼ÓÏàͬÁ¿µÄijÎÛË®³§ÆØÆø³ØÖÐÎÛÄà½øÐÐÅàÑøÑ±»¯¡£Æô¶¯Íê³ÉÒÔºó£¬ÆäÖÐÖ®Ò»Õý³£ÔËÐУ¬ÏòÁíÒ»¸öͶ¼Ó²»Í¬Á¿µÄ×ÔÖÆµÄÌúÑõÌå·ÛÄ©£¬½øÐжԱÈÊÔÑ飬Ñо¿ÌúÑõÌå·ÛÄ©¼ÓÈëºóϵͳ¶ÔÎÛË®ÖÐCOD ¼°NH3- N È¥³ýµÄÇ¿»¯×÷Óá£
2 ʵÑé½á¹ûÓëÌÖÂÛ
2. 1 ÌúÑõÌåͶ¼ÓÁ¿¶ÔCOD ºÍNH3- N È¥³ýÂʵÄÓ°ÏìÔÚÏàͬµÄÌõ¼þÏÂÑо¿´Å·ÛͶ¼ÓÁ¿¶ÔCOD ºÍNH3- N È¥³ýÂʵÄÓ°Ïì¡£ÆäÖÐÎÛÄàÖÊÁ¿Å¨¶ÈΪ4 200mg/ L ×óÓÒ£¬ÔË®pH ÖµÔÚ6. 5¡« 7. 5 Ö®¼ä£¬Ë®Á¦Í£Áôʱ¼äΪ7 h¡£Ã¿Ò»¸öÌúÑõÌåͶ¼ÓÁ¿Öظ´7 ´Î¼ì²â³öˮˮÖÊ£¬È¡Æäƽ¾ùÖµ±íʾ¸ÃͶ¼ÓÁ¿¶ÔÎÛË®ÖÐÎÛȾÎïÈ¥³ýÂʵÄÓ°Ïì¡£
ͼ2 ´Å·ÛͶ¼ÓÁ¿¶Ô³öË®COD È¥³ýÂʵÄÓ°Ïì
ÓÉͼ2 ¿ÉÒÔ¿´³ö£¬Ëæ×ÅÌúÑõÌåͶ¼ÓÁ¿µÄÔö¼Ó,COD ¼°NH3- N µÄÈ¥³ýÂÊÃ÷ÏÔÉý¸ß£¬µ±·´Ó¦Æ÷ÖÐͶ¼ÓµÄÌúÑõÌåΪ500mg/ L ʱ£¬COD µÄÈ¥³ýÂÊ´ïµ½88. 1%,¸ßÓÚδͶ¼ÓÌúÑõÌåµÄ83. 4%¡£¶øNH3- N µÄÈ¥³ýÂÊÔÚ¸ÃÌúÑõÌåµÄͶ¼ÓÁ¿Îª375 mg/ L ʱ´ïµ½×î´óÖµ87. 1%,±ÈδͶ¼ÓÌúÑõÌåµÄ60. 6% ¸ß³ö26. 5%¡£µ±ÌúÑõÌåͶ¼ÓÁ¿¼ÌÐøÔö¼Óºó£¬COD ¼°NH3- N µÄÈ¥³ýÂÊÖð½¥¼õС£¬²¢³Ê²¨ÀËÏßÇ÷ÊÆ¡£
2. 2 Ë®Á¦Í£Áôʱ¼ä¶ÔCOD ¼°NH3- N È¥³ýÂʵÄÓ°Ïì
ÓÃͶ¼ÓÁË350 mg/ L ÌúÑõÌåµÄ»îÐÔÎÛÄàºÍÆÕͨµÄ»îÐÔÎÛÄàÔÚÏàͬµÄÌõ¼þϽøÐÐÁ¬Ðø½øË®ÊÔÑ飬¹Û²ìË®Á¦Í£Áôʱ¼ä¶Ô·ÏË®COD ¼°NH3- N È¥³ýÂʵÄÓ°Ï죬Æä½á¹ûÈçͼ3 Ëùʾ¡£
ͼ3 Ë®Á¦Í£Áôʱ¼ä¶ÔCOD¡¢NH3-NÈ¥³ýÂʵÄÓ°Ïì
ÓÉͼ3 ¿ÉÒÔ¿´³ö£¬ÔÚÏàͬÌõ¼þÏ£¬´Å·Û»îÐÔÎÛÄà¶ÔCOD ¼°NH3- N µÄÈ¥³ýÂÊʼÖÕ¸ßÓÚÆÕͨ»îÐÔÎÛÄà¡£ÆäÖдŷۻîÐÔÎÛÄà¶ÔCOD µÄÈ¥³ýÂÊ±ÈÆÕͨ»îÐÔÎÛÄàÆ½¾ù¸ß³ö´óÔ¼3% £¬¶ø¶ÔNH3- N µÄÈ¥³ýÂʸ߳ö´óÔ¼9%£¬×î¸ß´ïµ½ÁË14.5% ¡£
µ±Ë®Á¦Í£Áôʱ¼äΪ5 h ʱ£¬´Å·Û»îÐÔÎÛÄà¶ÔNH3- N µÄÈ¥³ýÂÊ±ÈÆÕͨ»îÐÔÎÛÄà¸ßÔ¼13%¡£ÌúÑõÌå»îÐÔÎÛÄà¶ÔCOD ¼°NH3- N µÄÈ¥³ýÂÊÃ÷ÏÔÌá¸ß£¬¸Ã½á¹ûÓë½¹âÁ¢µÈ[5] Ëù×öµÄÏò»îÐÔÎÛÄàÖÐͶ¼ÓFe3O4·ÛÄ©´¦ÀíÎÛË®µÄ½á¹ûÏàËÆ¡£ÆäÔÒò¿ÉÄÜÊÇ´ÅÐÔÌúÑõÌåµÄ¼ÓÈëʹ»îÐÔÎÛÄàÐõÌå¿ÅÁ£·Ö²¼¾ùÔÈ£¬ÓÐÀûÓÚÓлúÎÛȾÎïÓë΢ÉúÎï³ä·Ö½Ó´¥¡£Í¬Ê±ÔÚÌúÑõÌåµÄ´Å´ß»¯×÷ÓÃÏ£¬Î¢ÉúÎïµÄÉúÎï»îÐÔÔöÇ¿£¬Ñõ»¯·Ö½âÓлúÎÛȾÎïµÄÄÜÁ¦Ò²ÏàÓ¦Ìá¸ß¡£
ÔÚË®Á¦Í£Áôʱ¼äΪ6 h ʱ£¬Í¶¼ÓÌúÑõÌåµÄ´ÅÐÔ»îÐÔÎÛÄà¶ÔCOD ¼°NH3-N µÄÈ¥³ýÂÊ´ïµ½Îȶ¨×´Ì¬£¬¶øÆÕͨ»îÐÔÎÛÄà´ïµ½¸Ã״̬µÄË®Á¦Í£Áôʱ¼äΪ7 h£¬ËùÒÔͶ¼ÓÌúÑõÌå·ÛÄ©ÄÜ´ó´óÌá¸ß·´Ó¦Æ÷´¦Àí·ÏË®µÄ´¦ÀíËÙÂÊ£¬ÔöÇ¿´¦ÀíÄÜÁ¦¡£
2. 3 ÌúÑõÌå¶Ô·´Ó¦Æ÷Æô¶¯Ê±¼äµÄÓ°Ïì
ÔÚ½øË®Ë®Öʼ°ÆäËûÌõ¼þÏàͬµÄÇé¿öÏÂÁ¬Ðø½øË®£¬Ñо¿2 ÖÖϵͳ´ÓÆô¶¯³õÆÚµ½Îȶ¨ÔËÐйý³ÌÖгöˮˮÖʵı仯Çé¿ö¡£ÊÔÑé½á¹ûÈçͼ4 Ëùʾ¡£
ͼ4 ÔËÐÐʱ¼ä¶ÔCOD È¥³ýÂʵÄÓ°Ïì
ÓÉͼ4 ¿ÉÒÔ¿´³ö£¬ÔÚϵͳÔËÐеÄǰ3 Ì죬·´Ó¦Æ÷¶Ô·ÏË®µÄÈ¥³ýЧ¹û½Ï²î¡£½øË®µÚ1 ÌìÔË®COD Ϊ224 mg/ L£¬Î´Í¶¼ÓÌúÑõÌåµÄϵͳ³öˮΪ64 mg/ L£¬¶øÍ¶¼ÓÌúÑõÌåµÄϵͳ³öˮΪ72 mg/ L£¬È¥³ýÂÊ·Ö±ðΪ71. 4% ºÍ67. 8%£¬Ç°Õß·´¶ø¸ß³öºóÕß3. 6%; ·´Ó¦Æ÷ÔËÐе½µÚ5 Ììʱ£¬ÏµÍ³¶ÔCOD µÄÈ¥³ýÂÊÔÙ´ÎÌá¸ß,ÔÚ´ËʱͶ¼ÓÌúÑõÌåµÄϵͳ³öË®¶ÔCOD µÄÈ¥³ýÂÊ´óÓÚδͶ¼ÓÌúÑõÌåϵͳ£¬´Ëºó½øÈëÎȶ¨ÔËÐн׶Σ¬¸Ã½á¹ûÓëÈÎÔÂÃ÷µÈ[7] µÄÑо¿½á¹ûÏàËÆ; µ±·´Ó¦Æ÷ÔËÐÐÁË25 d ºó£¬ÆÕͨ»îÐÔÎÛÄàϵͳ¼ÌÐøÎȶ¨ÔËÐУ¬Í¶¼ÓÁËÌúÑõÌåµÄϵͳ¶ÔCOD µÄÈ¥³ýÂÊ¿ªÊ¼½µµÍ¡£³öÏÖÕâÖÖÇé¿ö¿ÉÄÜÊÇÌúÑõÌå±¾Éí²»¾ßÓдÅÐÔ£¬¶øÊÇÍâ¼Ó´Å³¡Ê¹Æä¾ßÓÐÈõ´ÅÐÔ£¬µ±Íâ¼Ó´Å³¡³·Àëºó£¬Æä´ÅÐÔÖð½¥¼õÈõ£¬¶ÔCOD µÄÈ¥³ýÂÊÔì³ÉÁËÒ»¶¨µÄÓ°Ïì¡£ÓÉͼ4 ͬʱ¿ÉÒÔ¿´³ö£¬µ±ÏµÍ³Îȶ¨ÔËÐкó£¬Í¶¼ÓÌúÑõÌåµÄϵͳ¶ÔCOD µÄÈ¥³ýÂÊʼÖÕ¸ßÓÚÆÕͨ»îÐÔÎÛÄàϵͳƽ¾ù2% ×óÓÒ¡£
2. 4 ÀíÂÛ¶¯Á¦Ñ§·½³ÌµÄ½¨Á¢
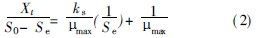
·ÏË®µÄÉúÎï´¦Àí¹ý³Ì¿É¿´³ÉÊÇ΢ÉúÎïµÄÉú³¤¹ý³Ì¡£ºÜ¶àÈËͨ¹ý¶ÔÉúÎïÉú³¤µÄÑо¿ºÍ΢ÉúÎï·´Ó¦Ìá³öһЩ¼ÙÉèºÍ½¨Á¢Î¢ÉúÎïÉú³¤µÄÊýѧģÐÍ£¬ÓÃÒÔÔ¤²â΢ÉúÎï¶Ô·ÏË®´¦Àí½á¹ûµÄÓ°Ïì[8] ¡£ÔÚ±¾ÊµÑéÖÐ,΢ÉúÎïµÄÉú³¤ËÙÂʺ͵×ÎïµÄŨ¶È¹ØÏµ¿ÉÓÃMonod ·½³ÌÀ´±íʾ:
¸Ã·½³Ì¿Éת»¯Îª:
½øË®COD Ϊ300 mg/ L ×óÓÒ£¬Ë®Á¦Í£Áôʱ¼äΪ5h£¬ËùµÃÊý¾Ý¼û±í2¡£ÓÉÓÚ·´Ó¦Ê±¼ä½Ï¶Ì£¬¼ÙÉèÉúÎïÁ¿X ºã¶¨£¬²¢ÇÒ½µ½âÓлúµ×ÎïÄÜÁ¦²»±ä[9] £¬ÒÔµ×ÎïŨ¶ÈµÄµ¹Êý(1/ Se )Ϊºá×ø±ê£¬ÒÔ»ùÖʽµ½âËÙÂʵĵ¹ÊýXt /(S 0- Se ) Ϊ×Ý×ø±ê½øÐÐÇúÏßÄâºÏÈçͼ5 Ëùʾ¡£
±í2 ±äÁ¿Êý¾Ý
ÓÉͼ5 ¿ÉÒÔ¿´³ö£¬COD µÄ½µ½â»ù±¾Âú×ãMonod·½³Ì£¬ÓÉͼ5 ÇóµÃ:
2. 5 »îÐÔÎÛÄàÐõÌå¹Û²ì
ÔÚϵͳÎȶ¨ÔËÐкó£¬Í¨¹ýÏÔ΢¾µ(10¡Á10) ¹Û²ì»îÐÔÎÛÄàÐõÌå¿ÉÒÔ¿´³ö£¬ÆÕͨ»îÐÔÎÛÄàÐõÌå½á¹¹ËÉÉ¢£¬¾ú½ºÍŽÏС£¬´óС²»¾ùÔÈ; Ͷ¼ÓÌúÑõÌåºó£¬ÎÛÄàÐõÌå½á¹¹½ôÃÜ£¬´óС¾ùÔÈ£¬Í¬ÆÕͨ»îÐÔÎÛÄàÏà±È£¬¾ú½ºÍŸü´ó¡£ÕâÓëËïˮԣµÈ[10] ¶Ô´Å·Û»îÐÔÎÛÄàÉúÎïÏàµÄ¹Û²ì½á¹ûÀàËÆ¡£¡£
3 ½áÂÛ
(1) ·´Ó¦Æ÷ÖÐÌúÑõÌåµÄͶ¼ÓÁ¿²»Í¬¶Ô·ÏË®ÖÐCOD ¼°NH3- N È¥³ýÂʲ»Í¬£¬ÆäÖÐÌúÑõÌåͶ¼ÓÁ¿Îª500mg/ L ʱCOD µÄÈ¥³ýÂÊΪ88. 1% ´ïµ½×î¸ß; ÌúÑõÌåµÄͶ¼ÓÁ¿Îª3 75mg / L ʱNH3 - N µÄÈ¥³ýÂÊΪ87. 1%£¬±ÈδͶ¼ÓÌúÑõÌåϵͳ¸ß³ö26. 5% ¡£
(2) ÔÚ²»Í¬µÄË®Á¦Í£Áôʱ¼äÏ£¬Í¶¼Ó375 mg/ LÌúÑõÌåµÄ´ÅÐÔ»îÐÔÎÛÄà¶ÔCOD ¼°NH3- N µÄÈ¥³ýÂÊÃ÷ÏÔ¸ßÓÚÆÕͨ»îÐÔÎÛÄà; ²¢ÇÒͶ¼ÓÌúÑõÌåºó£¬·´Ó¦Æ÷´¦Àí·ÏË®µÄË®Á¦Í£Áôʱ¼ä¼õÉÙÁË1 h£¬¿ÉÒÔÔö´ó·´Ó¦Æ÷µÄÈÝ»ý¸ººÉ¼°Ìá¸ß´¦ÀíЧÂÊ¡£
(3) ¸ù¾ÝMonod ·½³ÌÍÆµ¼³öÌúÑõÌåϵͳ»ùÖʽµ½â¶¯Á¦Ñ§·½³ÌΪ:














