Ŀǰ£¬ÎÒ¹úÑõ»¯¹µ¼¼ÊõˮƽÓë¹ú¼ÊÏȽøË®Æ½Ïà±È²î¾àºÜ´ó¡£¾¿ÆäÔÒò£¬ÊÇÎÒ¹ú»¹Î´ÏµÍ³µØÑо¿Ñõ»¯¹µ¼¼ÊõÓëÉ豸£¬¶Ô¹ú¼ÊÉÏÑõ»¯¹µ¼¼Êõ¸ú×ÙÒ²²»¹»¡£¹Ê¶ÔÑõ»¯¹µ¼¼ÊõµÄÕÆÎÕÉв»¹»È«Ã棬ÔÚ¹¤³ÌÉÏ»¹È±·¦ÏµÍ³ºÍ¿ÆÑ§µÄÉè¼Æ·½·¨£¬¶ÔÑõ»¯¹µÐ¹¤ÒÕ¡¢Ð³ØÐÍ¡¢ÐÂÅäÌ×É豸Á˽âÉõÉÙ¡£ÎÒ¹úÏÖÒÑÒý½øÊýÖÖÑõ»¯¹µ¼¼Êõ£¬Ó¦ÓÐÌõ¼þÀ´·ÖÎö±È½ÏºÍÎüÊÕÏû»¯¡£
Ê×ÏÈ£¬Ñõ»¯¹µÊôÑÓÊ±ÆØÆø»îÐÔÎÛÄ๤ÒÕ£¬ÆäÔÀíºÍ²ÎÊýÒÑÓдóÁ¿ÎÄÏ×±¨µÀ¡£Ñõ»¯¹µÉè¼ÆÖгýÁËÒª¿¼ÂÇ̼ԴÎÛȾÎïµÄÈ¥³ý£¬»¹Òª¿¼ÂÇÎÛË®Ïõ»¯ºÍÎÛÄàÎȶ¨»¯ÎÊÌ⡣ȥ³ý²»Í¬µÄÎÛȾÎÉè¼Æ²ÎÊýºÍ·½·¨ÊDz»Í¬µÄ¡£ÀýÈ磬¿¼ÂÇÎÛÄàÎȶ¨µÄÑõ»¯¹µÉè¼Æ£¬ÆäÉè¼Æ²ÎÊýÖ÷Òª¿¼ÂÇÎÛÄàÁäºÍÄÚÔ´ºôÎüËÙÂÊ£¬¶ø²»ÊÇ´«Í³»îÐÔÎÛÄ๤ÒÕÖеÄÎÛÄฺºÉ£¬ÕâʱÑõ»¯¹µµÄÍ£Áôʱ¼äÊÂʵÉÏÊÇÒ»¸öµ¼³öµÄ²ÎÊý¡£Æä´ÎÑõ»¯¹µ×îÖØÒªµÄÌØµãÖ®Ò»ÊÇ£¬×¨ÓÃµÄÆØÆøÉ豸ÐèҪͬʱÂú×ã³ØÄÚ³äÑõºÍÍÆ¶¯Ë®ÑعµÇþÁ÷¶¯µÄÒªÇó¡£È«ÃæÁ˽âºÍÕÆÎÕÑõ»¯¹µµÄË®Á¦Ñ§ÌØÐÔÓÈΪÐèÒª¡£ÓйØÉ豸µÄË®Á¦Ñ§ÌØÐÔ£¬Êdz§¼Ò²úÆ·µÄÌØÐÔ¡£´ó²¿·ÖÉè¼Æµ¥Î»Ç¡Ç¡ÕÆÎÕ²»¹»£¬ÖÂʹÔÚÉè¼ÆÖÐÓÉÓÚÉ豸ÐͺźͲÎÊý²»×¼£¬³£³£µ¼ÖÂÉè¼ÆÃ»ÓдﵽԤÆÚЧ¹û¡£ÕâÒ²Óë´ó¶àÊýÑõ»¯¹µ¹¤ÒÕ¼°ÆäÓµÓеÄרÀûºÍÉ豸ÃÜÇÐÏà¹Ø¡£ÓÉÓÚ¹úÍ⹫˾¶ÔרÓм¼Êõ±£ÃÜ£¬Òò´Ë³öÏÖÁËÑõ»¯¹µ¼¼Êõ²»¶Ï·¢Õ¹£¬¿ÉÊÇÓÃÓÚÁ˽â»ù±¾¹¤ÒյĹ«¿ª¼¼Êõ×ÊÁÏδ¼ûÔö¼ÓµÄÏÖÏó¡£Óɴ˾͸üÐèÒª¼ÓÇ¿´´ÐÂÐÔµÄÑо¿£¬²ÅÄÜÌá¸ßÎÒ¹úÔÚÑõ»¯¹µ¹¤ÒÕÉϵļ¼Êõˮƽ¡£±¾ÎÄͨ¹ý¶Ô¹úÄÚÍâ×ÊÁϵÄ×ۺϷÖÎö£¬Ìá³öÑõ»¯¹µÒ»°ãµÄÉè¼Æ·½·¨ÒÔ¹©¹úÄÚͬÐÐÔÚÉè¼ÆÖвο¼¡£
1Ñõ»¯¹µµÄÉè¼Æ·½·¨
1.1BODµÄÈ¥³ý
Ñõ»¯¹µÖÐ̼Դ»ùÖÊÈ¥³ý¶¯Á¦Ñ§Óë»îÐÔÎÛÄà·¨¶¯Á¦Ñ§ÊÇÍêȫһÖµġ£¶ÔÓÚÍêÈ«»ìºÏϵͳÔÚÎȶ¨×´Ì¬ÏÂÓÐÒÔϹ«Ê½£º
![]() |
ʽÖУ¨XV£©¡ª¡ª²ÎÓë·´Ó¦µÄÎÛÄàÁ¿
Q¡ª¡ª´¦ÀíÎÛË®Á¿
V¡ª¡ª²ÎÓë·´Ó¦µÄºÃÑõÇøÌå»ý
S¡ª¡ª³öË®»ùÖÊBOD5Ũ¶È
Y¡ª¡ªÎÛÄà²úÂÊϵÊý
X¡ª¡ªÎÛÄàŨ¶È
¦Èc¡ª¡ªÎÛÄàÁä
S0¡ª¡ª½øË®»ùÖÊBOD5Ũ¶È
Ks¡ª¡ª°ë±¥ºÍ³£Êý
Kd¡ª¡ªÄÚÔ´´úл³£Êý
¦Ìª©max¡ª¡ª±È»ùÖÊÀûÓÃÂÊ
1.2Ïõ»¯·´Ó¦
°±µªµÄÏõ»¯·´Ó¦Éæ¼°µ½ÑÇÏõ»¯Ã«¸Ë¾úºÍÏõ»¯¸Ë¾úÁ½ÖÖ²»Í¬µÄÏõ»¯Ï¸¾ú¡£
ÔÚË®µÄ×÷ÓÃÏ£º2NH3NH+4
ÔÚÑÇÏõ»¯Ã«¸Ë¾ú×÷ÓÃÏ£º
2NH+4+3O22NO-2+2H2O+8H+
ÔÚÏõ»¯¸Ë¾ú×÷ÓÃÏ£º
2NO-2+O22NO-3
×ܵķ´Ó¦£º
NH4++2O2NO3-+2H+£«H2O
Òò´Ë´Ó»¯Ñ§¼ÆÁ¿Ñ§½Ç¶È£¬1.0kgµªÐèÒª4.6kgµÄÑõ£¬Êµ¼ÊÉú²úÖеÄÊý¾Ý½ÏС£¬Îª3.9¡«4.3kgO2/kgN¡£ÕâÊÇÒòΪһ²¿·ÖµªÓÃÓÚϸ¾úºÏ³É£¬²¢ÇÒÏõ»¯Ï¸¾ú¿ÉÒÔ´ÓÎÛË®ÖжþÑõ»¯Ì¼ºÍÖØÌ¼ËáÑλñµÃÒ»²¿·ÖÑõ¡£ÓÉÓÚÉÏÊö·´Ó¦²úÉúÇâÀë×Ó£¬ËùÒÔ»áÏûºÄ¼î¶È£¬Ã¿Ñõ»¯1mgNH3-NÏûºÄ7.14mg/LµÄ¼î¶È¡£ÁíÍâ´ÓÎÄÏ׿ÉÖªÑõ»¯1mgBOD²úÉú0.3mg/LµÄ¼î¶È£Û2£Ý¡£
¾Ý±¨µÀÏõ»¯·´Ó¦µÄζȷ¶Î§ÊÇ(5¡«45)¡æ,µ«ÊÇ(25¡«32)¡æÊÇ×î¼Ñζȷ¶Î§¡£×î¼ÑµÄpH·¶Î§ÊÇ7.8¡«9.2¡£ËäÈ»Ïõ»¯¹ý³ÌÒ²¿ÉÔÚµÍÈܽâÑõµÄÌõ¼þÏ·¢Éú£¬µ«ÊÇÏõ»¯¾úµÄÉú³¤ËÙÂʽϵ͡£ÎªÁ˱ÜÃâÑõµÄÏÞÖÆ£¬·´Ó¦³ØÖеÄÈܽâÑõ×îºÃ¿ØÖÆÔÚ3¡«4mg/L¡£Î¶ȶÔÉú³¤ËٶȵÄÓ°Ï칫ʽ¿ÉÒÔÓð¢Â×çÑ˹¹«Ê½±íʾ£¬ÆäÖÐζȳ£Êý¦È=1.12(5¡æ¡«20¡æ)¡£¶ÔÓÚ³ÇÊÐÎÛË®¿ÉÒÔ²ÉÓñí1ÖÐÎÛÄàÁä¦Èc
±í1Ïõ»¯¹¤ÒÕÔÚ²»Í¬Î¶ÈϲÉÓõÄÎÛÄàÁä
|
ÔÚ¶¬¼¾Ë®ÎµÍÓÚ10¡æ£¬Èç¹û¦Èc£¼10d£¬Ïõ»¯·´Ó¦Ò»°ã½øÐнϲÈô¦Èc>10d£¬Ö»ÒªÑõ»¯¹µµÄÆØÆøÄÜÁ¦¿ÉÂú×ã×ܵÄÑõ»¯ÐèÇ󣬲¢ÇÒ±£³Ö½Ï¸ßµÄÈܽâÑõ£¬¼´¿ÉÈ¡µÃºÜºÃµÄÏõ»¯ÂÊ¡£ÔÚ±±Å·¹ú¼Ò£¬Ïõ»¯¸ººÉ½×¶ÎÒ»°ãÑ¡ÔÚ0.05¡«0.10kgBOD5/kgMLSS£¬Ïõ»¯ËÙÂÊ´óԼΪ1.6mgNH3-N/(gVSS*d)(10¡æ)¡£
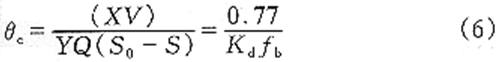
1.3ÎÛÄàÎȶ¨ÐÔ
ÔÚÑõ»¯¹µÉè¼ÆÖп¼Âǵĵڶþ¸öÒòËØÊÇÎÛÄàµÄÎȶ¨ÐÔÎÊÌâ¡£ÀíÂÛÉϽ²Ñõ»¯¹µÎÛÄàÁäµÄѡȡӦ¸ÃʹµÃËùÓеĻӷ¢ÐÔ¹ÌÌåͨ¹ýÄÚÔ´ºôÎüÈ«²¿±»½µ½â£¬ÎÞÂÛÊÇÑáÑõÏû»¯»¹ÊǺÃÑõÏû»¯¡£Èç¹û·´Ó¦Ê±¼ä×ã¹»³¤£¬Ï¸°û½µ½â¹ý³ÌÖÐÓÐ23%µÄ²ÐÓàÎïΪ²»¿ÉÉúÎï½µ½â¡£ÒòΪÿÌìVSS²úÁ¿ÎªYQ(S0£S)£¬ÆäÖпÉÉúÎï½µ½â²¿·ÖÊÇ0.77YQ(S0£S)¡£Èç¹ûϵͳÖпÉÒÔÉúÎï½µ½â²¿·ÖµÄ¹ÌÌåÎïÖÊÊÇfbX(fbΪVSS¿ÉÉúÎï½µ½âϵÊý)£¬ÔòÔÚÎȶ¨×´Ì¬£º
0.77YQ(S0£S)=Kdfb(XV)(5)
´Ó¶ø°´ÕÕÎÛÄàÁäµÄ¶¨Ò壺
![]() |
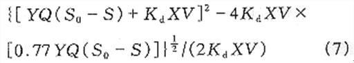
AdamsºÍEckenfelder¸ø³öÁË»ìºÏÒºVSS¿ÉÒÔÉúÎï½µ½â²¿·ÖµÄ±ÈÖµfbµÄ¼ÆË㹫ʽ£Û3£Ý£º
![]() |
Ò²¿ÉÍÆËã³öÎÛÄฺºÉ(F/M)µÄ±ÈÖµ£º
![]() |
·½³Ì(6)ºÍ(8)ÊÇ¿¼ÂÇÎÛÄàÎȶ¨ÐÔÎÊÌâʱÎÛÄàÁäºÍÓлú¸ººÉ¼ÆË㹫ʽ¡£ÎÞÒÉζȶÔÓÚÉÏÊö¹«Ê½ÖвÎÊýY¡¢KdµÄÓ°ÏìÊÇÊ®·ÖÖØÒªµÄ¡£¶ÔÓÚÑÓÊ±ÆØÆøÑõ»¯¹µÎ¶ȳ£Êý(¦È=1.01¡«1.03)ÊýÖµ½ÏС£¬Òò´Ë¶ÔζȵÄÓ°Ïì²»´ó¡£ÎÛÄàÎȶ¨»¯ÒªÇóµÄÓлú¸ººÉºÍÎÛÄàÁäÒ»°ãÔ¶Ô¶³¬¹ýÍêÈ«Ïõ»¯ËùÒªÇóµÄÊýÖµ¡£Í¬Ê±¿ÉÒԲ鿴ÖйúÎÛË®´¦Àí¹¤³ÌÍø¸ü¶à¼¼ÊõÎĵµ¡£
1.4Íѵª·´Ó¦
ÔÚûÓÐÈܽâÑõ(ȱÑõ)Ìõ¼þÏ£¬ËäÈ»ÔÚÑõ»¯¹µµÄÖ÷ÌåÈÜÒºÖдæÔÚÈܽâÑõ£¬µ«È±ÑõÌõ¼þÊÂʵÉÏÊÇָ΢ÉúÎïÉú³¤µÄ΢»·¾³(¼´ÉúÎïÐõÌåÖлòÉúÎïĤÖÐ)¡£³ý̼µÄÒìÑøÎ¢ÉúÎï¿ÉÒÔÀûÓÃÏõËáÑκÍÑÇÏõËáÑÎ×÷Ϊµç×ÓÊÜÌ壬½«Æä»¹Ô³Éµª¡£»¹Ô1.0mgN2²úÉú2.86kgO2¡£ÎÛË®ÈçÐèÍѵª£¬ÐèҪȥ³ýµÄµªÁ¿¦¤N(kg/d)Ϊ£º
¦¤N=Q(N0£N)£¦¤X¡ÁfN(9)
ʽÖÐN0¡¢N¡ª¡ª½ø¡¢³öË®×ܵªÅ¨¶È
¦¤X¡ª¡ªÊ£ÓàÎÛÄàÁ¿
fN¡ª¡ªÊ£ÓàÎÛÄàµÄº¬µªÁ¿£¬Ò»°ãΪ0.07kgN/kgMLVSS
ÍѵªÐèÒª¿¼ÂÇÅÅ·ÅÎÛÄàÖÐϸ°ûµÄµªº¬Á¿¡£°´ÕÕϸ°ûºÏ³ÉµÄ̼µªÁ׵ıÈÀýΪC¡ÃN¡ÃP=106¡Ã16¡Ã1£¬¼´ÎÛÄàÖÐ×î¶à°üº¬12.3£¥µÄNºÍ2.6£¥µÄP¡£Ò»°ãÔÚÄÚÔ´ºôÎü½×¶Î£¬²»¿ÉÉúÎï½µ½â²¿·Ö½ö½ö°üº¬7£¥µÄNºÍ1£¥µÄP£¬Ê£ÓàÎÛÄàÖÐµÄÆäËûN¡¢P»Øµ½Ö÷ÌåÈÜÒºÖС£Òò´ËÎÛÄàÖе嬵ªÁ¿ÒÀÀµÓÚÎÛÄàÁä(¦Èc)£¬ÎÛÄàÁäÔ½³¤£¬ÎÛÄàÖе嬵ªÁ¿Ô½Ð¡¡£ÓÉÐèҪȥ³ýµÄµªÁ¿£¬È·¶¨·´
Ïõ»¯µÄÎÛÄàÁ¿£º
(VX)dn=¦¤N/Kdn(10)
ʽÖÐ(VX)ª©dn¡ª¡ª²ÎÓëÍѵª·´Ó¦µÄÎÛÄàÁ¿£¬kg
Kdn¡ª¡ªÎÛÄàÍѵª¸ººÉ£¬kgNO-3-N/(kgMLSS.d)
1.5Ñõ»¯¹µµÄ×ÜÎÛÄàÁ¿
Ñõ»¯¹µµÄ×ÜÎÛÄàÁ¿(VX)TºÍ×ÜÈÝ»ý¼ÆËãÈçÏ£º
(VX)T=£Û(XV)£«(VX)dn£Ý/fa(11)
VT=(XV)T/(fa.X)(12)
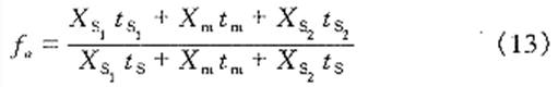
¶ÔÓÚ²»Í¬ÀàÐ͵ÄÑõ»¯¹µ£¬ÐèÒªÒýÈëÓÐЧÐÔϵÊýfa£¬ÆäÖдøÓÐÌåÍâ³Áµí³ØµÄÑõ»¯¹µfa=1.0£¬¶øÆäËûÀàÐ͵ÄÑõ»¯¹µfaÊDz»Í¬µÄ¡£ÒÔÈý¹µÊ½Ñõ»¯¹µÎªÀý£¬Èç¹û¼ÙÉèÈý¹µÊǵÈÌå»ýµÄ£¬ÔòfaÈçϼÆË㣺
![]() |
ʽÖÐXS1,2¡ª¡ª±ß¹µMLSSŨ¶È
Xm¡ª¡ªÖйµMLSSŨ¶È
tS¡ª¡ª±ß¹µÒ»¸öÖÜÆÚµÄʱ¼ä
tS1£¬2¡ª¡ª±ß¹µÒ»¸öÖÜÆÚÄڵŤ×÷ʱ¼ä
tm¡ª¡ªÖйµÔÚÒ»¸öÖÜÆÚÄڵŤ×÷ʱ¼ä
¼ÙÉèÎÛÄàÔÚÑõ»¯¹µÄÚ·Ö²¼¾ùÔÈ£¬tΪÈý¸ö¹µÒ»ÖÜÆÚ×ÜÍ£Áôʱ¼ä(°üÀ¨³Áµí)Ö®ºÍ£¬Ôò£º
fa=(tS1£«tm£«tS1)/t(14)
1.6Ê£ÓàÎÛÄà
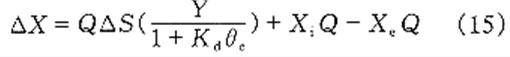
ËäÈ»¶¯Á¦Ñ§Éè¼ÆÄÜÈ·¶¨ÉúÎïÎÛÄà²úÁ¿£¬Ó¦¿¼ÂdzÁµí³ØµÄ¹ÌÌåÁ÷ʧÁ¿ºÍ´æÔڵĶèÐÔÎïÖÊ£¬¿ÉÒÔ²ÉÓÃÏÂʽ¼ÆË㣺
![]() |
ʽÖЦ¤S¡ª¡ªÈ¥³ýBOD5
Xi¡ª¡ª½øË®Ðü¸¡¹ÌÌåÖжèÐÔ²¿·Ö
Xe¡ª¡ª³öË®TSS
Ñõ»¯¹µÒÔ³£¹æÄ£Ê½ÔËÐÐʱ£¬»á²úÉú²»Îȶ¨µÄÊ£ÓàÎÛÄ࣬ӦÔÚ´¦ÖÃǰ¼ÓÒÔÎȶ¨£¬Ñõ»¯¹µÒÔÑÓÊ±ÆØÆøÄ£Ê½ÔËÐÐʱ£¬ÎÛÄàÁ¿ÉÙÇÒÎȶ¨¡£¸ù¾Ý»ØÁ÷ÎÛÄàÁ¿ºÍÊ£ÓàÎÛÄàÁ¿¿ÉÒÔÑ¡ÔñË®±ÃºÍÎÛÄà´¦Àíϵͳ¡£
1.7Ñõ»¯¹µÐèÑõÁ¿ºÍÆØÆøÉ豸
ÔÚÑõ»¯¹µÏµÍ³£¬¿¼ÂÇÒÔϼ¸¸ö¹ý³ÌµÄÐèÑõÁ¿£º×ÜÐèÑõÁ¿£¨D£©=Ñõ»¯ÓлúÎïÐèÑõ£«Ï¸°ûÄÚÔ´ºôÎüÐèÑõ£«Ïõ»¯¹ý³ÌÐèÑõ£Íѵª¹ý³Ì²úÑõ
D=a¡äQ(S0-S)£«b¡ä¦¤X.f£«4.6(N0£N)£0.07¦¤X.f-2.6¦¤NO-3£¨16£©
ʽÖÐf¡ª¡ªMLVSS/MLSS
¦¤NO-3¡ª¡ª±»»¹ÔµÄNO£3
ÐèÑõÁ¿D(AOR)È·¶¨Ö®ºó£¬²¢×ª»¯Îª±ê׼״̬ÐèÑõÁ¿(SOR)¡£ÔÚ±ê׼״̬ÐèÑõÁ¿È·¶¨Ö®ºó£¬¸ù¾Ý²»Í¬É豸³§¼ÒµÄ±íÆØ»úÑù±¾ºÍÊֲᣬ¼ÆËã³öÑõ»¯¹µÏµÍ³µÄ×ÜÄܺġ£×ÜÄܺÄÒ»µ©È·¶¨£¬¾Í¿ÉÒÔÈ·¶¨Ñõ»¯¹µÆØÆøÆ÷µÄÊýÄ¿¡¢Ñõ»¯¹µÍâÐκͷÖ×éÇé¿ö¡£
![]() |
ʽÖЦÁ¡ª¡ª²»Í¬ÎÛË®µÄÑõ×ªÒÆËÙÂʲÎÊý£¬¶ÔÉú»î ÎÛˮȡֵ0.5¡«0.95
¦Â¡ª¡ª²»Í¬ÎÛË®µÄ±¥ºÍÈܽâÑõ²ÎÊý£¬¶ÔÉú»îÎÛˮȡֵ0.90¡«0.97
¦Ñ¡ª¡ª´óÆøÑ¹ÐÞÕý²ÎÊý
CS¡ª¡ªÎ¶ÈTʱ±¥ºÍÈܽâÑõ
2Éè¼Æ½á¹ûºÍÎÊÌâÌÖÂÛ
2.1Éè¼Æ¶Ô±È
ΪÁË˵Ã÷Ñõ»¯¹µµÄÉè¼Æ¹ý³Ì£¬ÒÔºªµ¦Èý¹µÊ½Ñõ»¯¹µµÄÊý¾ÝΪÀý£¬ËµÃ÷¼¸¸öÉè¼ÆÉϵÄÎÊÌâ¡£¸ù¾ÝÏÂÁÐÊý¾ÝÉè¼Æ´¦ÀíÉú»îÎÛË®µÄ½»ÌæÊ½Ñõ»¯¹µ(Èý¹µ)£º
½øË®£º
BOD5=130mg/L
NH3£N=22mg/L(T=10¡æ)
TN=42mg/L
SS=160mg/L
¼î¶È=280mg/L(ÒÔCaCO3¼Æ)
³öË®£º
BOD5<15mg/L
NH3£N<2¡«3mg/L(T=10¡æ)
TN<10¡«12mg/L(T=10¡æ)
TN=6¡«8mg/L(T=25¡æ)
TSS<20mg/L
×îµÍζÈ=10¡æ£¨×î¸ßζÈ=25¡æ£©
ºªµ¦Ñõ»¯¹µÊǰ´Èý¸öϵÁУ¬Ã¿¸öϵÁÐÁ÷Á¿Q1=33000m3/d£¬Ö÷ÒªÉè¼Æ½á¹û¼û±í2¡£
2.2ÔÉè¼Æ´æÔÚµÄÎÊÌâ
Ç廪´óѧÖÜÂɵÈÈ˶Ժªµ¦Ñõ»¯¹µ½øÐÐÁË´óÁ¿µÄÏÖ³¡²â¶¨¹¤×÷£¬×ܽáÆðÀ´Ò²ÊÇÒÔÏÂÈý¸öÎÊÌ⣺
¢ÙÍ£Áôʱ¼äÓ뷴Ӧʱ¼äÎÊÌ⣺³öË®NH3£NÆ«¸ß£¬Í¨¹ýʵÑé·¢ÏÖÑÓ³¤Ïõ»¯Í£Áôʱ¼ä£¬¿ÉÒÔ½µµÍ³öË®µÄNH3£N¡£Õâ˵Ã÷ÔÉè¼ÆµÄÍ£Áôʱ¼äËäÈ»¶ÔÓÚBODµÄÈ¥³ý³ä·Ö£¬µ«¶ÔÓÚÍѵªÆäÍ£Áôʱ¼äÊDz»¹»µÄ¡£ÉÏÊöÎÊÌâ¿ÉÄÜÒ²ÓëÎÛÄàÁäºÍÔËÐз½Ê½Óйء£
¢ÚÎÛÄàÍ£Áôʱ¼äÎÊÌ⣺ͨ¹ýÎÛÄàºÄÑõËÙÂʺÍÐü¸¡Îï¸ÉÖØËðʧÂÊµÈÆÀ¼ÛÎÛÄàÎȶ¨»¯ÊµÑé·½·¨£¬¶ÔÆäÎÛÄà½øÐвⶨµÄ½á¹û±íÃ÷£º¾¹ý´¦ÀíµÄÎÛÄàÉÐδµÃµ½Îȶ¨¡£
¢ÛÈý¹µÊ½Ñõ»¯¹µµÄÈÝ»ýÀûÓÃÂÊÎÊÌ⣺´ÓÇ°ÃæµÄÌÖÂÛ¿ÉÖªÈý¹µÊ½Ñõ»¯¹µ±¾ÉíµÄÈÝ»ýÀûÓÃÂʽϵÍ(58£¥)¡£ÔÚºªµ¦²âµÃÈý¹µÖÐMLSSΪ5.3¡¢2.0¡¢5.0kg/m3¡£fa=0.40ÓëÉÏÊöµÄÀíÏë״̬Ïà²îºÜ´ó¡£ÈýÌõ¹µµÄMLSS·Ö²¼ÓëÉè¼ÆµÄ·Ö²¼Çé¿öÓнϴó²î¾à£¬ÕâÊÇÈý¹µÊ½Ñõ»¯¹µÔËÐм°Éè¼ÆµÄÒ»¸öÖ÷ÒªÎÊÌâ¡£
|





















