´µÍÑÎü¸½·¨´¦ÀíͿװ¹¤ÒÕ·ÏË®

ä¯ÀÀ

    ¹¤ÒµµçӾͿװ¹¤ÒÕ²úÉúµÄ¸ßŨ¶ÈÓлú·ÏË®Ö÷ÒªÊÇÒõ¼«Òº¡¢³¬ÂËÒºÊÇ»úе(Æû³µ¡¢¼ÒµçµÈ)£¬Æä³É·Ö¼û±í1¡£

    ±í1¡¡Òõ¼«Òº¡¢³¬ÂËÒºÖ÷Òª³É·Ö

·ÏÒº

ÓлúÈܼÁ

ÖкͼÁ

¸ß·Ö×ÓÊ÷Ö¬

ÑÕÌîÁÏ

ÆáÁÏ

Íâ¹Û

pH

COD(mg/L)

Òõ¼«Òº

¶¡´¼¡¢ÒÒ¶þ´¼µ¥¶¡ÃÑ£¬1.5%

¶þ¼×»ùÒÒ´¼°·£¬ÒÒ´¼°·£¬1%

 

îѰ׷Û

¸÷Àà

Èé°×É«¡¢»ë×Ç

10.4

(4¡«6)¡Á104

³¬ÂËÒº

¶¡´¼¡¢ÒÒ¶þ´¼µ¥¶¡ÃÑ£¬1.5%

¶þ¼×»ùÒÒ´¼°·£¬ÒÒ´¼°·£¬1%

¾Û¶¡¶þÏ©Ê÷Ö¬µÈ

îѰ׷Û

¸÷Àà

»ÆÉ«¡¢°ë͸Ã÷

7.8¡«8

(3¡«4.5)¡Á104

    Á½ÒºÖÐBODºÜµÍ£¬BOD/COD <0.1£¬²»Ò˲ÉÓÃÉú»¯·¨´¦Àí¡£Á½ÒºÖи߷Ö×ÓÊ÷Ö¬¡¢ÑÕÌîÆáÁϿɲÉÓûìÄý·¨´¦Àí£¬¶øµÍ·Ö×ÓÈܼÁ(´¼¡¢ÃÑÀà)³ÉΪ´¦ÀíÄѵ㡣

    Ë®ÖÐÒ×»Ó·¢µÄµÍ·Ö×ÓÓлúÎïÈç´¼¡¢ÃÑÀàµÈÓôµÍÑ·¨¡¢ÕôÁ󷨡¢ÆûÌá·¨¾ù¿ÉÈ¥³ý£¬ÆäÖÐÕôÁ󷨺ÄÄÜ½Ï´ó£¬ÆûÌá·¨ÔòÐëÃܱսÁ°è£¬´µÍÑ·¨ºÄÄÜÉÙ¡¢¼ò±ãÒ×ÐС£±»´µÍѵÄÓлú·ÏÆø¿ÉÓöàÖÖ·½·¨´¦Àí£¬ÆäÖÐȼÉÕ·¨¶ÔµÍŨ¶ÈÓлú·ÏÆø²¢²»ÊÊÓã¬ÇÒ´æÔÚ²»ÍêȫȼÉյĶþ´ÎÎÛȾÎÊÌ⣻ÎüÊÕ·¨ÔòЧÂʽϵͣ¬¶øÓÃ×÷ÎüÊÕ¼ÁµÄ²ñÓÍ¡¢ÆûÓͺÄÁ¿½Ï´ó¡£Îü¸½·¨Ôò¶ÔÓлú»¯ºÏÎïÎü¸½Ñ¡ÔñÐԺã¬Îü¸½Ð§Âʸߣ¬ÓõÍѹÕôÆû½âÎüÔÙÉú·½±ã¡£Òò´Ë²ÉÓôµÍÑ¡ªÎü¸½·¨·ÖÀëµÍ·Ö×ÓÈܼÁ£¬ÓÉÎü¸½¼ÁÎü¸½ºó½âÎüÀäÄý»ØÊÕÊÇÒ»ÖÖÖµµÃÑо¿µÄ´¦Àí·½·¨¡£

    1´µÍÑ¡ªÎü¸½·¨´¦Àí·ÏË®Á÷³Ì
¡¡¡¡
    ´µÍÑÎü¸½·¨´¦ÀíÁ½Òº·ÏË®µÄ¹¤ÒÕ¹ý³Ì¼ûͼ1¡£

    Ô­Ë®Öк¬¸ß·Ö×ÓÊ÷Ö¬¡¢ÑÕÌîÆáÁÏ£¬Ö±½Ó½øÐдµÍѽ«Ó°ÏìµÍ·Ö×ÓÈܼÁÏòÆøÏàµÄ´«Öʹý³Ì£¬´Ó¶øÓ°Ïì´µÍÑЧÂÊ¡£Í¶¼ÓPFS(Ò©¼Á)(1 400¡«1 600 mg/L)£¬²ÉÓûìÄý·¨½øÐÐÔ¤´¦Àí£¬ÔòÒ×ÓÚͨ¹ýµçÖкͼ°Îü¸½¼ÜÇÅÈ¥³ýË®Öи߷Ö×ÓÎïÖʼ°Ðü¸¡Ì¬µÄÑÕÌîÆáÁÏ£¬´¦ÀíË®³ÎÇ壬CODÓв»Í¬³Ì¶ÈµÄϽµ¡£Ë®Öд¼ÃÑÀàµÍ·Ö×ÓÈܼÁË®ÈÜÐԺã¬Ò©¼Á»ìÄý¶Ô´¼ÃÑÀàµÍ·Ö×ÓÎïÖʵÄÈ¥³ýЧ¹û½Ï²î£¬»ìÄý´¦Àí³öË®ÖÐÊ£ÓàCODÖ÷ÒªÓÉ´¼ÃÑÀàµÍ·Ö×ÓÈܼÁ×é³É¡£»ìÄýÔ¤´¦Àí³öˮˮÖʼû±í2¡£

ÈÜÒº

ԭˮCOD (mg/L)

»ìÄý³öË®COD (mg/L)

CODÈ¥³ýÂÊ (%)

³¬ÂËÒº

3.6¡Á104

3.1¡Á104

14%

Òõ¼«Òº

5.3¡Á104

3.2¡Á104

61%

    2¡¡ÊÔÑé×°ÖÃ

    ´µÍÑ¡ªÎü¸½·¨ÊÔÑé×°Öüûͼ2¡£

    ÊÔÑéÌõ¼þ£º

    ´µÍÑÆ÷£º¦Õ120 mm¡Á250 mm£¬Îü¸½Æ÷£º¦Õ300 mm¡Á300 mm£¬ÀäÄýÆ÷£º¦Õ40 mm¡Á400 mm 

    ѹËõ¿ÕÆøÑ¹Á¦£ºP=0.88¡«0.92 kPa,µÍѹÕôÆûѹÁ¦£ºP=0.1 MPa 

    »îÐÔÌ¿£ºÁ£×´£¬20¡«50Ä¿£¬±È±íÃæ»ý£ºa=1 200 m2/g£¬Îü¸½Ëþ¿ÕËþÏßËÙ£ºv=0.25 m/s 

    ÊÔÑéʱȡ¾­Ô¤´¦ÀíµÄÒõ¼«Òº¡¢³¬ÂËÒº¼ÓÈë´µÍÑÆ÷1£¬Í¨ÈëѹËõ¿ÕÆø¹ÄÅÝ£¬³öÆøÓÉ·§5ÓÉÉÏÏòÏÂͨ¹ýÎü¸½Æ÷2£¬ÓÉ·§7Åųö¡£Îü¸½±¥ºÍºó£¬ÓÉ·§8ͨÈëµÍѹÕôÆû£¬³öÆøÓÉ·§6½øÈëÀäÄýÆ÷3£¬²¢Í¬Ê±¿ªÍ¨ÀäÈ´Ë®£¬ÀäÄýºóҺ̬ÈܼÁÓÉÈܼÁÊÕ¼¯Æ÷4ÊÕ¼¯¡£ 

    ²âÊÔ¼ìÑéÏîÄ¿£º 

    ½øÈë´µÍÑÆ÷Ô­Ë®COD£¬Á÷³ö´µÍÑÆ÷³öË®COD¡¢ÀäÄý»ØÊÕҺ̬ÈܼÁCOD¡£ 

    Îü¸½³öÆø(¼´·§7³öÆø)Ðá棬²ÉÓÃÖ±½ÓÐáζ·¨(Ðá¾õÓд̼¤¼´Îª³¬±ê£¬Ô¼100 mg/L)²â¶¨£¬´Ë·¨½Ï¼ò±ã¡£ 

    3¡¡ÊÔÑé½á¹û¼°ÌÖÂÛ 

    ´µÍÑÊÔÑéÖвⶨÒõ¼«Òº¡¢³¬ÂËÒº´µÍÑǰºóµÄCOD£¬Æä½á¹ûÈçͼ3¡¢4¡£ 

 

    ÓÉͼ3¡¢4¿ÉÖª£¬´µÍÑÆøË®±ÈÔ½¸ß£¬³öË®CODÔ½µÍ£¬¼´CODÈ¥³ýÂÊÔ½¸ß¡£Òõ¼«Òº´µÍÑÆøË®±È´ï48ʱ(Ô­Ë®COD=2.76¡Á104 mg/L£¬ÆøÑ¹P=0.882 kPa£¬Ë®ÎÂ20¡«22 ¡æ)£¬CODÈ¥³ýÂÊ´ï72.6%¡£³¬ÂËÒº´µÍÑÆøË®±È´ï104ʱ(Ô­Ë®COD=2.76¡Á104 mg/L£¬ÆøÑ¹P=0.882 kPa£¬Ë®ÎÂ20¡«22 ¡æ)£¬È¥³ýÂÊ´ï49.8%¡£ 

    ¼ÓδµÍÑÉõÖÁ²ÉÓÃÆûÌá·¨¶ÔÈܼÁÆø»¯·ÖÀëÏÔÈ»ÓÐÒæ£¬µ«¶Ô»îÐÔÌ¿Îü¸½ÓлúÆøÌ彫½µµÍЧ¹û¡£ 

    ÓÃÐáζ·¨²â¶¨Îü¸½³öÆøÊÇ·ñ´øÓд̼¤ÐÔÆøÎ¶À´ÅжϻîÐÔÌ¿ÊÇ·ñÎü¸½±¥ºÍ¡£Ò»µ©ÓÐÒìζ¼´Í£Ö¹´µÍÑ£¬¶Ô»îÐÔÌ¿ÓõÍѹÕôÆûÔÙÉú¡£ÔÙÉúÊÔÑé²âµÃÊý¾ÝÈç±í3¡£ 

    ±í3¡¡»îÐÔÌ¿ÔÙÉúÀäÄý»ØÊÕÈܼÁÊÔÑéÊý¾Ý

 

ÈÜÒº

Ìå»ýV1 (mL)

´µÍÑǰCODŨ¶ÈC1 (mg/L)

´µÍѺóCODŨ¶ÈC2 (mg/L)

½âÎüÀäÄý»ØÊÕÈܼÁ

»ØÊÕÂÊE(%)

Ìå»ýV3(mL)

CODŨ¶ÈC3(mg/L)

³¬ÂËÒº

2000

3.1¡Á104

1.72¡Á104

102

12.7¡Á104

47.3

Òõ¼«Òº

2000

3.2¡Á104

1.94¡Á104

88

13.4¡Á104

46.7

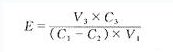
    »ØÊÕÂʼÆËãʽ£º 

    ÓÉÓÚÎü¸½¹ý³Ì²ÉÓõ¥Öù£¬ÄÑÃâÓлúÈܼÁÆøÌåй©£¬»îÐÔÌ¿Îü¸½ÒàÄÑÒԴﵽȫ±¥ºÍ£¬ËùÒÔ±¾ÊÔÑ黨ÊÕÂʲ»¸ß¡£¹¤³ÌÉÏÄâ²ÉÓöàÖù´®ÁªÎü¸½(ÈçÇൺÒÃÖÐÆû³µ¹«Ë¾¡¢ÄÏÆûNAVECO¹«Ë¾)£¬Ôò¼È¿É·Àֹй©£¬Óֿɱ£Ö¤Ì¿ÖùÔÚÈ«±¥ºÍ״̬ÏÂÔÙÉú£¬´Ó¶ø¿ÉÌá¸ßÈܼÁ»ØÊÕÂÊ¡£Îü¸½ÈÝÁ¿£º 

    4¡¡½áÂÛ

¡¡¡¡¢Ù´µÍÑ·½·¨¿ÉÓÃÓÚº¬ÓлúÈܼÁµÄ¸ßŨ¶ÈÓлú·ÏË®Òõ¼«Òº¡¢³¬ÂËÒºµÄ´¦Àí£¬¸Ã·¨¿ÉÔÚÆøË®±È¦Ë=48¼°¦Ë=104ʱ£¬Ê¹COD=2.76¡Á104 mg/LµÄÒõ¼«Òº¡¢³¬ÂËÒºµÄCODÈ¥³ýÂÊ·Ö±ð´ïµ½72.6%ºÍ49.8%¡£

¡¡¡¡¢Ú»îÐÔÌ¿¶ÔÒõ¼«Òº¡¢³¬ÂËÒº´µÍѵÄÓлúÈܼÁÆøÌåµ¥ÖùÎü¸½Ê±£¬±¥ºÍÎü¸½ÈÝÁ¿Îª0.123 gCOD/gÌ¿£¬ÓõÍѹÕôÆû½âÎüÔÙÉú¡¢ÀäÄý»ØÊÕÓлúÈܼÁ£¬»ØÊÕÂʿɴï46.7%¡«47.3%¡£

¡¡¡¡¢Û²ÉÓôµÍÑ¡ªÎü¸½·¨´¦ÀíµçӾͿװ¹¤ÒÕ·ÏÒº¿ÉÒÔ´ó´ó½µµÍ³öË®CODŨ¶È£¬¼õÇáÎÛȾ£¬²¢¿É»ØÊÕÓлúÈܼÁ£¬²úÉúÒ»¶¨µÄ¾­¼ÃÐ§Òæ¡£¸Ã´¦Àí¹¤ÒÕÓëÆäËû·½·¨ÅäºÏʹÓÿɳÉΪº¬ÓлúÈܼÁ¸ßŨ¶ÈÓлú·ÏË®´¦ÀíµÄÒ»ÖÖÓÐЧ·½·¨ ¡£


Ïà¹ØÎÄÕÂ