¡¡¡¡1 ÒýÑÔ
¡¡¡¡ÔÚ´«Í³ÉúÎïÍѵª³ýÁ×¹¤ÒÕÖУ¬µªµÄÈ¥³ýÖ÷ÒªÊÇͨ¹ýºÃÑõÏõ»¯ºÍȱÑõ·´Ïõ»¯Á½¸ö¶ÀÁ¢µÄ¹ý³ÌÀ´ÊµÏÖ£¬Á×ÔòÊÇͨ¹ýÑáÑõÊÍÁ׺ͺÃÑõÎüÁ×Á½²½Íê³É.Òò´Ë£¬Í¬²½Íѵª³ýÁ×ÐèÒªÏõ»¯¾ú¡¢·´Ïõ»¯¾úºÍ¾ÛÁ×¾ú(PAOs)ͬʱ²ÎÓë.ÓÉÓÚ·´Ïõ»¯¹ý³ÌºÍÊÍÁ×¹ý³Ì¶¼ÐèÒªÓлúÎïÌṩ̼Դ£¬·´Ïõ»¯Ï¸¾úºÍPAOsÖ®¼ä´æÔÚ¾ºÕù£¬ËùÒÔµ±ÎÛË®ÖÐ̼Դ²»×ãʱ£¬ÏµÍ³¶Ôµª¡¢Á×µÄÈ¥³ýЧ¹û½«Êܵ½Ó°Ïì.
¡¡¡¡·´Ïõ»¯³ýÁ×¾ú(DNPAOs)¿ÉÒÔÀûÓÃͬһ̼Դ´¦ÀíÏõËáÑÎ/ÑÇÏõËáÑκÍÁ×£¬´Ó¶ø±ÜÃâÁ˶ÔÓлú̼ԴµÄ¾ºÕù.DNPAOsÄÜÔÚÑáÑõÌõ¼þϽ«ÓлúÎïת»¯ÎªPHA´æ´¢ÔÚϸ°ûÄÚ£¬¶øÇÒÄÜÀûÓÃÏõËáÑλòÑÇÏõËáÑÎ×÷Ϊµç×ÓÊÜÌå½øÐкÃÑõÎüÁ×.DNPAOs²úÄÜЧÂʽϵͣ¬ÎÛÄà²úÁ¿¿ÉÒÔ½µµÍ20%¡«30%.Òò´Ë£¬DNPAOsÔÚͬ²½ÉúÎïÍѵª³ýÁ×ÖоßÓнϴóÓÅÊÆ.¿ÅÁ£ÎÛÄà¾ßÓнṹÖÂÃÜ¡¢³Á½µÐÔÄܺá¢ÉúÎïÃܶȴó¡¢Î¢ÉúÎïÖÖÀà¶à¡¢ÎÛÄà»îÐԸߡ¢¿¹³å»÷ÄÜÁ¦Ç¿µÈÓŵã.Ñо¿±íÃ÷£¬¿ÅÁ£ÎÛÄàÄÚ²¿ÓÉÓÚÑõÆøÉøÍ¸Éî¶ÈÓÐÏÞ¿ÉÒÔͬʱ´æÔÚºÃÑõ/ȱÑõ/ÑáÑõ»·¾³£¬ÓÐÀûÓÚͬ²½Íѵª³ýÁ×.ÔÚSBR·´Ó¦Æ÷ÖУ¬Í¨¹ý½Á°è¡¢ÆØÆøµÈÑ¡ÔñѹÄܹ»µÃµ½·´Ïõ»¯³ýÁ׿ÅÁ£ÎÛÄ࣬ÕâÖÖ¿ÅÁ£ÎÛÄà¼æ¾ß·´Ïõ»¯³ýÁ×¼¼ÊõºÍ¿ÅÁ£ÎÛÄàµÄÓÅÊÆ.
¡¡¡¡·´Ïõ»¯³ýÁ׿ÅÁ£ÎÛÄ༼Êõ×÷ΪһÖÖÐÂÐ͵ÄÎÛË®´¦Àí¼¼Êõ£¬Ä¿Ç°Éд¦ÓÚʵÑéÊÒСÊԽ׶Σ¬ÉÐδµÃµ½¹ã·ºÓ¦Ó㬹ØÓÚ¿ÅÁ£»¯¹ý³ÌµÄ±¨µÀ¼°¿ÅÁ£ÎÛÄàÌØÐԵȵÄÎÄÕÂÒ²²»¶à¼û.Ϊ´ËÎÒÃǽøÐб¾ÊÔÑéµÄ̽¾¿£¬ÄâΪ·´Ïõ»¯³ýÁ׿ÅÁ£ÎÛÄàµÄ¿ÅÁ£»¯¹ý³Ì¼°ÆäÌØÐÔÌṩһ¶¨µÄʵ¼ù²Î¿¼ºÍÀíÂÛÒÀ¾Ý.ÊÔÑé²ÉÓÃÈýÌ×ÍêÈ«ÏàͬµÄSBR·´Ó¦Æ÷R1¡¢R2ºÍR3£¬ÒÔA/O/AÔËÐÐģʽ£¬½ÓÖÖÆÕͨÐõ×´ÎÛÄ࣬·Ö±ðÒÔÆÕͨÈ˹¤ÅäË®¡¢¼ÓCa2+È˹¤ÅäË®ºÍʵ¼ÊÉú»îÎÛˮΪ½øË®Ë®Ô´£¬½øÐз´Ïõ»¯³ýÁ׿ÅÁ£ÎÛÄàµÄÅàÑø£¬²¢Ñо¿·´Ïõ»¯³ýÁ׿ÅÁ£ÎÛÄàµÄÏà¹ØÌØÐÔ¼°Æä³ýÎÛÐÔÄÜ.
¡¡¡¡2 ²ÄÁÏÓë·½·¨
¡¡¡¡2.1 ÊÔÑé×°ÖÃ
¡¡¡¡±¾ÊÔÑé²ÉÓõÄ3Ì×SBR·´Ó¦Æ÷R1¡¢R2¡¢R3ÐÎ̬½á¹¹ÍêÈ«Ïàͬ£¬ÊÔÑé×°ÖÃÈçͼ 1Ëùʾ.·´Ó¦Æ÷ÓÉÓлú²£Á§¼Ó¹¤ÖƳɣ¬ÄÚ¾¶120 mm£¬Íâ¾¶220 mm£¬¸ß800 mm£¬¸ß¾¶±ÈH/DΪ6.7£¬ÓÐЧÈÝ»ý7 L.SBR·´Ó¦Æ÷µÄÔËÐвÉÓÃʱ¼ä³ÌÐò¿ØÖÆÆ÷½øÐÐ×Ô¶¯¿ØÖÆ£¬·´Ó¦Æ÷È«³Ì²»¿ØÎ£¬¾ùÔÚÊÒÎÂ(23¡«28 ¡æ)Ìõ¼þÏÂÔËÐÐ.È˹¤ÅäË®ºÍʵ¼ÊÉú»îÎÛË®ÓɼÆÁ¿±Ã´Ó·´Ó¦Æ÷Éϲ¿ÒýÈ룬ÑáÑõºÍȱÑõ¹ý³ÌÓɽÁ°èÒÇʵÏÖ£¬×ªËÙΪ300 r ¡¤ min-1£¬ºÃÑõ¹ý³ÌÀûÓÃÆø±Ã´Óµ×²¿ÆØÆøÊµÏÖ.ÊÔÑéËùÓÃÎÛÄàÈ¡×ÔÎ人ÊÐɳºþÎÛË®´¦Àí³§¶þ³Á³Ø£¬¾³õ²½´¦ÀíºóͶ¼Óµ½·´Ó¦Æ÷ÖУ¬³õʼÎÛÄàŨ¶ÈԼΪ5000 mg ¡¤ L-1.
ͼ1 SBR·´Ó¦Æ÷ʾÒâͼ
¡¡¡¡2.2 ϵͳÔËÐÐģʽ
¡¡¡¡3Ì×·´Ó¦Æ÷¾ù²ÉÓÃA/O/Aģʽ£¬·´Ó¦ÖÜÆÚΪ8 h£¬Ã¿ÈÕÔËÐÐ3¸öÖÜÆÚ£¬Ã¿ÖÜÆÚÅÅË®±ÈΪ50%.ºÃÑõ¶ÎDOÖµ¿ØÖÆÔÚ5.0 mg ¡¤ L-1×óÓÒ£¬È±Ñõ¶ÎµÍÓÚ0.50 mg ¡¤ L-1£¬ÑáÑõ¶ÎµÍÓÚ0.25 mg ¡¤ L-1.¾ßÌåÔËÐÐģʽÈç±í 1Ëùʾ.
±í1 A/O/Aģʽ²»Í¬½×¶ÎÔËÐÐʱ¼ä
¡¡¡¡2.3 ÊÔÑéÓÃË®ÓëË®ÖÊ
¡¡¡¡±¾ÊµÑé½øÐÐÈ˹¤ÅäË®ºÍʵ¼ÊÉú»îÎÛË®µÄ¶Ô±È·ÖÎö£¬ÆäÖУ¬R1²ÉÓÃÈ˹¤ÅäË®£¬R2²ÉÓüÓ10 mg ¡¤ L-1 Ca2+È˹¤ÅäË®(Ca2+ÓÉCaCl2Ìṩ)£¬R3²ÉÓÃÈ¡×ÔÎ人´óѧ²è¸ÛÐ¡ÇøµÄʵ¼ÊÉú»îÎÛË®.ÎÛˮˮÖÊÈç±í 2Ëùʾ.ͬʱÈ˹¤ÅäË®ÖмÓÈë΢ÉúÎïÉúÃü»î¶¯ËùÐèµÄ¸÷ÖÖ΢Á¿ÔªËØ£¬Î¢Á¿ÔªËØ×é³ÉÈç±í 3Ëùʾ.
±í2 È˹¤ÅäË®ºÍʵ¼ÊÉú»îÎÛˮˮÖÊ
±í3 ΢Á¿ÔªËØÒº³É·Ö
¡¡¡¡2.4 ·ÖÎö·½·¨
¡¡¡¡²ÉÓùú¼Ò±ê×¼·½·¨²â¶¨COD¡¢NH4+-N¡¢NO3--N¡¢NO2--N¡¢TNºÍTP£¬²ÉÓÃpHS-25ÐÍËá¶È¼Æ²âÁ¿pHÖµ£¬²ÉÓÃYSI5000ÐÍÈܽâÑõ²â¶¨ÒDzⶨDO.¿ÅÁ£ÎÛÄàÍâ¹ÛÐÎ̬¼°ÉúÎïÏà²ÉÓõç×ÓÏÔ΢¾µ½øÐй۲죬º¬Ë®ÂʺͱÈÖØµÄ²â¶¨²ÉÓÃÖØÁ¿·¨£¬±ÈºÄÑõËÙÂʵIJⶨ²ÉÓÃÎÛÄàºôÎü²âÁ¿·¨.
¡¡¡¡3 ½á¹ûÓë·ÖÎö
¡¡¡¡3.1 ¿ÅÁ£ÎÛÄàÅàÑø¼°ÌØÕ÷
¡¡¡¡½ÓÖÖÎÛÄàΪdz»ÆºÖÉ«Ðõ×´£¬ÎÞÃ÷ÏÔ˿״¾ú£¬»îÐԽϵÍ.ÔÚSBRÖв»Í¬½øË®ÅàÑø¹ý³ÌÖУ¬Ðõ×´ÎÛÄàÓÉϸСµÄ²»¹æÔò¿ÅÁ£±ä³É¸öÌå½Ï´ó½Ï±¥ÂúµÄ¿ÅÁ££¬×îÖÕ³¤³ÉÐÎ×´³ÊÇòÐλòÍÖÇòÐΣ¬ÑÕɫΪ»ÆºÖÉ«»òºÚºÖÉ«£¬½á¹¹ÖÂÃÜ£¬±ßÔµ½ÏÇåÎúµÄ¿ÅÁ£ÎÛÄà.Ñо¿·¢ÏÖ£¬·´Ïõ»¯³ýÁ׿ÅÁ£ÎÛÄàÑÕÉ«½ÏÉÔÒòÊÇȱÑõ¶Î¿ÅÁ£ÎÛÄàÄÚ²¿pH½ÏµÍ£¬Ê¹²¿·Ö½ðÊôÑγÁ»ý.
¡¡¡¡R1¡«R3ÖпÅÁ£ÎÛÄàÌØÐÔÈç±í 4Ëùʾ.´Ó±í 4¿ÉÖª£¬R1¡«R3¼äÏà±È£¬R1¡¢R2½ÏR3ÖпÅÁ£ÎÛÄàÆ½¾ùÁ£¾¶ºÍ±ÈÖØÆ«¸ß£¬º¬Ë®ÂʺͱȺÄÑõËÙÂÊÆ«µÍ.˵Ã÷R1ºÍR2ÖпÅÁ£ÎÛÄà¿×϶ÂʽÏС£¬ÉúÎïÃܶȽϴ󣬵«Î¢ÉúÎï»îÐÔ½ÏR3µÍ.Ôì³ÉÕâÐ©Çø±ðµÄÖ÷ÒªÔÒòÓжþ£ºÒ»ÊÇR1ºÍR2ÖÐÎÛË®¸ººÉ½ÏR3ÖÐÆ«¸ß£¬¶þÊÇR3ÖÐÉú»îÎÛË®³É·Ö½ÏR1ºÍR2ÖÐÅäË®¸üΪ¸´ÔÓ.Óë»îÐÔÎÛÄàÏà±È£¬R1¡«R3ÖпÅÁ£ÎÛÄàÁ£¾¶ºÍ±ÈÖØÃ÷ÏÔÔö¼Ó£¬º¬Ë®ÂÊÃ÷ÏÔ½µµÍ£¬±ÈºÄÑõËÙÂÊÒ²ÓкܴóÌá¸ß;ÓëÒÑÓеĹØÓÚ·´Ïõ»¯³ýÁ׿ÅÁ£ÎÛÄ౨µÀÏà±È£¬Á£¾¶¡¢º¬Ë®ÂʺͱÈÖØ´¦ÓÚÖеÈË®Æ½Çø¼ä£¬µ«±ÈºÄÑõËÙÂÊÆ«Ð¡£¬·ÖÎöÖ÷ÒªÊÇCOD¸ººÉ¹ýµÍËùÖÂ.
±í4 ¿ÅÁ£ÎÛÄàÌØÐÔ¶Ô±È
¡¡¡¡3.2 Æô¶¯ÆÚ³ýÎÛÐÔÄÜ
¡¡¡¡3.2.1 CODÈ¥³ý
¡¡¡¡Æô¶¯ÆÚR1¡«R3ÖÐCODÈ¥³ýÇé¿öÈçͼ 2Ëùʾ.ÓÉͼ 2¿ÉÒÔ¿´³ö£¬R1¡¢R2ÖÐCODÈ¥³ýÂʾù½Ï¸ß£¬µ«R2ƽ¾ù³öË®COD½ÏR1µÍ£¬ÔÒò¿ÉÄÜÊÇCa2+ÓÐÖúÓÚ¿ÅÁ£ÎÛÄàµÄÐγɣ¬R2Öз´Ïõ»¯³ýÁ׿ÅÁ£ÎÛÄà³É³¤ËٶȽϿì.R3³õÆÚ¶ÔCODÓÐÒ»¶¨µÄÈ¥³ýÄÜÁ¦£¬µ«µ±½øË®Å¨¶È±ä»¯Ê±£¬ÕâÖÖÄÜÁ¦²»Îȶ¨£¬ËµÃ÷¿¹³å»÷¸ººÉÄÜÁ¦²»Ç¿;ºóÆÚ£¬R3ϵͳµÄ´¦ÀíÄÜÁ¦Öð½¥ÔöÇ¿²¢Îȶ¨£¬²»Ëæ½øË®Å¨¶ÈµÄ±ä»¯³öÏÖ´óµÄ²¨¶¯£¬´ËʱϵͳÄÚ¿ÅÁ£ÎÛÄàÒѾÖð½¥³ÉÊìÆðÀ´£¬¾ßÓнÏÇ¿µÄÈ¥ÎÛÄÜÁ¦ºÍ¿¹³å»÷¸ººÉÄÜÁ¦.R3ƽ¾ùÈ¥³ýÂʵÍÓÚR1¡¢R2£¬Ö÷ÒªÊÇÒòΪR3³õÆÚ½øË®COD±ä»¯Ì«´ó£¬¿¹³å»÷¸ººÉÄÜÁ¦Èõ£¬Í¬Ê±Ë®Öк¬Óн϶àµÄ¶èÐÔÓлúÖÊÄѱ»Î¢ÉúÎïÀûÓÃ;ºóÆÚÈ¥³ýÂÊÎȶ¨ÔÚ90%×óÓÒ£¬ËµÃ÷R3¾ß±¸ÁËÎȶ¨¸ßЧµÄ´¦ÀíÄÜÁ¦£¬Í¬Ê±¾ßÓнÏÇ¿µÄ¿¹³å»÷¸ººÉÄÜÁ¦.
ͼ2 R1¡«R3ÖÐCODÈ¥³ýÇé¿ö
¡¡¡¡Óɴ˿ɼû£¬·´Ïõ»¯³ýÁ׿ÅÁ£ÎÛÄàÆô¶¯½×¶Î¶ÔCODµÄÈ¥³ýÊǺܸßЧµÄ£¬ÕâÖ÷ÒªÊÇÒòΪÉúÎï³ýÁ×¹ý³ÌÊÇÒ»¸öÐèÄÜ·´Ó¦¹ý³Ì£¬±ØÐ빩¸ø×ã¹»µÄÄÜÁ¿²ÅÄܺϳÉPHAs¹©Î¢ÉúÎïʹÓÃ.±¾ÎĽá¹ûÓëÒÔÍùÊÔÑé½á¹ûÒ»ÖÂ.
¡¡¡¡3.2.2 µªµÄÈ¥³ý
¡¡¡¡Í¼ 3ΪR1¡¢R2ºÍR3¶ÔNH4+-NµÄÈ¥³ýÇé¿ö.´Óͼ 3ÖпÉÒÔ¿´³ö£¬R1ºÍR2¶ÔNH4+-NµÄÈ¥³ýÇé¿ö³ÊÏÖÓëCODÀàËÆµÄ¹æÂÉ£¬¼´R2µÄ´¦ÀíÄÜÁ¦ºÍ´¦ÀíЧ¹û½ÏR1Ç¿ÇÒÎȶ¨.ºóÆÚϵͳ¶ÔNH4+-NµÄÈ¥³ýÂʶ¼Îȶ¨ÔÚ95%ÒÔÉÏ.R3ǰÆÚ¶ÔNH4+-NµÄ´¦ÀíÄÜÁ¦±È½ÏÇ¿£¬ÕâÊÇÒòΪϵͳÖб¾À´¾Í´æÔÚÒ»¶¨ÊýÁ¿µÄÏõ»¯Ï¸¾ú.µ±½øË®NH4+-NŨ¶È´Ó18.44 mg ¡¤ L-1ÖèÉýµ½111.98 mg ¡¤ L-1ʱ£¬ÏµÍ³³öË®NH4+-NŨ¶ÈÒ²ËæÖ®Éý¸ß£¬È¥³ýÂÊϽµ£¬ÕâÖ÷ÒªÊÇÓÉÓÚϵͳÏõ»¯¾úÊýÁ¿ÓÐÏÞ£¬Î´ÍêÈ«½øÐÐÏõ»¯·´Ó¦;µ«ÏµÍ³¿¹³å»÷¸ººÉÄÜÁ¦ºÜÇ¿£¬Ñ¸ËÙ»Ö¸´Á˸ßЧȥ³ýNH4+-NÄÜÁ¦£¬È¥³ýÂÊÉÏÉý²¢Îȶ¨ÔÚ90%ÒÔÉÏ.
ͼ3 R1¡«R3ÖÐNH4+È¥³ýÇé¿ö
¡¡¡¡¸ù¾ÝKishidaµÈµÄÑо¿·¢ÏÖ£¬·´Ïõ»¯³ýÁ׿ÅÁ£ÎÛÄàÆô¶¯¹ý³ÌÖÐÏõµªµÄÈ¥³ýÂÊÒ»°ã½Ï¸ß£¬»ù±¾¿É´ï95%ÒÔÉÏ£¬¶øÆÕͨSBR¹¤ÒÕÈ¥³ýÂÊÒ»°ãΪ90%×óÓÒ.Õâ˵Ã÷·´Ïõ»¯³ýÁ׿ÅÁ£ÎÛÄ๤ÒÕ¾ßÓÐÁ¼ºÃµÄͬ²½Íѵª³ýÁ×Ч¹û£¬Ö÷ÒªÔÒòÊÇÔÚ¿ÅÁ£ÎÛÄàÄÚ²¿´æÔÚÒ»¸ö¡°È±ÑõÇø¡±£¬ÔÚ´ËÇøÓòÄÚÄܽøÐкÃÑõÌõ¼þϵķ´Ïõ»¯×÷Óã¬Ôö¼ÓÁ˰±µªµÄÈ¥³ýЧ¹û.
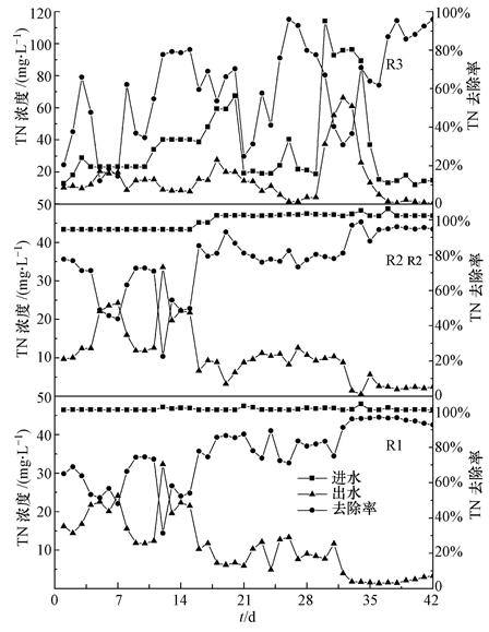
¡¡¡¡Í¼ 4ΪR1¡¢R2¡¢R3¶ÔTNµÄÈ¥³ýÇé¿ö.´Óͼ 4¿ÉÒÔ¿´³ö£¬R1ºÍR2ÖÐǰÆÚTNÈ¥³ýЧ¹û²¨¶¯½Ï´ó£¬ºóÆÚÇ÷ÓÚÆ½ÎÈ£¬Ö÷ÒªÊÇÒòÎªËæ×ÅϵͳÄÚÐõ×´ÎÛÄàÖð½¥×ª»¯Îª¿ÅÁ£ÎÛÄ࣬DNPAOsµÃµ½ÓÐЧ¸»¼¯£¬Ìá¸ßÁË·´Ïõ»¯ÄÜÁ¦£¬Ê¹ÏõËᵪºÍÑÇÏõËᵪ³¹µ×·´Ïõ»¯È¥³ý.ÓëR1ºÍR2Ïà±È£¬R3¶ÔTNµÄÈ¥³ýЧ¹û²¨¶¯½Ï´ó£¬²¢³ÊÏÖ³öÓëNH4+-NÈ¥³ýЧ¹ûÀàËÆµÄÇ÷ÊÆ.´Óͼ 4Öл¹¿ÉÒÔ¿´³ö£¬ÔÚÔËÐеÚ30 dʱ£¬½øË®TNŨ¶ÈÖèÉýÖÁ114.16 mg ¡¤ L-1£¬TNÈ¥³ýЧ¹ûϽµ£¬µ«¾¹ý4 dµÄ¶ÌʱÔËÐкó£¬ÏµÍ³¶ÔTNµÄÈ¥´¦Ð§¹ûÓÖ»Ö¸´ÁËÎȶ¨£¬ËµÃ÷R3ϵͳÒѾ¾ß±¸Á˺ÜÇ¿µÄ¿¹³å»÷¸ººÉÄÜÁ¦.
ͼ4 ϵͳ¶ÔTNµÄÈ¥³ýÇé¿ö
¡¡¡¡×ÛºÏÀ´¿´£¬R3ϵͳ¶Ô°±µªµÄÈ¥³ýЧ¹ûÓë¶Ô×ܵªµÄÈ¥³ýЧ¹û²¢²»Í¬²½£¬ÔÚ¶Ô°±µªÈ¥³ýЧ¹ûÁ¼ºÃµÄ»ù´¡ÉÏ£¬ÏµÍ³Ö»ÓоßÓÐÁ¼ºÃµÄ·´Ïõ»¯ÄÜÁ¦£¬²Å¿ÉÒÔʵÏÖ¸ßЧÉúÎïÍѵª.
¡¡¡¡3.2.3 Á×µÄÈ¥³ý
¡¡¡¡R1¡¢R2ºÍR3ϵͳ¶ÔTPµÄÈ¥³ýÇé¿öÈçͼ 5Ëùʾ.´Óͼ 5Öпɼû£¬R1¡¢R2ϵͳǰÆÚµÄ³ýÁ×ÄÜÁ¦½Ï²î£¬³öˮŨ¶È½Ï¸ß;ÖкóÆÚR1ºÍR2ϵͳ³ýÁ×ÄÜÁ¦Öð½¥Ìá¸ß²¢±£³ÖÎȶ¨£¬×îÖÕTPÈ¥³ýÂʾù¿É±£³ÖÔÚ90%×óÓÒ;²¢ÇÒÔËÐÐǰÆÚR1¶ÔTPÈ¥³ýÄÜÁ¦½ÏR2ÉÔÇ¿£¬ºóÆÚÈ´ÉÔÈõÓÚR2.·ÖÎöÔÒò¿ÉÄÜÊÇÔËÐÐǰÆÚÁ½ÏµÍ³ÖÐͶÄàÁ¿ÉÔÓвîÒ죬R1ÎÛÄàŨ¶ÈÉÔ¸ßÓÚR2;ÔËÐкóÆÚR2Öз´Ïõ»¯³ýÁ׿ÅÁ£ÎÛÄàÉú³¤ËÙ¶È¿ìÓÚR1£¬ÖÂʹR2ÖÐDNPAOsÖð½¥³ÊÏÖÓÅÊÆ.R3ǰÆÚ³ýÁ×Ч¹û½Ï²î£¬Ö÷ÒªÊÇÒòΪϵͳÖÐDNPAOsŨ¶È½ÏµÍ£¬½øË®COD¸ººÉ²»×ã;ºóÆÚϵͳ³ýÁ×Ч¹ûÖð²½Ìá¸ß²¢Ç÷ÓÚÎȶ¨£¬×îÖÕTP³öˮŨ¶ÈÎȶ¨ÔÚ1 mg ¡¤ L-1ÒÔÏ£¬È¥³ýÂʸßÓÚ90%.ÓëR1¡¢R2Ïà±È£¬R3³öˮƽ¾ùTPŨ¶È¸üµÍ£¬ÒòΪR3½øË®Æ½¾ùTPŨ¶ÈÔ¶µÍÓÚR1¡¢R2;R3ƽ¾ùÈ¥³ýÂʵÍÓÚR1¡¢R2ϵͳ£¬ÕâÊÇÓÉÓÚR3²ÉÓõÄÉú»îÎÛË®ÖÐÓлúÎïŨ¶È½ÏµÍ£¬¿É¹©DNPAOsÎüÊÕÀûÓõĶÌÁ´Ö¬·¾Ëá½ÏÉÙ£¬²»ÀûÓÚDNPAOsµÄÔö³¤·±Ö³£¬ÏµÍ³³ýÁ×ЧÂʵÄÌá¸ß½ÏÈ˹¤Åäˮϵͳ»ºÂý.
ͼ5 ϵͳ¶ÔTPµÄÈ¥³ýÇé¿ö
¡¡¡¡×ÜÌåÀ´¿´£¬ÓëÆÕͨSBR¹¤ÒÕ¼°¿ÅÁ£ÎÛÄ๤ÒÕÏà±È£¬·´Ïõ»¯³ýÁ׿ÅÁ£ÎÛÄ๤ÒÕ¶ÔTPµÄÈ¥³ýÊǺܸßЧµÄ.ÕâÖ÷ÒªÊÇÓÉÓÚÑõÆøÉøÍ¸Éî¶ÈµÄÏÞÖÆÔÚ¿ÅÁ£ÎÛÄàÄÚ²¿ÐγÉÁ˺ÃÑõ״̬ϵġ°ºÃÑõ-ȱÑõ-ÑáÑõ¡±·ÖÇø£¬´Ù½øÁËͬ²½·´Ïõ»¯³ýÁ×ЧÄÜ.
¡¡¡¡ÔÚϵͳÔËÐеĵÚ22 d£¬¹©µçϵͳ¶Ïµç¹ÊÕÏ£¬µ¼ÖÂR1¡«R3ÖÐÈ¥³ýÇé¿ö²¨¶¯.µ±ÏµÍ³¹©µç»Ö¸´ºó£¬R1¡«R3Ò²µÃÒÔ»Ö¸´Õý³£.×ۺϿ´À´£¬R1¡¢R2ºÍR3ϵͳ³öË®COD¡¢NH4+-N¡¢TN¾ù´ïµ½Ò»¼¶AÅŷűê×¼£¬³öË®TP´ïµ½Ò»¼¶B±ê×¼£¬³öË®TP¶àά³ÖÔÚ0.02¡«0.70 mg ¡¤ L-1·¶Î§ÄÚ.
¡¡¡¡3.3 µäÐÍÖÜÆÚ³ýÎÛÐÔÄÜ
¡¡¡¡·´Ïõ»¯³ýÁ׿ÅÁ£ÎÛÄàϵͳÎȶ¨ºó¶ÔCOD¡¢NH4+-N¡¢TNºÍTPµÄÈ¥³ýЧ¹û½ÏÅàÑø½×¶ÎÓÐËùÌá¸ß£¬Í¼ 6ΪһµäÐÍÖÜÆÚÄÚR1¡¢R2ºÍR3ÖÐÎÛȾÎïŨ¶È±ä»¯Çé¿ö.´Óͼ 6Öпɼû£¬Èýϵͳ¶ÔCOD¡¢NH4+-N¡¢TNºÍTPµÄÈ¥³ýÂʶ¼ÔÚ90%×óÓÒ£¬ÏµÍ³¶ÔÎÛȾÎïµÄÈ¥³ýÎȶ¨ÇÒ¸ßЧ.´Óͼ 6¿ÉÒÔ¿´³ö£¬Ò»¸öÖÜÆÚÄÚR1¡«R3ÖÐNH4+-N·Ö±ð¼õÉÙÁË143.66¡¢160.91¡¢41.87 g£¬¶ÔÓ¦µÄNO3--NÔö¼ÓÁ¿Ôò½öΪ75.85¡¢84.04¡¢15.01 g.Òò´Ë£¬¸ù¾ÝµÄ»¯Ñ§¼ÆÁ¿·½³Ì¼ÆËã³öͨ¹ýºÃÑõ·´Ïõ»¯È¥³ýµÄNO3--NÁ¿·Ö±ðΪ64.85¡¢73.56¡¢26.00 g.
ͼ6 µäÐÍÖÜÆÚÓªÑøÎï±ä»¯Çé¿ö
¡¡¡¡¸ù¾ÝºÍ)µÄ±¨µÀ£¬DNPAOsµÄ·´Ïõ»¯ÎüÁ×ÂÊ·Ö±ðΪ2.10¡¢1.97 g ¡¤ g-1(ÒÔÿ¿ËNO3--NÎüÊÕµÄPÁ¿(g)¼Æ)£¬±¾ÊµÑéÖоùֵΪ2.0 g ¡¤ g-1.·´Ïõ»¯³ýÁ×·ÖÎö¼°¶Ô±ÈÈç±í 5Ëùʾ.Óɱí 5¿ÉÖª£¬R1¡¢R2ÖоDNPAOsÈ¥³ýµÄÁ׺¬Á¿±ÈÀý·Ö±ðΪ42.01%¡¢60.95%£¬Ó뱨µÀµÄ50%½Ï½Ó½ü;Óë»îÐÔÎÛÄàºÍÒÑÓеķ´Ïõ»¯³ýÁ׿ÅÁ£ÎÛÄ౨µÀÊý¾ÝÏà±È£¬±¾ÊµÑéÖÐR1¡«R3µÄ×î´ó±ÈÊÍÁ×ËÙÂÊ(SPRR)ƫС£¬¶ø×î´ó±ÈÎüÁ×ËÙÂÊ(SPUR)ÔòÆ«´ó£¬Ö÷ÒªÊÇÓÉÓÚ¿ÅÁ£ÎÛÄàÄÚ²¿´æÔÚÀ©É¢×èÁ¦£¬Í¬Ê±ÔÚºÃÑõ¶ÎÖпÅÁ£ÎÛÄàÄÚ²¿PAOsÓÉÓÚÑõÆø²»×ãÎÞ·¨Õý³£·¢»Ó×÷ÓÃÎüÁ×£¬¶øDNPAOsÑáÑõ±ÈÎüÁ×ËÙÂʽϺÃÑõʱ.
¡¡¡¡ÐèÒªÌØ±ðÌá³öµÄÊÇ£¬ÒÑÓб¨µÀÖÐÌá³öµÄDNPAOsÈ¥³ýµÄÁ׺¬Á¿±ÈÀý(1.97¡¢2.10 g ¡¤ g-1)¾ù²»ÊÊÓÃÓÚR3ϵͳ£¬ÒÑÓÐÊýֵƫ´ó£¬¾ßÌåϵÊýÓдý½øÒ»²½Ñо¿.·ÖÎöÔÒòÊÇÒòΪÉÏÊöϵÊý¶¼ÊÇÔÚÈ˹¤ÅäË®Ìõ¼þϵõ½µÄ£¬¶øÉú»îÎÛˮϵͳ×é·Ö¸´ÔÓ£¬Ó°ÏìÒòËØ¸ü¶à.
±í5 ·´Ïõ»¯³ýÁ×·ÖÎö¼°¶Ô±È
¡¡¡¡4 ¿ÅÁ£»¯»úÖÆÌ½Îö
¡¡¡¡ÔÚºÃÑõ¿ÅÁ£ÎÛÄàµÄÐγɹý³ÌÖУ¬Ñ¡Ôñѹ¼Ù˵ÊÇ×îÊÜÈϿɵģ¬Ñ¡Ôñѹ¿ÉÒÔ·ÖΪˮÁ¦Ñ¡ÔñѹºÍÉúÎïÑ¡Ôñѹ.ͨ¹ý¿ØÖÆ·´Ó¦Æ÷µÄ½á¹¹ÌØÐÔ(Ö÷ÒªÊÇH/D)ºÍË®Á¦Ìõ¼þµÈ½«ÐÔÄܲîµÄÎÛÄàÌÔÌ£¬Í¬Ê±Í¨¹ý¸Ä±ä»ìºÏÒºÖÐÓлú¸ººÉÑ¡ÔñÊÊÒ˵Ä΢ÉúÎïÖÖÀàºÍÊýÁ¿.±¾ÊÔÑéͨ¹ýÖð²½½µµÍ³Á½µÊ±¼ä¡¢ÆØÆøÌṩˮÁ¦¼ôÇÐÁ¦¡¢A/O/A½»ÌæÔËÐеÈË®Á¦Ñ¡ÔñѹÀ´´Ù½ø·´Ïõ»¯³ýÁ׿ÅÁ£ÎÛÄàµÄÐγÉ;ͨ¹ýÖð²½Ëõ¶ÌºÃÑõ¶ÎÔËÐÐʱ¼ä£¬ÑÓ³¤È±Ñõ¶ÎÔËÐÐʱ¼äÀ´Ç¿»¯·´Ïõ»¯³ýÁ×ÄÜÁ¦.¾ßÌå±íÏÖΪ£º¢ÙÖð²½Ëõ¶Ì·´Ó¦Æ÷³Á½µÊ±¼ä(ÓÉÆðʼµÄ20 minÖð²½½µµÍÖÁ2 min)£¬Ôڴ˹ý³ÌÖÐÅųö³Á½µÐÔÄܲîµÄÎÛÄ࣬¸»¼¯³Á½µÐÔÄÜÓÅÁ¼µÄ¾ú½ºÍÅ.¢Úͨ¹ýÆØÆøÎª·´Ó¦Æ÷ÌṩÁ¬Ðø¡¢¾ùÔÈË®Á¦¼ôÇÐÁ¦£¬Í¬Ê±Ìṩ³ä·Ö»ìºÏµÄºÃÑõÌõ¼þ(ºÃÑõ¶ÎDOÖµÔ¼5 mg ¡¤ L-1)£¬ÒÔ´Ù½øÏ¸°ûÖ®¼äµÄ×ÔÄý¾Û.¢ÛA/O/A½»ÌæÔËÐÐģʽΪ¾ßÓз´Ïõ»¯³ýÁ×¹¦ÄܵÄϸ¾úÌṩÀíÏëµÄÉú³¤»·¾³£¬Ê¹ÆäÔÚͬ˿״ϸ¾úµÄ¾ºÕùÖд¦ÓÚÓÅÊÆµØÎ»£¬Ìṩ½Ï´óµÄ´«Öʶ¯Á¦.
¡¡¡¡Í¬Ê±£¬Ò»Ð©Ñ§ÕßÌá³öÁ˺ÃÑõ¿ÅÁ£ÎÛÄàÐγɵľ§ºË¼Ù˵£¬ÎÞ»ú¾§ºËÔÚ·´Ó¦Ç°ÆÚÌṩϸ°ûÄý¾ÛµÄ¾§ºË£¬´Ù½ø¿ÅÁ£ÎÛÄàµÄ¿ìËÙÐγÉ.±¾ÊÔÑéR2ϵͳÖмÓÈë10 mg ¡¤ L-1 Ca2+ʹ·´Ó¦Æ÷¿ÅÁ£ÎÛÄàÐγÉËٶȽϿ죬Ҳ¿ÉÒÔ×ôÖ¤ÕâÖÖ¹Ûµã.
¡¡¡¡5 ½áÂÛ
¡¡¡¡1)ÒÔÎÛË®³§¶þ³Á³ØÎÛÄà×÷Ϊ½ÓÖÖÎÛÄ࣬²ÉÓÃA/O/AÔËÐÐģʽ£¬·Ö±ðÒÔÆÕͨÈ˹¤ÅäË®¡¢¼ÓCa2+È˹¤ÅäË®ºÍʵ¼ÊÉú»îÎÛˮΪ½øË®Ë®Ô´£¬ÓÚ30 dÄÚÅàÑøµÃµ½Æ½¾ùÁ£¾¶´óÓÚ600 ¦ÌmµÄ·´Ïõ»¯³ýÁ׿ÅÁ£ÎÛÄà.¿ÅÁ£ÎÛÄàÁ£¾¶½Ï´ó¡¢º¬Ë®Âʽϵ͡¢±ÈÖØ½Ï´ó¡¢±ÈºÄÑõËÙÂʽϸß.ÊÔÑé½á¹û±íÃ÷£¬Ò»¶¨Å¨¶ÈµÄCa2+¶Ô¿ÅÁ£»¯¹ý³ÌÓдٽø×÷ÓÃ.
¡¡¡¡2)R1¡¢R2ºÍR3ϵͳÅàÑøÆÚ¼ä³ýÎÛÐÔÄÜÖð²½Ìá¸ß£¬¿¹³å»÷¸ººÉÄÜÁ¦Öð½¥¼ÓÇ¿.Èýϵͳ¶ÔCOD¡¢NH4+-N¡¢TNºÍTPµÄƽ¾ùÈ¥³ýÂʿɴï90%£¬R1¡«R3ÖÐ×î´ó ±ÈÊÍÁ×ËÙÂÊ·Ö±ð´ï14.34¡¢8.32ºÍ2.32 mg ¡¤ g-1 ¡¤ h-1£¬R1ºÍR2ÖÐ×î´ó±ÈÎüÁ×ËÙÂÊ·Ö±ð´ï14.13ºÍ2.34 mg ¡¤ g-1 ¡¤ h-1.
¡¡¡¡3)·´Ïõ»¯³ýÁ׿ÅÁ£ÎÛÄàÎȶ¨ÔËÐк󣬵äÐÍÖÜÆÚµÄÊÔÑé½á¹ûÏÔʾ£¬R1¡¢R2ºÍR3ϵͳ¶ÔCOD¡¢NH4+-N¡¢TNºÍTPµÄÈ¥³ýÂʾùΪ90%×óÓÒ£¬±íÃ÷·´Ïõ»¯³ýÁ׿ÅÁ£ÎÛÄàϵͳ¾ßÓÐÁ¼ºÃµÄÎÛȾÎïÈ¥³ýЧ¹û.














