Á¶ÓÍ·ÏË®µÄÉî¶È´¦ÀíÊÇÖ¸¶ÔÓÚʯ»¯ÆóÒµ¶þ¼¶ÎÛË®´¦ÀíºóË®£¬ÓÃÉú»¯·¨¡¢Àë×Ó½»»»·¨¡¢³¬ÂË·¨ºÍ»¯Ñ§Ñõ»¯·¨µÈ½øÐÐÔٴδ¦Àí£¬´¦ÀíºóË®ÓÃÓÚ»ØÓã¬Èç×÷Ϊѻ·ÀäÈ´Ë®µÄ²¹³äË®µÈ£¬²»µ«¿ÉÒÔ¼õÇá¶ÔÓÚ»·¾³µÄÎÛȾ£¬Ò²¿ÉÒÔΪÁ¶ÓÍÆóÒµ½ÚÔ¼ÓÃË®£¬Ôö¼Ó¾¼ÃÐ§Òæ£Û1£Ý¡£¸ß¼¶Ñõ»¯¼¼Êõ¿ÉÓÐЧÑõ»¯½µ½â¸ßŨ¶ÈÓлúÎÛȾÎҲ³£³£×÷Ϊ·ÏË®É´¦ÀíµÄ¼¼ÊõÊֶΣÛ2£¬3£Ý¡£¹â´ß»¯ÊǸ߼¶Ñõ»¯¼¼ÊõµÄÒ»ÖÖ£¬´¦Àí·ÏË®µÄÏȽøÐÔÒѱ»¹«ÈÏ£¬µ«ÊÇÓÉÓÚTiO2ÄÉÃ׿ÅÁ£¾ÖÏÞÐÔ: TiO2·ÛÄ©Ò×Äý¾Û£¬²»Ò×´ÓÈÜÒºÖзÖÀ룬ÎÞ·¨»ØÊÕÔÙÀûÓãÛ4£Ý¡£ÔÚ´¦Àí¹¤ÒµÓлú·ÏË®·½ÃæÑо¿½ÏÉÙ£¬ÈçºÎÄܽ«¹â´ß»¯¼¼ÊõÔËÓÃÓÚ²úÒµ»¯´¦Àí¹ý³ÌÊÇÈç½ñµÄÑо¿Èȵã£Û5£Ý¡£³ôÑõÑõ»¯·¨×÷ΪÁíÒ»ÖÖ½ÏΪ³ÉÊìµÄ¸ß¼¶Ñõ»¯¼¼Êõ£¬½üÄêÀ´ÔÚ·ÏË®´¦ÀíÁìÓòÔËÓýÏΪ¹ã·º£Û6£Ý¡£¿¼Âǽ«¹â´ß»¯ºÍ³ôÑõ´ß»¯Ñõ»¯¼¼Êõ½øÐÐÁªÓ㬶ÔÓÚÁ¶ÓÍ·ÏË®½øÐÐÉî¶È´¦Àí£¬ÒÔÆÚ´ïµ½»ØÓõÄÄ¿µÄ¡£
ÏìÓ¦Ãæ·½·¨(RSM)ÒÔͳ¼ÆÑ§Îª»ù´¡£¬ÓÃÓÚÉè¼ÆÊµÑ飬ÆÀ¹Àµ¥¸ö±äÁ¿ÒÔ¼°¶à¸ö±äÁ¿Ö®¼äµÄÏ໥×÷Ó㬿ÉÔÚÓÐÏÞµÄʵÑé´ÎÊýÏÂÓÅ»¯ÊµÑé²Ù×÷µÄ²ÎÊý£Û7-9£Ý¡£Í¬´«Í³ÊµÑé·½·¨Ïà±È£¬RSM ²»Ò×Ôì³Éʱ¼äºÍ×ÊÔ´µÄÀË·Ñ£¬»¹ÄܶÔʵÑé¹ý³Ì½øÐзÖÎö¡¢½á¹û½øÐÐÔ¤²â£Û10£Ý¡£RSM ÒÑÔÚ¹úÍâÖÆ½¬·ÏË®´¦Àí£Û11£Ý¡¢ÒûÓÃË®¾»»¯£Û12£ÝºÍÖØ½ðÊô´¦Àí£Û13£ÝµÈÁìÓòµÃµ½Á˹㷺µÄÓ¦Óá£RSM ×÷ΪһÖÖÏȽøµÄÑо¿·½·¨Ò²Öð½¥ÒýÆðÁ˹úÄÚÑо¿Ñ§ÕßµÄÖØÊÓ£¬ÔËÓø÷½·¨ÓÅ»¯Éî¶È´¦Àí·ÏË®»ØÓÃÉÐÊôÊ״Ρ£
±¾Ñо¿²ÉÓÃRSM µÄÖÐÐÄ×éºÏÉè¼Æ·½·¨(CCD)½øÐÐʵÑéÉè¼Æ£¬ÀûÓÃDesign Expert 8£®0£®5 Èí¼þ(Stat-Ease ¹«Ë¾£¬ÃÀ¹ú)¶ÔʵÑé½á¹û½øÐÐÁË·ÖÎö£¬²¢½¨Á¢ÁËÒÔCOD(COD È¥³ýÂÊ·´Ó³ÁËÌåϵÑõ»¯½µ½â³Ì¶È)ΪÏìÓ¦ÖµµÄ¶þ´Î¶àÏîʽ¡£¶ÔÉî¶È´¦Àí¹¤ÒÕÌõ¼þ½øÐÐÓÅ»¯£¬Ô¤²âÁËʵÑé½á¹û£¬²¢ÔÚÓÅ»¯Ìõ¼þ϶ÔÁ¶ÓÍ·ÏË®½øÐÐÁËÉî¶È´¦ÀíʵÑ飬ÆÀ¼ÛÁËË®ÖÊ£¬¶ÔÓÃÓÚÑ»·ÀäÄýË®²¹³äË®¾ßÓвο¼¼ÛÖµ¡£
1 ²ÄÁϺͷ½·¨
1£®1 ʵÑéÓÃË®
Á¶ÓÍ·Ïˮȡ×Ô°²Çìʯ»¯×ÛºÏÎÛË®´¦Àí³§¶þ¼¶´¦ÀíºóµÄÍâÅÅË®£¬Ë®Öʽá¹ûÈçÏÂ: pH Ϊ6£®46£¬SS Ϊ23mg/L£¬Ê¯ÓÍÀàΪ123£®6 mg/L£¬COD Ϊ174 mg/L£¬NH3-N Ϊ41£®9 mg/L£¬Áò»¯ÎïΪ12£®9 mg/L¡£
²Î¿¼Í¬¼Ã´óѧ£Û14£Ý¡¢ÁõÊØÐµȣÛ15£ÝµÄÖÆ±¸·½·¨£¬²¢½øÐиĽø£¬²ÉÓÃÈܽº-Äý½º·¨ÔÚ¸ÄÐÔÇòÐλîÐÔÌ¿¿ÅÁ£±íÃæ¸ºÔØTiO2¾§Ì壬ÔÚN2±£»¤Ï³ÌÐòÉýÎÂìÑÉÕÖÆµÃTiO2/AC ¹â´ß»¯¼Á¡£¸ÃÖÖ´ß»¯¼ÁÎïÀíÌØÕ÷¼°ÆäÎü¸½ÐÔÄÜÆ½¾ùÖ¸±êÈçÏÂ: ¿ÅÁ£´óСΪ1£®88 mm£¬×°ÌîÃܶÈΪ577 g/L£¬µâÎü¸½ÖµÎª1 092 mg/g£¬¿×ÈÝ»ýΪ0£®86 cm3/g£¬±È±íÃæ»ýΪ1 377m2/g£¬¸ºÔرÈÀýΪ21£®49%£¬TiO2¾§ÌåÁ£¾¶Îª11£®2 nm¡£
1£®2 ʵÑé×°ÖÃ
±¾ÊµÑé²ÉÓÃ×ÔÖÆµÄ¹â·´Ó¦Æ÷¼°ÆäÅäÌ××°Ö㬼ûͼ1¡£¹âԴΪ×ÏÍâ¹â¹âÔ´£¬µ¥Ò»×ÏÍⲨ³¤Îª254 nm¡£×ÏÍâµÆ¹â(30 W)¾àÀëË®Ãæ¾àÀë3£®5 cm±£³Ö²»±ä¡£
1£®3 ʵÑé·½·¨
ÓÃc (NaOH)1£®00 mol/L »òc (H2SO4)1£®00mol/L µ÷½Ú·ÏË®³õʼpH£¬Í¶¼Ó¹â´ß»¯¼Á£¬¿ªÆô×ÏÍâ¹â·´Ó¦×°Ö㬱ÃÈë³ôÑõ£¬¶ÔÁ¶ÓÍ·ÏË®½øÐÐÑõ»¯´¦Àí£¬·´Ó¦Ò»¶¨Ê±¼äºó£¬½«´¦ÀíºóÈÜÒº½øÐÐÀëÐÄ·ÖÀëÈ¡ÉÏÇåÒº£¬¦Ñ(COD)²ÉÓÃÖØ¸õËá¼Ø·¨²â¶¨£¬¼ÆËãCOD µÄÈ¥³ýÂÊ¡£ÀûÓÃRSM ½øÐÐʵÑéÉè¼Æ¡¢²ÎÊýÓÅ»¯ºÍ½á¹ûÔ¤²â¡£
1£®4 ʵÑéÉè¼Æ
ʵÑéѡȡ³ôÑõͨÁ¿¡¢¹â´ß»¯¼ÁͶ¼ÓÁ¿¡¢³õʼpHºÍ·´Ó¦Ê±¼äΪʵÑéÒòËØ£¬°´ÕÕCCD ·¨Éè¼ÆÁËÒ»¸ö4ÒòËØ5 ˮƽµÄʵÑé·½°¸£¬¸÷ÒòËØË®Æ½ºÍ±àÂë¼û±í1¡£
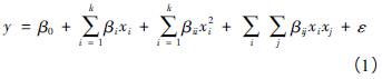
ÒÔÁ¶ÓÍ·ÏË®COD È¥³ýÂÊ(y)ΪÏìÓ¦Öµ£¬ÓöàÏîʽ»Ø¹é·ÖÎö¶ÔʵÑéÊý¾Ý½øÐÐÄâºÏ£¬¿ÉÒԵõ½¶þ´Î¶àÏîʽģÐÍ£Û16£¬17£Ý£¬ÆäÄ£ÐÍΪ:
ʽÖÐ: y ΪÏìÓ¦Öµ; xi ¡¢xjΪʵÑéÒòËØ; ¦Â0Ϊ³£ÏµÊý;¦ÂiΪÏßÐÔϵÊý; ¦ÂiiΪ¶þ´ÎÏîϵÊý; ¦ÂijΪ½»»¥ÏîϵÊý;¦ÅÎªËæ»úÎó²î¡£
¶þÏîʽģÐÍÄâºÏÖÊÁ¿µÄÓÅÁÓÊÇÓɾö¶¨ÏµÊý(R2)Ëù¾ö¶¨µÄ£¬Ê¹ÓöþÏîʽģÐͺͷ½²î·ÖÎö(ANOVA)¶ÔÊý¾Ý½øÐÐÄâºÏºÍ·ÖÎö£¬ÒÔ»ñµÃ×Ô±äÁ¿ºÍÏìÓ¦±äÁ¿Ö®¼äµÄ¹ØÏµÊ½¡£
2 ½á¹ûÓë·ÖÎö
2£®1 »Ø¹é·½³ÌÓëÊý¾Ý·ÖÎö
Ò»¹²½øÐÐ30 ×éʵÑ飬ÿ´ÎʵÑé¶¼°´ÕÕÉè¼Æ·½°¸½øÐУ¬È»ºó²â¶¨¦Ñ(COD)£¬×îºó¼ÆËãµÃµ½COD È¥³ýÂÊ£¬ÊµÑéÉè¼Æ·½°¸ºÍ½á¹û¼û±í2¡£
ʵÑéÐòºÅÈç1¡¢4¡¢15¡¢22¡¢25 ºÍ26 µÄʵÑéÒòËØµÄÌõ¼þÊÇÏàͬµÄ£¬Ö÷ÒªÊÇΪÁËÑé֤ʵÑéPure error(´¿Îó²î)£Û18£Ý¡£ÀûÓÃDesign Expert Èí¼þ¶Ô±í2 µÄʵÑéÊý¾Ý½øÐжàÔª»Ø¹éÄâºÏ£¬×îºóµÃµ½³ôÑõͨÁ¿¡¢´ß»¯¼ÁͶ¼ÓÁ¿¡¢³õʼpH ºÍ·´Ó¦Ê±¼äÓëÁ¶ÓÍ·ÏË®COD È¥³ýÂÊÖ®¼äµÄ¶þ´Î¶àÏîʽ»Ø¹é·½³Ì:
ʹÓ÷½²î·ÖÎö(ANOVA)À´¼ì²é¶þ´Î¶àÏîʽģÐͶÔʵÑé½á¹û½øÐÐÄ£ÄâµÄ³ä·ÖÐÔºÍÏÔÖøÐÔ£¬·½²î·ÖÎö½á¹û¼û±í3¡£
±í3 Ϊ·½²î·ÖÎö½á¹û¡£Ä£ÐÍ·½³Ìͳ¼ÆÏÔÖøÐÔÊÇÓÉF ֵȷ¶¨£¬F ÖµÔ½´ó£¬Ôò±íÃ÷·½³ÌµÄÏÔÖøÐÔԽǿ£Û19£Ý¡£P ֵСÓÚ0£®0500£¬±íÃ÷Ä£ÐÍÒòËØÏî¾ßÓÐÏÔÖøÐÔ£¬P Öµ´óÓÚ0£®1000£¬ÈÏΪģÐÍÒòËØÏîÊÇ·ÇÏÔÖøÐԵġ£Óɱí3 ¿ÉÖª£¬¶þ´Î¶àÏîʽģÐ͵ÄF Ϊ11£®54£¬Ô¶´óÓÚ1£¬P £¼ 0£®0001£¬ËµÃ÷Ä£Ð;ßÓнϺõĻعéЧ¹ûºÍ½ÏÇ¿µÄÏÔÖøÐÔ¡£¦Ñ(O3)¡¢¦Ñ(´ß»¯¼Á)¡¢³õʼpH ºÍ·´Ó¦Ê±¼äµÄF Öµ·Ö±ðΪ0£®066¡¢20£®18¡¢20£®15 ºÍ55£®51£¬Òò´Ë¸÷ÒòËØ¶Ô´¦ÀíЧ¹ûÓ°ÏìµÄÏÔÖøÐÔ˳ÐòΪ·´Ó¦Ê±¼ä£¾´ß»¯¼ÁͶ¼ÓÁ¿£¾³õʼpH £¾³ôÑõͨÁ¿¡£
Ïà¹ØÏµÊýR2 ºÍRadj2ÊǼìÑéÄ£ÐÍ¿ÉÐŶȺÍ׼ȷÐÔµÄÖØÒªÖ¸±ê£¬R2 ºÍRadj2Ô½¿¿½ü1£¬±íÃ÷Ä£ÐÍÔ½ÄÜÓÐЧ·´Ó³ÊµÑéµÄÊý¾Ý£¬R2ºÍRadj2Ô½¿¿½ü0£¬±íÃ÷Ä£ÐÍÔ½²»ÄÜÓÐЧ·´Ó³ÊµÑéµÄÊý¾Ý¡£¸Ã»Ø¹é·½³ÌµÄÏà¹ØÏµÊý(R2)Ϊ0£®9537£¬µ÷ÕûÏà¹ØÏµÊý(Radj2)Ϊ0£®9150£¬ËµÃ÷¸Ã»Ø¹é·½³ÌÄܽϺõØÄ£ÄâÕæÊµµÄÇúÃæ¡£
ͼ2 ¡«Í¼4 Ϊ²Ð²îͼ£¬²Ð²îÊÇDesign Expert Èí¼þÔ¤²âÖµÓëʵ¼ÊÖµÖ®¼äµÄÎó²î¡£ÄÚѧÉú»¯²Ð²îÓÃÀ´±íÕ÷±ê׼ƫ²îÆ«Àëʵ¼Ê¡¢Ô¤²âÏìÓ¦ÖµµÄ³Ì¶È£¬ÔÚͼÐÎÉϱíÏÖΪÊý¾ÝµãÊÇ·ñ³ÊÏÖÏßÐÔ·Ö²¼¡£ÍâѧÉú»¯²Ð²îÊÇÓÃÓÚ¿¼ÂǸ÷¸öÏìÓ¦ÖµÊý¾ÝÏà¶ÔÓÚÄâºÏµÄ»Ø¹é·½³ÌÊÇ·ñΪÒì³£µã£¬´ó²¿·ÖѧÉú»¯²Ð²î·Ö²¼ÔÚ¡À 3£®5 ·¶Î§Ö®ÄÚ¡£ÓÉͼ2 ¿É¼û£¬ÊµÑéÊý¾Ýµã³ÊÏÖÁËÏßÐÔ·Ö²¼£¬¶øÇÒ±íÃ÷Á˻عéÄ£ÐÍÄâºÏµÃ½ÏºÃ£¬¸ÃÖ±ÏßÉϵÄÊý¾Ýµã²»´æÔÚÈκÎÎÊÌ⣬½øÒ»²½Ö¤ÊµÁËÔ¤²âÖµÓëʵ¼ÊÖµ½Ï½Ó½ü¡£ÓÉͼ3¡¢Í¼4 ¿É¼û£¬Êý¾ÝµãËæ»ú·Ö²¼£¬Ã»ÓÐÈκÎÇ÷ÊÆ£¬ÓÉÓÚʵÑé²Ù×÷ÖеÄÎó²îÔÒò£¬Í¼4 ÖеĵÚ3 ¸öÊý¾Ýµã³¬³ö·¶Î§£¬ÔÚºóÐøµÄÊý¾Ý´¦ÀíÖн«ÆäÉáÈ¥¡£
ͼ5 Ϊ·ÏË®COD È¥³ýÂʵÄʵ²âÖµÓëÔ¤²âÖµ¹ØÏµÍ¼¡£ÓÉͼ¿É¼û£¬ÊµÑéÊý¾Ýµã»ù±¾·Ö²¼ÔÚÖ±ÏßÉÏ£¬Éî¶È´¦ÀíºóÁ¶ÓÍ·ÏË®COD È¥³ýÂʵÄʵ¼ÊÖµºÍÔ¤²âÖµµÄƤ¶ûÑ·Ïà¹ØÏµÊý(pearson correlation coefficient)Ϊ0£®981£¬ËµÃ÷Ä£ÐÍÔ¤²âÖµÓëʵ²âÖµÖ®¼ä´æÔÚÁ¼ºÃµÄÏßÐÔ¹ØÏµ£¬Ä£Ð;ßÓнϸߵÄ׼ȷ¶È¡£
2£®2 ÒòËØÐ§Ó¦·ÖÎö
ΪÁ˸üºÃµØ¿¼²ì³ôÑõͨÁ¿¡¢¹â´ß»¯¼ÁͶ¼ÓÁ¿¡¢³õʼpH ºÍ·´Ó¦Ê±¼ä½»»¥×÷ÓöÔCOD È¥³ýЧ¹ûµÄÓ°Ï죬»æÖÆÁË·´Ó¦ÈýάÇúÃæÍ¼ºÍµÈ¸ßÏßͼ¡£
µ±³õʼpH 7£¬·´Ó¦Ê±¼ä70 min£¬³ôÑõͨÁ¿Óë¹â´ß»¯Í¶¼ÓÁ¿µÄ½»»¥×÷Óüûͼ6¡£
µ±pH Ϊ7£¬¹â´ß»¯¼ÁͶ¼ÓÁ¿Îª0£®3 g/L£¬³ôÑõͨÁ¿Ó뷴Ӧʱ¼äµÄ½»»¥×÷Óüûͼ7¡£
µ±³ôÑõͨÁ¿Îª1£®5 L/min£¬·´Ó¦Ê±¼äΪ70 minʱ£¬¹â´ß»¯¼ÁͶ¼ÓÁ¿ÓëpH µÄ½»»¥×÷Óüûͼ8¡£
µ±³ôÑõͨÁ¿Îª1£®5 L/min£¬³õʼpH Ϊ7 ʱ£¬¹â´ß»¯¼ÁͶ¼ÓÁ¿Ó뷴Ӧʱ¼äµÄ½»»¥×÷Óüûͼ9¡£
ÓÉÉÏÊöµÄÈýά·´Ó¦ÇúÃæÍ¼¼°Æä¶ÔÓ¦µÄµÈ¸ßÏßͼ¿ÉÖª£¬·´Ó¦¹ý³ÌÖÐʼÖÕ´æÔÚ¹â´ß»¯ºÍ³ôÑõÑõ»¯ÕâÁ½¸öͬʱ½øÐеķ´Ó¦µ¥Ôª£¬ÆäÖеÄTiO2/AC ´ß»¯¼Á¼ÈÊǹâ´ß»¯¼ÁÒ²ÊdzôÑõ´ß»¯Ñõ»¯µÄ´ß»¯¼Á¡£µ±´ß»¯¼ÁµÄͶ¼ÓÁ¿½ÏÉÙ£¬·´Ó¦Ê±¼ä½Ï³¤Ê±£¬¹â´ß»¯µ¥ÔªÕ¼Ö÷µ¼µØÎ»£¬×÷ÎªÔØÌå»îÐÔÌ¿´óÁ¿Îü¸½ÈÜÒºÖеÄÎÛȾ·Ö×Ó£¬´´Ôì³öÒ»¸ö¸ßŨ¶ÈµÄÎÛȾÎï»·¾³£¬Í¨¹ý´«ÖÊÆ½ºâ½«ÎÛȾ·Ö×Ó×ªÒÆµ½TiO2·Ö×Ó±íÃæ£¬ÎÛȾÎï·Ö×ÓÓëTiO2¹â·´Ó¦²úÉúµÄ´óÁ¿µÄ¡¤OH ½øÐз´Ó¦£¬Í¨ÈëµÄO3ÒòΪ´ß»¯¼ÁͶÈëÁ¿µÄ²»×㣬Ö÷ÒªÊÇÔÚ×ÏÍâ¹âÕÕÉäÏ£¬ÐγÉÉÙÁ¿µÄ¡¤OH ²ÎÓë´ß»¯Ñõ»¯¹ý³Ì£¬ÑÓ³¤·´Ó¦Ê±¼äÔö¼Ó´ß»¯Ñõ»¯µÄʱ¼ä¿ÉÒÔÏÔÖøÌá¸ßCOD µÄÈ¥³ýЧÂÊ¡£µ±´ß»¯¼ÁͶ¼ÓÁ¿½Ï´ó£¬·´Ó¦Ê±¼ä½Ï¶Ìʱ£¬´ËʱµÄ³ôÑõ´ß»¯Ñõ»¯µ¥ÔªÕ¼Ö÷µ¼µØÎ»£¬Ôں̵ܶÄʱ¼äÄÚ¾ßÓдó±È±íÃæ»ýµÄÔØÌ彫ÎÛȾÎï·Ö×ÓÓëO3һͬÎü¸½ÖÁ´ß»¯¼ÁµÄ±íÃæ£¬Ôö¼ÓÁËO3ÓëÎÛȾÎïÖʵĽӴ¥Ð§ÂÊ£¬Í¬Ê±£¬ÓÉÓÚ¸ßŨ¶ÈµÄO3»·¾³£¬Ê¹¸ü¶àµÄO3·Ö½â³ÉΪÑõ»¯ÐÔÄܸüÇ¿µÄ¡¤OH£¬Ôں̵ܶÄʱ¼äÄÚÍê³É´ß»¯Ñõ»¯·´Ó¦¡£Èç¹ûÒ»·½ÃæÔö¼Ó´ß»¯¼ÁµÄͶ¼ÓÁ¿£¬Ò»·½ÃæÔö¼Ó·´Ó¦Ê±¼ä£¬COD µÄÈ¥³ýÂÊÌá¸ßÃ÷ÏÔ£¬×îÖÕ¿ÉÒÔ´ïµ½½«½ü100%¡£
2£®3 ¹¤ÒÕÓÅ»¯
ÓÅ»¯Ä¿µÄÊÇѰÕÒ×î¼Ñ·´Ó¦Ìõ¼þʹµÃÏìÓ¦Öµ×î´ó»¯£¬¼´Ñ°ÕÒ´¦ÀíЧ¹û×îºÃµÄ¹¤ÒÕÌõ¼þ¡£¸ù¾ÝÏìÓ¦Ãæ¶þ´Î¶àÏîʽ»Ø¹é·½³Ì£¬Ê¹ÓÃDesign ExpertÈí¼þ£¬Çó½âCOD È¥³ýÂʵÄ×î´óÖµ£¬µÃµ½ÓÅ»¯Ìõ¼þ¼û±í4¡£
2£®4 Ñé֤ʵÑé
²ÉÓÃÓÅ»¯·½°¸£¬¶ÔÁ¶ÓÍ·ÏË®½øÐÐÉî¶È´¦Àí£¬½øÐÐÁË5 ×鯽ÐÐʵÑ飬¸÷¸öÖ¸±êȡƽ¾ùÖµ£¬²¢½«ÊµÑé½á¹ûÓë¡¶°²Çìʯ»¯»ØÓÃÓÚÑ»·ÀäÈ´Ë®²¹Ë®µÄË®Öʱê×¼¡·½øÐÐÁ˶Աȣ¬ÊµÑé½á¹û¼û±í5¡£
Óɱí5 ¿ÉÖª£¬¶ÔÁ¶ÓÍ·ÏË®½øÐÐÉî¶È´¦ÀíºóCODµÄÈ¥³ýÂÊΪ97£®88%£¬ÓëÔ¤²â½á¹û99£®49% ½Ó½ü£¬ËµÃ÷RSM ¶Ô¹â´ß»¯/³ôÑõÑõ»¯Éî¶È´¦ÀíÁ¶ÓÍ·ÏË®¹¤ÒÕ¹ý³ÌÓÅ»¯½á¹ûÊÇ¿ÉÐеġ£´¦ÀíºóË®ÖʳýÁ˸¯Ê´ËÙÂÊÍâ¾ù´ïµ½ÁË¡¶°²Çìʯ»¯»ØÓÃÓÚÑ»·ÀäÈ´Ë®²¹Ë®µÄË®Öʱê×¼¡·ÖÐÖ¸±êµÄÒªÇó¡£¶Ô¹â´ß»¯/³ôÑõÑõ»¯Éî¶È´¦ÀíºóµÄ95% ³öË®ºÍ5% ÐÂÏÊË®»ìºÏ£¬½øÐо²Ì¬×蹸ºÍÐýת¹ÒƬʵÑ飬½á¹ûÈçÏÂ: ×î´ó×蹸ÂÊΪ83£®1%£¬×îС×蹸ÂÊΪ70£®8%£¬Æ½¾ù×蹸ÂÊΪ76£®95%¡£×î´ó¸¯Ê´ËÙÂÊΪ0£®07 mm/a£¬×îС¸¯Ê´ËÙÂÊΪ0£®036 mm/a£¬Æ½¾ù¸¯Ê´ËÙÂÊΪ0£®053 mm/a¡£Ë®ÖÊ´ïµ½ÁË¡¶°²Çìʯ»¯»ØÓÃÓÚÑ»·ÀäÈ´Ë®²¹Ë®µÄË®Öʱê×¼¡·Öи¯Ê´ËÙÂʵÄÒªÇó¡£ËµÃ÷¸ÃˮԴÓÃÓÚʯ»¯»ØÓÃÑ»·ÀäÈ´Ë®²¹Ë®ÊÇ¿ÉÐе쬾ßÓÐÃ÷ÏԵľ¼ÃÐ§ÒæºÍ»·¾³Ð§Òæ¡£¡£
3 ½áÂÛ
(1)²ÉÓùâ´ß»¯/³ôÑõÑõ»¯Éî¶È´¦ÀíÁ¶ÓÍ·ÏË®£¬ÀûÓÃDesign Expert Èí¼þ½¨Á¢ÁË·´Ó¦µÄÊýѧģÐÍ£¬½øÐÐÁË·½²î·ÖÎö£¬ÆäÖÐÊýѧģÐ͵ÄF £¼ 0£®0001£¬R2 ºÍR2adj·Ö±ðΪ0£®9537 ºÍ0£®9150 Ä£ÐÍÊÇÏÔÖøµÄ£¬»Ø¹é·½³Ì¿ÉÒԺܺõØÄ£ÄâÕæÊµµÄ·´Ó¦ÇúÃæ¡£½¨Á¢µÄÏìÓ¦ÃæÄ£ÐÍÓ°ÏìÒòËØ¼°Ó°ÏìÒòËØµÄÏÔÖøÐÔ˳ÐòΪ: ·´Ó¦Ê±¼ä£¾´ß»¯¼ÁͶ¼ÓÁ¿£¾³õʼpH £¾³ôÑõͨÁ¿¡£
(2)²ÉÓÃÏìÓ¦Ãæ·½·¨(RSM)¶Ô·´Ó¦¹¤ÒÕ½øÐÐÓÅ»¯£¬µÃµ½¹â´ß»¯/³ôÑõÑõ»¯Éî¶È´¦ÀíÁ¶ÓÍ·ÏË®µÄ×îÓÅÌõ¼þ: ³ôÑõͨÁ¿1£®05 L/min£¬¹â´ß»¯¼ÁͶ¼ÓÁ¿0£®33 g/L£¬³õʼpH 7£®51 ºÍ·´Ó¦Ê±¼ä96£®95 min¡£
(3)»æÖÆÁËÒòËØ¼äµÄÈýάÇúÃæÍ¼ºÍµÈ¸ßÏßͼ£¬´æÔÚͬʱ½øÐеĹâ´ß»¯ºÍ³ôÑõ´ß»¯Ñõ»¯µ¥Ôª£¬·´Ó¦µ¥ÔªµÄÖ÷µ¼µØÎ»ÓÉTiO2/AC ¹â´ß»¯¼ÁµÄͶ¼ÓÁ¿¾ö¶¨¡£
(4)ÔÚ×îÓÅÌõ¼þ϶ÔÁ¶ÓÍ·ÏË®½øÐÐÁËÉî¶È´¦Àí£¬COD µÄÈ¥³ýÂÊΪ97£®88%£¬ÓëÔ¤²âÖµ½Ó½ü£¬95%³öË®ºÍ5%ÐÂÏÊË®»ìºÏºó£¬ÓÃÓÚʯ»¯»ØÓÃÑ»·ÀäÈ´Ë®²¹Ë®ÊÇ¿ÉÐе쬾ßÓо¼ÃºÍ»·¾³Ð§Ò棬ͬʱΪºóÐøÖÐÊÔʵÑéÌṩÁ˲ο¼¡£














