当水中CaCO3的浓度等于或大于其饱和度时,即倾向于结垢,且CaCO3的溶解度随着温度的升高而减少。在冷却水系统中,由于水温高于环境温度,CaCO3结垢的可能性大大增加,不仅影响换热效果,还会引起严重的垢下腐蚀问题。添加阻垢剂进行阻垢是众多阻垢方法中相对高效的一种〔1〕。
目前,关于聚天冬氨酸(PASP)、聚环氧琥珀酸(PESA)、马来酸/丙烯酸(MA/AA)阻垢性能的报道较多〔2〕,而阻垢机理方面报道得相对较少,笔者主要从这3种阻垢剂的阻垢性能动力学方面来分析其阻垢机理。
1 试验部分
1.1 试验药品与仪器
试验药品: PASP,工业纯,常州市润洋化工有限公司;PESA,工业纯,广州市亿源环保科技有限公司;MA/AA,工业纯,邹平县东方化工有限公司;氯化钙,分析纯,成都市科龙化工试剂厂;碳酸氢钠、氯化钠,分析纯,重庆川东化工(集团)有限公司;十水四硼酸钠,分析纯,成都化学试剂厂。
仪器:电热恒温水浴锅,天津市泰斯特仪器有限公司;电热恒温鼓风干燥箱,上海福玛实验设备有限公司;电子天平,上海舜宇恒平科学仪器有限公司。
1.2 试验水质
在去离子水中加入一定量的CaCl2、NaHCO3、NaCl溶液,并加入一定量的硼砂缓冲溶液调节其pH。
1.3 试验方法
试验参照 GB/T 16632—2008《水处理剂阻垢性能的测定 碳酸钙沉积法》,利用静态阻垢法测定 PASP、PESA、MA/AA对CaCO3垢的阻垢性能,并做空白试验。
2 PASP、PESA、MA/AA阻碳酸钙垢性能测试
控制Ca2+和HCO3-的质量浓度均为500 mg/L,pH=8,恒温10 h,考察PASP、PESA、MA/AA在不同温度和不同质量浓度下的阻碳酸钙垢性能。
阻垢剂浓度、温度对碳酸钙垢阻垢率的影响分别如图 1、图 2、图 3 所示。
图1 PASP 对 CaCO3 垢阻垢率的影响
由图 1可见,随着PASP质量浓度的增加,其阻垢率逐渐增大。因为PASP能与Ca2+形成稳定的络合物,降低溶液中Ca2+浓度,使形成CaCO3沉淀的可能性降低。同时还能和已形成CaCO3小晶体的Ca2+作用,进一步达到阻垢的效果。当PASP质量浓度(Cinh)在0~2.5 mg/L范围内,温度为80℃时其阻垢率最高;当Cinh为3.0 mg/L、温度为70℃时阻垢率最高。这可能是由于阻垢剂与Ca2+结合速率大于成钙垢反应速率,随着温度升高,阻垢剂活性增加,但成钙垢反应加快。图中阻垢率可能为这两方面共同作用的结果,呈现先增加后降低的趋势。
由图 2可见,随Cinh的增加,PESA阻垢率逐渐增大。Cinh在0~2.5 mg/L范围内,温度为75℃时阻垢率最高,当Cinh在2.5~3.0 mg/L范围内,温度在80℃时阻垢率最高。
由图 3可见,MA/AA在Cinh为1.5 mg/L时阻垢率最大,能达到90%左右,说明此阻垢剂存在剂量效应。这可能是因为阻垢剂MA/AA加入越多,溶液中所含羧基或醚基也越多,与碳酸钙晶体表面氧原子之间形成的氢键越多,进而提高碳酸钙晶体表面电荷,增加粒子间的相互排斥,但当阻垢剂加入过量时,反而减弱了这种排斥力。
3 动力学参数计算
化学动力学研究的是浓度、压力、温度以及催化剂等各种因素对反应速率的影响,还研究反应进行时要经过哪些具体步骤。所以,化学动力学是研究化学反应速率和反应机理。研究温度对反应速率的影响,就是研究温度对反应速率常数的影响,也就是要找出速率常数随温度变化的函数关系〔3〕。
由上文看出,在相同的阻垢剂浓度下,温度升高,碳酸钙成垢速率增加,但是随着温度升高,阻垢剂活性增大。温度与反应速率的关系满足阿伦尼乌斯方程,可用阿伦尼乌斯方程(1)计算指前因子(k0)、活化能(Ea),艾林方程(2)计算焓变(ΔHa)、熵变(ΔSa)。
式中:CR——反应速率,mg/(L·min);
T——反应体系温度,℃;
N——阿伏伽德罗常数;
h——普朗克常量;
R——摩尔气体常数。
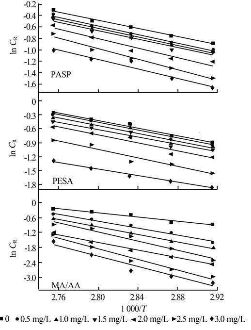
利用3种阻垢剂对碳酸钙的阻垢性能的试验数据,在Ca2+为500 mg/L,对式(1)、式(2)方程两边同时取对数作图,不同浓度下PASP、PESA、MA/AA的阿伦尼乌斯和过渡态线性拟合如图 4、图 5所示。
图4 不同浓度 PASP、PESA、MA/AA 的阿伦尼乌斯线性拟合
由图 4、图 5的截距和斜率计算出k0、Ea、ΔHa、ΔSa,具体数据如表 1所示。
由表 1可见,对PASP和PESA而言,在不同浓度下的Ea与空白试液比较接近,但MA/AA在不同浓度的Ea均是空白试液的1.5倍以上,即MA/AA在不同浓度下的Ea大于PASP和PESA。其加入MA/AA的溶液活化分子比加入PASP和PESA均少,活化分子越少,与Ca2+结合形成钙垢的可能性越低,从而反应速率减慢,阻垢率提高。该试液中溶剂为水且对反应组分无明显作用。由笼蔽效应可知,如果反应的Ea小,反应速率快,则为扩散控制;若反应Ea大,反应速率慢,则为活化控制。由此可见,PASP和PESA为扩散控制,而MA/AA为活化控制。在工程中若通过搅拌等方法加速PASP、PESA和MA/AA的扩散,PASP和PESA的阻垢率变化远大于MA/AA的变化。
MA/AA的k0均高于空白试液的k0。对不同的阻垢剂来说,其k0和Ea处于相同变化,则Ea和k0越大,成钙垢的可能性越小,其反应速率越低。
PASP、PESA和MA/AA的ΔH>0,该反应为吸热反应。对PASP和PESA而言,不同阻垢剂浓度下的ΔHa和ΔSa值与空白试液比较接近。但MA/AA的ΔHa和ΔSa值与空白试液差别较大。由于加入PASP和PESA的试液Ea低,活化分子较多,引起成钙垢反应较快,反应速率较大,从而使其混乱度降低,即熵减的反应。加入MA/AA的试液其活化能较高、活化分子较少,引起成钙垢反应较慢,试液中Ca2+较多,从而其混乱度较大,即熵增的反应。。
4 结论
研究结果表明,MA/AA、PASP、PESA这3种阻垢剂均存在最佳活性温度。MA/AA的阻垢效果明显高于PASP、PESA。这是由于MA/AA含有羧基或醚基,可与碳酸钙晶体表面氧原子之间形成氢键,从而提高碳酸钙晶体表面电荷,增加粒子间的相互排斥,达到阻垢的效果。加入MA/AA试液的指前因子和活化能均高于空白试液,使其Ca2+结合形成钙垢的可能性降低,从而反应速率减慢,阻垢率提高。对阻垢剂的阻垢性能可通过阻垢反应的k0和Ea进行评价,但MA/AA存在剂量效应。
由笼蔽效应可知,PASP和PESA为扩散控制,MA/AA为活化控制。通过控制类型的研究可对化学反应的动力学研究、反应器的选用和设计进行指导。














