¡¡¡¡1 ÒýÑÔ
¡¡¡¡²ñÓÍÊÇÍÁÈÀºÍË®ÌåÖг£¼ûµÄÒ»ÖÖÎÛȾÎÓÉÓÚÆäÊèË®ÐÔÇ¿£¬²»»îÆÃÇÒÄÑÉúÎï½µ½â£¬»áÔÚ»·¾³Öг¤ÆÚÖÍÁô£¬½ø¶øÎ£º¦Ë®Ì幦ÄܺÍË®ÉúÉúÎï×ÊÔ´£¬Òò´Ë£¬²ñÓÍ·ÏË®µÄÖÎÀíÒ»Ö±ÊÇÈËÃǹØ×¢µÄ½¹µã.
¡¡¡¡Ä¿Ç°£¬ÖÎÀí²ñÓÍÎÛȾµÄ·½·¨Ö÷ÒªÓÐÎïÀí·¨¡¢»¯Ñ§·¨¡¢ÉúÎï·¨µÈ.ÎïÀíºÍ»¯Ñ§·¨Äܹ»¿ìËÙÈ¥³ý²ñÓʹ󲿷Ö×é·Ö£¬µ«³É±¾½Ï¸ßÇÒÒ×ÒýÆð¶þ´ÎÎÛȾ. ¶øÎ¢ÉúÎï·¨¾ßÓгɱ¾µÍ¡¢²Ù×÷¼òµ¥ºÍ¿É±ÜÃâ¶þ´ÎÎÛȾµÈÓŵ㣬Òò´Ë£¬Î¢ÉúÎïÐÞ¸´»·¾³ÖвñÓÍÎÛȾ¾ßÓкܴóµÄDZÁ¦ºÍÓÅÊÆ.
¡¡¡¡ÔÚʵ¼ÊÓ¦Óùý³ÌÖУ¬ÓÎÀë¾ú±íÏÖ³öµ¥Î»Ìå»ýÄÚÓÐЧ½µ½â¾úŨ¶ÈµÍºÍ¿¹¶¾ÐÔÇÖº¦ÄÜÁ¦²îµÄÌØµã£¬ÑÏÖØÓ°ÏìÆä½µ½âЧ¹û(Liu et al.£¬2009). ¹Ì¶¨»¯¼¼Êõ¿É¿Ë·þϸ°û̫СÇÒÓëË®ÈÜÒº·ÖÀëÀ§ÄÑ¡¢Ò×Ôì³É¶þ´ÎÎÛȾµÈ±×¶Ë£¬¾ßÓоúÌåÃܶȸߡ¢·´Ó¦Ñ¸ËÙ¼°¾úÌåÁ÷ʧÉÙµÈÓÅÊÆ£¬ÊÇÒ»ÖÖ¾ßÓо޴óÓ¦ÓÃǰ¾°µÄÎÛȾÎï´¦Àí¼¼Êõ.
¡¡¡¡½üÄêÀ´£¬¹ØÓڹ̶¨»¯¼¼ÊõÔÚʯÓÍÌþ½µ½âÁìÓòµÄÓ¦ÓÃÊܵ½Ô½À´Ô½¶àµÄ¹Ø×¢.LinµÈ(2014)½«Á½Öê½µ½â¾ú¹Ì¶¨ÔÚÃÞÏËάÉÏÀ´½µ½â´ÖÓÍ£¬·¢ÏÖµ±ÑζȵÍÓÚ70 g ¡¤ L-1ʱ£¬Ïà±ÈÓÎÀë¾ú£¬¹Ì¶¨»¯¾ú¶ÔÔÓ͵ÄÈ¥³ýЧ¹ûÌáÉýÁË30%.CostaµÈ(2014)ÀûÓÿǾÛÌÇСÇò¹Ì¶¨»¯B. pumilus UFPEDA831£¬·¢Ï̶ֹ¨»¯¾úÌå¶Ô̼Ç⻯ºÏÎïÈ¥³ýЧÂÊ´ï90.8%£¬²¢ÇÒ¿ÉÒÔ»ØÊÕÀûÓÃ.Ŀǰ£¬¾ø´ó¶àÊý¹Ì¶¨»¯¼¼ÊõÑо¿¹Ø×¢µÄ½¹µãÊǽµ½âµÄÓ°ÏìÒòËØ£¬ÈçpH¡¢ÑζȺÍζȵȣ¬¶ø¹ØÓڹ̶¨»¯Î¢ÉúÎïµÄ¶Ô²ñÓÍÈ¥³ý»úÀí£¬¼´¶ÔÏÈÀûÓù̶¨»¯²ÄÁ϶ԷÏË® ÖеIJñÓͽøÐÐÎü¸½£¬È»ºó±»¹Ì¶¨ÔÚÔØÌåÉϵÄ΢ÉúÎï½µ½âµÄÑо¿Ïʼû±¨µÀ.
¡¡¡¡Òò´Ë£¬±¾ÊÔÑéÒÔ¿ÎÌâ×éǰÆÚɸѡ»ñµÃµÄÍþÄá˹²»¶¯¸Ë¾úΪÑо¿¾úÖÖ£¬ÒÔÁ®¼ÛÒ׵õĸÄÐÔÖñÌ¿×÷Ϊ¹Ì¶¨»¯ÔØÌ壬±È½ÏÓÎÀë¾úºÍ¹Ì¶¨»¯¾úÌå¶ÔÓÚÒ»¶¨Å¨¶È²ñÓÍÈÜÒºµÄÈ¥³ýЧ¹û£¬Ì½Ì̶ֹ¨»¯¾úÎü¸½Ðͬ½µ½âÈ¥³ý²ñÓ͵͝Á¦Ñ§¹ý³Ì£¬²¢½èÖúºìÍâ¹âÆ×(FTIR)¡¢É¨Ãèµç¾µ(SEM)¡¢ÆøÏàÉ«Æ×-ÖÊÆ×ÁªÓÃ(GC-MS)µÈ±íÕ÷ÊֶΣ¬¶Ô±È·ÖÎö½µ½âǰºóÈÜÒºµÄ³É·Ö±ä»¯£¬Îª¹Ì¶¨»¯¾ú½µ½â²ñÓ͵ĻúÀíÑо¿ÌṩÑо¿»ù´¡ÓëÀíÂÛÒÀ¾Ý.
¡¡¡¡2 ²ÄÁÏÓë·½·¨
¡¡¡¡2.1 ʵÑé²ÄÁÏ
¡¡¡¡2.1.1 ÊÔ¼Á
¡¡¡¡¹©ÊÔ²ñÓÍΪÉÌÓÃ0#²ñÓÍ(ÃÜ¶È 0.84 kg ¡¤ L-1)£¬¾¸ßѹÃð¾úºó£¬ÊÒÎÂϱ£´æÊ¹ÓÃ. ʵÑéËùÓÃÖñÌ¿¹º×Ô¸£ÖÝijÊг¡£¬¾ßÌå²ÎÊýÈçÏ£º±È±íÃæ»ý130.5 m2 ¡¤ g-1£¬Î¢¿×ÈÝ»ý0.059 cm3 ¡¤ g-1£¬Æ½¾ù΢¿×¾¶1.79 nm.
¡¡¡¡¸ÄÐÔÖñÌ¿¿ÅÁ£µÄÖÆ±¸£ºÏȽ«ÖñÌ¿¿ÅÁ£ÓÃÕôÁóË®ÇåÏ´3´Î£¬È¥³ý·Û³¾ºÍ²ÐÁôÎÔÙÖÃÓÚ105 ¡æºæÏäÖÐ6 hºæÖÁºãÖØ£¬¹ý30¡«40Ŀɸ£¬×îºó·ÅÈë600 ¡æÂí¸£Â¯ÖÐìÑÉÕ2 h£¬ÀäÈ´ºóÖÃÓÚ¸ÉÔïÆ÷ÄÚ±¸ÓÃ.
¡¡¡¡2.1.2 ¾úÖÖÓëÅàÑø»ù
¡¡¡¡¾úÖÖΪ±¾¿ÎÌâ×éʵÑéÊÒǰÆÚ´Ó¸£½¨Ä³Á¶Óͳ§É¸Ñ¡·ÖÀëµÄÍþÄá˹²»¶¯¸Ë¾ú(Acinetobacter venetianus)£¬Æä×î¼Ñ½µ½âÌõ¼þΪ£ºÎÂ¶È 30 ¡æ£¬µªÔ´(NH4NO3)0.1 g ¡¤ L-1£¬pH=7.0.
¡¡¡¡ÎÞ»úÑÎÅàÑø»ù£ºK2HPO4 1 g£¬KH2PO4 1 g£¬NH4NO3 1 g£¬MgSO4 0.3 g£¬CaCl2 0.03 g£¬FeSO4 0.005 g£¬ZnSO4 0.002 g£¬MnSO4 0.0002 g£¬ÕôÁóË®1 L£¬pHֵΪ7.0.Luria-Bertani(LB)ÅàÑø»ù£ºµ°°×ëË10 g£¬½Íĸ¸à5 g£¬NaCl 10 g£¬ÕôÁóË®1 L.ÒÔÉÏËùÓÐÅàÑø»ù¾ù¾121 ¡æÃð¾ú20 minºóʹÓã¬Î¢Á¿ÔªËØÓÚÃð¾úǰ¼ÓÈë.²ñÓÍÅàÑø»ù£ºÎÞ»úÑÎÅàÑø»ù£¬Ê®ËÄÍé50 mg ¡¤ L-1.
¡¡¡¡2.2 ʵÑé·½·¨
¡¡¡¡ 2.2.1 ¾úÒºµÄÖÆ±¸
¡¡¡¡´Ó¹ÌÌåÅàÑø»ùÐ±ÃæÉÏÌôȡһ»·¾úÂ䣬½ÓÖÖµ½10 mLÐÂÏʵÄLBÒºÌåÅàÑø»ù£¬30 ¡æÅàÑø24 h.ÔÙ°´1%(Ìå»ý±È)µÄ½ÓÖÖÁ¿×ª½Óµ½ÐÂÏʵÄLBÒºÌåÅàÑø»ù£¬ÅàÑø12 h.½«ÅàÑøÒº×ªÒÆµ½50 mLÀëÐĹÜÖУ¬6000 r ¡¤ min-1ÀëÐÄ5 min£¬ÆúÈ¥ÉÏÇåÒº£¬ÔÙÓÃÎÞ¾úË®³åÏ´ÀëÐÄ£¬Èç´ËÖØ¸´3´Î£¬¼ÓÈëÎÞ¾úË®µ÷µ½²¨³¤600 nm´¦OD600ֵΪ0.7µÄ¾úÐüÒº±¸ÓÃ.
¡¡¡¡2.2.2 ¹Ì¶¨»¯¾úÌåµÄÖÆ±¸
¡¡¡¡³ÆÈ¡0.5 g¸ÄÐÔÖñÌ¿¿ÅÁ££¬¾¸ßÎÂÃð¾úºó¼ÓÈëµ½º¬15 mLÎÞ»úÅàÑø»ùµÄ50 mL×¶ÐÎÆ¿ÖУ¬ÔÙ°´1.5%Ìå»ý±È¼ÓÈë¾úÒº£¬ÓÚ30 ¡æ¡¢150 r ¡¤ min-1ºãÎÂÕñµ´ÏäÖÐÅàÑø1 d£¬Ö±µ½¾úÖê¹Ì¶¨ÔÚÖñÌ¿¿ÅÁ£ÉÏ. ¹Ì¶¨»¯ºóµÄÖñÌ¿¿ÅÁ£ÓÃÎÞ¾úË®³åÏ´3´ÎÈ¥³ý±íÃæµÄÓÎÀë¾ú£¬ÖƵøÄÐÔÖñÌ¿¹Ì¶¨»¯Acinetobacter venetianus(Liu et al.£¬2012).
¡¡¡¡2.2.3 ²ñÓÍÈ¥³ýʵÑé
¡¡¡¡½«¹Ì¶¨»¯¾úÌå¹ýÂ˺󣬼ÓÈëµ½50 mLº¬²ñÓÍŨ¶ÈΪ100 mg ¡¤ L-1µÄÎÞ»úÑÎÅàÑø»ù£¬·ÅÓÚºãÎÂÕñµ´Ï䣬30 ¡æ¡¢150 r ¡¤ min-1ϱܹâÅàÑø£¬·Ö±ðÔÚ0¡¢12¡¢24¡¢36 ¡¢48¡¢60¡¢72¡¢84¡¢96 hʱȡÑù²â¶¨ÅàÑø»ùÖвñÓ͵IJÐÁôÁ¿.·Ö±ðÒÔÓÎÀë¾úºÍ¸ÄÐÔÖñÌ¿×÷Ϊ¶ÔÕÕ£¬Ã¿¸ö´¦ÀíÆ½ÐÐ3´Î.
¡¡¡¡2.2.4 ¹Ì¶¨»¯¾úÌå¶Ô²»Í¬Å¨¶È²ñÓ͵ÄÈ¥³ý¼°Îü¸½-½µ½â¶¯Á¦Ñ§·ÖÎö
¡¡¡¡ÉèÖÃ3×é²ñÓÍŨ¶ÈÅàÑø»ù£¬·Ö±ðΪ80¡¢120¡¢140 mg ¡¤ L-1.¼ÓÈë0.5 g¹Ì¶¨»¯¾úÌ壬ÔÚ30 ¡æ¡¢150 r ¡¤ min-1ÏÂÓÚºãÎÂÕñµ´ÏäÖбܹâÅàÑø£¬·Ö±ðÔÚ0¡¢12¡¢24¡¢36¡¢48¡¢60¡¢72¡¢84¡¢96 hÈ¡Ñù²â¶¨ÈÜÒºÖвñÓÍŨ¶È£¬Ã¿¸ö´¦ÀíÖØ¸´3´Î. ²ñÓ͵ÄÎü¸½Á¿(Q)µÄ¼ÆË㹫ʽÈçÏ£º
¡¡¡¡
¡¡¡¡Ê½ÖУ¬C0Ϊ²ñÓ͵ijõʼŨ¶È(mg ¡¤ L-1)£¬CtΪ·´Ó¦Ê±¼äΪtʱÈÜÒºÖвÐÓàµÄ²ñÓÍŨ¶È(mg ¡¤ L-1)£¬VÊÇÈÜÒºÌå»ý(L)£¬MÊǸÄÐÔÖñÌ¿¿ÅÁ£µÄÖÊÁ¿(g).
¡¡¡¡2.2.5 ²ñÓͼ°Æä½µ½â²úÎï·ÖÎö
¡¡¡¡ÅàÑø»ùÖвñÓͺ¬Á¿·ÖÎö²½ÖèÈçÏ£¬ÏòÅàÑø»ù¡¢×¶ÐÎÆ¿¸÷¼ÓÈë10 mLÕý¼ºÍé×÷ΪÝÍÈ¡¼Á£¬ÊÖ¶¯ÝÍÈ¡5 min£¬¾²ÖÃ10 minÒÆÈ¡ÉÏÇåÒº£¬ÀûÓÃUV-VisÔÚ²¨³¤226.5 nm´¦²â¶¨Îü¹â¶È£¬Íâ±ê·¨¶¨Á¿²ñÓÍŨ¶È.
¡¡¡¡²ñÓͽµ½â²úÎï·ÖÎö²ÉÓÃÆøÏàÉ«Æ×-ÖÊÆ×ÁªÓ÷¨£¬ÑùÆ·µÄÌáÈ¡°´ÕÕVieiraµÈ(2007)±¨µÀµÄ·½·¨.ÒÔÕý¼ºÍéÝÍÈ¡·´Ó¦Ç°ºóº¬²ñÓ͵ÄË®ÈÜÒº£¬Õñµ´5 min£¬ÔÙÌí¼Ó¶¨Á¿µÄÎÞË®ÁòËáÄÆ³ä·ÖÎüË®£¬×îºóÈ¡ÊÊÁ¿×°Æ¿²âÑù£¬·Ö±ð¶Ô·´Ó¦Ç°ºóÈÜÒºµÄÈ¥³ýЧ¹û½øÐзÖÎö.±¾Ñо¿²ÉÓõÄÒÇÆ÷ÊÇGC-MS(Agilent 6890-5975£¬ÃÀ¹ú)£ºDB-5ʯӢëϸ¹ÜÖù(30 m¡Á0. 25 mm¡Á0. 25 ¦Ìm);ÔØÆøÎªHe;Á÷ËÙΪ1 mL ¡¤ min-1;ÖùΠ60 ¡æ£¬ºãÎÂ2 min£¬ÒÔ12 ¡æ ¡¤ min-1ÉýÎÂÖÁ300 ¡æ£¬ºãÎÂ5 min;½øÑù¿ÚζÈ250 ¡æ£¬¼ì²âÆ÷ζÈ300 ¡æ£¬×ÜÔËÐÐʱ¼ä27 min(Morris et al., 2009).
¡¡¡¡2.2.6 SEMÑùÆ·µÄÖÆ±¸Óë·ÖÎö
¡¡¡¡È¡¹Ì¶¨»¯¾úÌåÓÃÎÞ¾úˮϴµÓ3´Î£¬ÔÙʹÓÃ2.5%Îì¶þÈ©»º³åÈÜÒº(pH=7.2)½þÅÝ0.5 h£¬ÓÃÎÞ¾úˮϴȥ²ÐÓàµÄÎì¶þÈ©ºó£¬¼ÓÈ벻ͬŨ¶ÈµÄÒÒ´¼ÈÜÒº(30%¡¢50%¡¢70%¡¢80%¡¢90%ºÍ100%)Öð¼¶ÍÑË®£¬Ã¿¸öŨ¶ÈÍÑË®10 min£¬·ÅÈëÀä¶³¸ÉÔïÆ÷Àï¸ÉÔï8 h. ÔÙ½«ÖƵõÄÑùÆ·¹Ì¶¨ÔÚµ¼µç½ºÉÏ£¬½øÐеÈÀë×Ó±íÃæÅç½ð. ²ÉÓÃÈÕ±¾Hitachi¹«Ë¾(ÐͺÅΪS-570)µÄɨÃèµç×ÓÏÔ΢¾µ£¬¹Û²ìÑùÆ·±íÃæµÄÐÎòÓëÐÎ̬(Liu et al., 2012).
¡¡¡¡2.2.7 FTIR·ÖÎö
¡¡¡¡º¬²ñÓÍË®ÈÜÒº´¦ÀíǰºóµÄ¸µÀïÒ¶±ä»»ºìÍâ¹âÆ×²ÉÓÃÃÀ¹úThermo Corp¹«Ë¾µÄNicolet5700ºìÍâ¹âÆ×ÒÇ(²¨Êý·¶Î§Îª400¡«4000 cm-1£¬4 cm-1µÄ¹âÆ×·Ö±æÂÊ)½øÐзÖÎö£¬²ÉÓÃKBr·¨½øÐÐÖÆÑù.
¡¡¡¡3 ½á¹ûÓëÌÖÂÛ
¡¡¡¡3.1 ¹Ì¶¨»¯¾ú¶Ô²ñÓ͵ÄÈ¥³ýЧ¹û
¡¡¡¡Í¼ 1Ϊ¸ÄÐÔÖñÌ¿¡¢¹Ì¶¨»¯¾úÌåÓëÓÎÀë¾ú¶Ô²ñÓ͵ÄÈ¥³ýÇé¿ö. ´ÓͼÖпÉÖª£¬¸ÄÐÔÖñÌ¿ÔÚ96 hÄÚ¶Ô²ñÓÍÈ¥³ýÂÊ´ïµ½22.6%£¬Õâ±íÃ÷¸ÄÐÔÖñÌ¿¶Ô²ñÓ;ßÓÐÒ»¶¨µÄÎü¸½Ð§¹û£¬µ«Îü¸½ÄÜÁ¦½ÏÈõ. ÓÎÀë¾ú¶Ô²ñÓÍÈ¥³ýÂÊÔÚ96 hÄÚ´ïµ½
80.50%£¬´ËÈ¥³ý¹ý³ÌÒÀ¿¿µÄÊÇ΢ÉúÎïµÄ½µ½âÄÜÁ¦. ÈýÕßÖУ¬¹Ì¶¨»¯¾úµÄ´¦ÀíЧÂÊ×î¸ß£¬ÔÚÅàÑøµÚ96 hʱ¶Ô²ñÓÍÈ¥³ýÂÊ´ïµ½86.35%£¬¸ÃÈ¥³ý¹ý³Ì°üº¬ÁËÖñÌ¿Îü¸½Ð§¹ûºÍ΢ÉúÎï½µ½âÁ½¸ö;¾¶. ²úÉúÕâÖÖÏÖÏóµÄÔÒòÒ»·½Ãæ¿ÉÄÜÊÇÓÉÓÚ¸ÄÐÔÖñÌ¿¾ßÓбíÃæ¶à¿×µÄÌØÐÔ£¬³ýÁ˶ԲñÓ;ßÓÐÒ»¶¨µÄÎü¸½Ð§¹ûÍ⣬»¹ÎªÎ¢ÉúÎïµÄÉú³¤ÌṩÁ˹ãÀ«µÄ¿Õ¼ä£¬Ìá¸ßÁËϸ¾úµÄÃܶȣ¬´Ù½øÁËϸ¾ú¶Ô²ñÓ͵Ľµ½â(Liu et al., 2012);ÁíÒ»·½Ã棬²ñÓÍÖÐijЩÌþµÄ×é·Ö¾¹ýÉúÎï½µ½âÖ®ºó»á²úÉúһЩ¶Ô΢ÉúÎïÉú³¤²úÉúÒÖÖÆµÄ²úÎÕâЩÓж¾²úÎïµÄ»ýÀÛ»áÓ°Ïì΢ÉúÎïϸ°ûµÄÉú³¤·±Ö³£¬ÉúÎïÔØÌåÄܹ»ÓÐЧµØÆÁ±Î¶¾ÐÔÎïÖʶԾúÖêµÄ¶ñÐÔÇÖº¦£¬ÔöÇ¿ÆäÊÊÓ¦ÐÔ(Íô½ÜµÈ£¬2010).¶ÔÓÚËùÓд¦Àí£¬½µ½âËÙÂÊÔÚǰ24 hÄڽϿ죬֮ºó¿ªÊ¼±ä»º£¬Õâ¿ÉÄÜÊÇÓÉÓÚËæ×Å΢ÉúÎïÊýÁ¿µÄ¼±¾çÔö³¤£¬ÓªÑøÎïÖʱ»ÏûºÄ£¬Î¢ÉúÎ↑ʼ˥Íö£¬ÇÒ²ñÓͱ»·Ö½âºó²úÉúµÄһЩÎïÖÊÒ²»á¶ÔÆä²úÉú¶¾º¦×÷Óã¬Ê¹½µ½âÂʽµµÍ.
ͼ 1 ÓÎÀë¾ú¡¢¸ÄÐÔÖñÌ¿¡¢¹Ì¶¨»¯¾úÔÚ96 hÄÚ¶Ô²ñÓ͵ÄÈ¥³ýЧÂÊ
¡¡¡¡3.2 ¹Ì¶¨»¯¾ú¶Ô²»Í¬Å¨¶È²ñÓ͵ÄÈ¥³ý
¡¡¡¡¹Ì¶¨»¯¾ú¶Ô²»Í¬Å¨¶È²ñÓ͵ÄÈ¥³ýÈçͼ 2Ëùʾ.´ÓͼÖпÉÒÔ¿´³ö£¬¹Ì¶¨»¯¾ú¶Ô3ÖÖ²»Í¬³õʼŨ¶ÈµÄ²ñÓ͵ÄÈ¥³ýÂÊËæÊ±¼äµÄ±ä»¯Ç÷ÊÆ»ù±¾Ò»ÖÂ.ʵÑéǰÆÚÓÉÓÚË®ÖвñÓͳä·Ö£¬Î¢ÉúÎï»îÐԸߣ¬²ñÓ͵Ľµ½âËÙÂÊ×î¿ì£¬8 hÄÚ¶Ô3ÖÖŨ¶È²ñÓ͵ÄÈ¥³ýÂʳ¬¹ý80%. Ëæ×ÅÅàÑøÊ±¼äÑÓ³¤£¬²ñÓÍ×÷Ϊ̼Դ±»´óÁ¿ÏûºÄ£¬ÅàÑøÒºÖеÄÓªÑøÎïÒ²Öð½¥¼õÉÙ£¬½µ½â¾úµÄÉú³¤ËÙÂʽµµÍ. ÁíÍ⣬½µ½â²úÎïµÄ²»¶Ï»ýÀÛ¶Ôϸ¾úµÄÒÖÖÆ×÷ÓÃÒ²¿ÉÄÜÊÇÈ¥³ýÂÊϽµµÄÒ»¸öÓ°ÏìÒòËØ(Wang et al., 2012). ÅàÑø96 hºó£¬¹Ì¶¨»¯¾ú¶Ô3ÖÖ²»Í¬Å¨¶ÈµÄ²ñÓ͵ÄÈ¥³ýÂÊ·Ö±ð´ïµ½84.8%(80 mg ¡¤ L-1)¡¢88.8%(120 mg ¡¤ L-1)ºÍ90.5%(140 mg ¡¤ L-1). ¹Ì¶¨»¯¾ú¶Ô³õʼŨ¶ÈΪ140 mg ¡¤ L-1µÄ²ñÓÍË®ÈÜҺȥ³ýÂÊÒª¸ßÓÚ80 mg ¡¤ L-1²ñÓÍË®ÈÜÒº£¬½øÒ»²½ËµÃ÷¹Ì¶¨»¯¾úÄܹ»ÒÔ²ñÓÍ×÷Ϊ̼Դ£¬½ø¶ø´ïµ½½µ½â²ñÓ͵ÄÄ¿µÄ£¬Í¬Ê±±íÃ÷¹Ì¶¨»¯¾ú¶Ô¸ßŨ¶È²ñÓ;ßÓнÏÇ¿µÄÄÍÊÜÐÔ.
ͼ 2 ¹Ì¶¨»¯¾úÔÚ12 hÄÚ¶Ô²»Í¬³õʼŨ¶ÈµÄ²ñÓ͵Ľµ½âÇé¿ö
¡¡¡¡3.3 Îü¸½-½µ½â¶¯Á¦Ñ§·ÖÎö
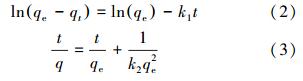
¡¡¡¡ÎªÁ˽øÒ»²½Ñо¿¹Ì¶¨»¯¾ú¶Ô²»Í¬Å¨¶È(80¡¢120¡¢140 mg ¡¤ L-1)²ñÓ͵ÄÈ¥³ý»úÀí£¬ÓÃαһ¼¶¶¯Á¦Ñ§Ä£ÐÍ(2)(Lin et al., 2013)ºÍα¶þ¼¶¶¯Á¦Ñ§Ä£ÐÍ(3)(Lin et al., 2013)À´ÄâºÏ¹Ì¶¨»¯¾ú½µ½â²ñÓÍÈÜÒº12 hÄÚµÄÎü¸½-½µ½â¶¯Á¦Ñ§£¬½á¹ûÈç±í 1Ëùʾ.
±í 1 ²ñÓÍÔÚ²»Í¬³õʼŨ¶ÈϵĽµ½â¶¯Á¦Ñ§ÄâºÏ½á¹û
¡¡¡¡Ê½ÖУ¬qtÊÇtʱ²ñÓ͵ÄÈ¥³ýÁ¿(mg ¡¤ g-1)£¬qeÊÇÆ½ºâʱµÄ²ñÓÍÈ¥³ýÁ¿(mg ¡¤ g-1)£¬k1ÊÇαһ¼¶¶¯Á¦Ñ§ËÙÂʳ£Êý(min-1)£¬k2ÊÇα¶þ¼¶¶¯Á¦Ñ§ËÙÂʳ£Êý(g ¡¤ mg-1 ¡¤ min-1)£¬qe¡¢k1ºÍk2Öµ¶¼¿ÉÒÔͨ¹ýqtºÍtµÄͼ±í¹ØÏµ»ñµÃ.
¡¡¡¡¶¯Á¦Ñ§ÄâºÏËùµÃÏà¹Ø²ÎÊýÈç±í 1Ëùʾ£¬ÔÚËùÓÐŨ¶È²ñÓÍË®ÈÜÒºÖУ¬Î±¶þ¼¶¶¯Á¦Ñ§Ä£ÐÍÄâºÏЧ¹û(R2 >0.99)ºÃÓÚαһ¼¶¶¯Á¦Ñ§Ä£ÐÍ(R2 <0.96). µ±²ñÓ͵ĺ¬Á¿·Ö±ðΪ80¡¢120ºÍ140 mg ¡¤ L-1ʱ£¬Æä¶ÔÓ¦µÄÈ¥³ýËÙÂʳ£Êýk·Ö±ðΪ0.1426¡¢0.0993ºÍ0.0854 g ¡¤ mg-1 ¡¤ min-1£¬ÕâÒ»½á¹û¿ÉÒÔ˵Ã÷²ñÓ͵ijõʼº¬Á¿Ô½¸ß£¬ÆäÈ¥³ýËÙÂÊÔ½Âý. ¸ù¾Ýα¶þ¼¶Ä£ÐͼÆËãµÄ²»Í¬Å¨¶È²ñÓ͵ÄqeÀíÂÛÖµ(7.01¡¢10.07¡¢11.70 mg ¡¤ g-1)¸ü½Ó½üÓÚʵÑé¹Û²âÖµ(6.739¡¢10.304¡¢12.637 mg ¡¤ g-1). ½á¹û±íÃ÷£¬¹Ì¶¨»¯¾úÈ¥³ý²ñÓ͸ü·ûºÏα¶þ¼¶¶¯Á¦Ñ§Ä£ÐÍ£¬Õâ˵Ã÷¶à¸ö¹ý³Ì¿ØÖƹ̶¨»¯¾úÌå¶Ô²ñÓ͵ÄÈ¥³ý.¸ÄÐÔÖñÌ¿±íÃæ·á¸»µÄ¹ÙÄÜÍźÍÄÚ²¿Î¢¿×µÄ½á¹¹£¬¾ù¶Ô²ñÓÍÎü¸½ÓÐËù¹±Ï×.ÔÚ²ñÓÍ´ÓË®ÏàÏòÖñÌ¿Ç¨ÒÆµÄ¹ý³ÌÖУ¬¾ÀúÁËˮĤÀ©É¢¡¢ÖñÌ¿¿ÅÁ£±íÃæÀ©É¢ºÍÖñÌ¿ÄÚ²¿Î¢¿×À©É¢µÈ¶àÖÖ¹ý³Ì.²ñÓÍ·Ö×Ó½øÈë¸ÄÐÔÖñÌ¿ÔØÌåºó£¬¸ºÔØÔÚÔØÌåÄÚÍâµÄ΢ÉúÎォ×ÜʯÓÍÌþ×÷Ϊ̼ԴºÍÄÜÔ´ÎïÖÊ£¬ÔÚÌåÄÚÍâøµÄ×÷ÓÃϽ«Æä´úл·Ö½â(Wang et al., 2015).
¡¡¡¡¸ù¾ÝÉÏÊöµÄÎü¸½-½µ½â¶¯Á¦Ñ§½á¹û£¬Ìá³öÒ»¸ö¿ÉÄܵĹ̶¨»¯¾úÎü¸½Ðͬ½µ½âµÄ¹ý³Ì»úÀí£¬¿É·ÖΪÁ½¸ö½×¶Î£ºÔÚµÚÒ»½×¶Î£¬¹Ì¶¨»¯ÔØÌåµÄÎü¸½·¢»ÓÖ÷Òª×÷Ó㬵¼Ö²ñÓ͵ÄŨ¶È½µµÍ;µÚ¶þ½×¶Î£¬¹Ì¶¨»¯¾ú½µ½â´úлÆðÖ÷µ¼×÷Óã¬ÕâЩ¼ÙÉ轫±»ºóÐøµÄGC-MS¼°FTIRµÈ·ÖÎöÊֶνøÒ»²½Ö¤Êµ;×îºó½×¶Î£¬Á½¸ö¹ý³ÌµÄ×ÛºÏ×÷ÓÃʹÈÜÒºÀïµÄ²ñÓÍŨ¶È´ïµ½¶¯Ì¬Æ½ºâ.
¡¡¡¡3.4 SEM½á¹û
¡¡¡¡¹Ì¶¨Ç°ºóµÄ¸ÄÐÔÖñÌ¿±íÃæµÄSEM½á¹ûÈçͼ 3Ëùʾ. ´Óͼ 3a¿ÉÖª£¬Ôڹ̶¨»¯Ö®Ç°£¬¸ÄÐÔÖñÌ¿±íÃæ»ý½Ï´ó£¬ÇÒ°¼Í¹²»Æ½£¬·Ö²¼×Å´óС²»Ò»µÄ΢¿×. ÕâÖÖ΢¿×½á¹¹Äܹ»±£Ö¤ÑõÆø¡¢ÓªÑøÔªËصÄÊäËͼ°½µ½âµ×ÎïµÄÅÅ·Å. Õâ³ä·Ö˵Ã÷¸ÄÐÔÖñÌ¿ÊÇ΢ÉúÎï¹Ì¶¨»¯µÄÀíÏëÔØÌ壬ÆäËù¾ßÓжà¿×½á¹¹Äܹ»ÎªÎ¢ÉúÎïÌṩ×ã¹»µÄÉú³¤¿Õ¼ä. ´ËÍ⣬΢¿×½á¹¹Ò²¿ÉΪÎÛȾÎïÌṩ½øÈëÔØÌåÄÚ²¿µÄͨµÀ(Wang et al., 2012). ´Óͼ 3b¿É¼û£¬ÔÚ¿××´½á¹¹ÖÐÓÐ΢ÉúÎïÉú³¤£¬ÇÒ·Ö²¼ÔÚ¸ÄÐÔÖñÌ¿ÔØÌåÉϵľúÂäÐÎ̬²¢²»ÍêȫһÖ£¬ÓÐЩϸ¾úÍÅ´ØÔÚÒ»Æð£¬ÓÐЩÔò´¦ÓÚ·Öɢ״̬. ÓÉ´Ë˵Ã÷£¬ÖñÌ¿¹Ì¶¨Ï¸¾ú¿ÉÄÜ´æÔÚÁ½ÖÖ;¾¶£¬°üÀ¨¾úÌå¼äµÄÎïÀíÎü¸½¼°Ï¸¾úÓëÔØÌå¼äµÄ½»Áª×÷ÓÃ(Qiao et al., 2010).
ͼ 3 ¸ÄÐÔÖñÌ¿¹Ì¶¨»¯¾úǰ(a)¡¢ºó(b)µÄµç¾µÍ¼
¡¡¡¡3.5 FTIR½á¹û
¡¡¡¡Í¼ 4Êǹ̶¨»¯¾úÈ¥³ý²ñÓÍË®ÈÜҺǰºóµÄFTIRÆ×ͼ.ÓÉͼ 4¿ÉÖª£¬½µ½âǰ²ñÓÍË®ÈÜÒºµÄºìÍâÆ×ͼÖУ¬3850¡«3500 cm-1·¶Î§ÄÚ´æÔÚµÄ3733.9 cm-1¼°3454.4 cm-1ÎüÊշ壬ÕâÊÇÓÉÇ¿ÁÒµÄôÇ»ùÉìËõÕñ¶¯ÒýÆðµÄ(Swiatkowski et al., 2004). 2970¡«2840 cm-1Ϊ±¥ºÍ̼Ç⻯ºÏÎïµÄÌØÕ÷·å£¬Ïµ¼×»ù¡¢ÑǼ׻ùºÍ´Î¼×»ùµÄÉìËõÕñ¶¯ºÍÍäÇúÕñ¶¯ÎüÊÕ·å.1572.1 cm-1´¦³öÏÖµÄÇ¿ÁÒÉìËõÕñ¶¯·åΪ±½»·¹Ç¼ÜÕñ¶¯²úÉú(Cabal et al., 2009)£¬1470¡«1430 cm-1·¶Î§ÄÚµÄ1448.6 cm-1ÎüÊÕ·åΪC¡ªCH3ÍäÇúÕñ¶¯·å£¬ÔÚ1250¡«1150 cm-1ÇøÄÚ³öÏÖµÄ1210 cm-1·åΪ֧Á´ÍéÌþµÄC¡ªC¹Ç¼ÜÕñ¶¯ÎüÊÕ·å.²ñÓͽµ½âºóºìÍâÆ×ͼÖУ¬ÔÚ3495¡«3430 cm-1³öÏÖµÄ3437.2 cm-1·åΪ·¼ÏãÖÙ°·µÄÉìËõÕñ¶¯·å£¬2924.4 cm-1¸½½üµÄÎüÊÕ·åΪôÈËáµÄÌØÕ÷·å£¬1410¡«1310 cm-1·¶Î§ÄÚµÄ1407.8 cm-1·åΪõ¥À༰´¼ÀàµÄÇ¿ÁÒÉìËõÕñ¶¯·å.±È½Ï½µ½âǰºóµÄ²ñÓÍË®ÈÜÒºµÄºìÍâͼÆ×·¢ÏÖ£¬¹Ì¶¨»¯¾úÌåϵÄܹ»ÓÐЧµØ´¦Àí²ñÓÍÖеIJ»Í¬×é·Ö£¬¾·´Ó¦ºó£¬´úл²úÎïÖÐÓÐôÈËáÀà¡¢õ¥Àà¡¢´¼ÀàµÈÎïÖʲúÉú.ºÎÁ¼¾ÕµÈ(2004)Ñо¿±íÃ÷£¬Ê¯ÓÍÀàÎïÖÊÔÚ΢ÉúÎïµÄ×÷ÓÃÏ£¬Öмä²úÎïÍùÍùÒÔÖ¬·¾ËáÀàÎïÖʾӶà. ¶ÌÁ´ÍéÌþµÄÑÇÄ©¶ËÑõ»¯Îª´¼ºÍÏàÓ¦µÄÖ¬·¾Ëá(Forney et al., 1968);Ö±Á´ÍéÌþµÄ΢ÉúÎï½µ½â;¾¶ÒÔµ¥Ä©¶ËÑõ»¯ºÍ˫ĩ¶ËÑõ»¯Éú³É¶þÔªôÈËáΪÖ÷(McKenna et al., 1970);·¢Éúµ¥Ä©¶ËÑõ»¯Ê±£¬ÍéÌþÑõ»¯ÎªÏàÓ¦µÄÈ©ºÍÖ¬·¾Ëá;¶ø·¢Éú˫ĩ¶ËÑõ»¯£¬ÔòÊÇÍéÌþ±»×ª»¯³É¶þÔªôÈËá(Scheller et al., 1998). Õâ±íÃ÷²ñÓ͵Ľµ½â¹ý³ÌÖв»½öÓе¥Ä©¶ËÑõ»¯¡¢´ÎÄ©¶ËÑõ»¯£¬Í¬Ê±»¹ÓÐ˫ĩ¶ËÑõ»¯.
ͼ 4 ¸ÄÐÔÖñÌ¿¹Ì¶¨»¯¾úǰ(a)¡¢ºó(b)µÄµç¾µÍ¼
¡¡¡¡3.6 GC-MS·ÖÎö½á¹û
¡¡¡¡ÎªÁË̽¾¿²ñÓ͵ÄÈ¥³ýÇé¿ö£¬·Ö±ð¶Ô΢ÉúÎï½µ½âǰºóµÄ²ñÓÍË®ÈÜÒº½øÐÐGC-MS·ÖÎö. ͼ 5·Ö±ðÊDzñÓÍ¡¢ÓÎÀë¾ú½µ½âºó¼°¹Ì¶¨»¯¾úÈ¥³ýºóµÄGC-MSÆ×ͼ.´ÓͼÖпÉÒÔ¿´³ö£¬ÍþÄá˹²»¶¯¸Ë¾ú¿ÉÒÔ¸ßЧµÄ½µ½â²ñÓ͸÷ÖÖ³¤¶ÈµÄÍéÌþ. ÓÉͼ 5b¿ÉÖª£¬¾¹ýÓÎÀë¾ú½µ½âºó£¬²ñÓÍÖг¤Á´ÍéÌþ(C16¡«C30)¼¸ºõÍêÈ«½µ½â£¬¶ÔC11¡¢C6¡¢C8µÄ½µ½âÂÊ·Ö±ð´ïµ½83.05%¡¢59.54%¡¢55.48%.ÌþÀàµÄ½µ½âÖ÷ÒªÒÀÀµÓÚ΢ÉúÎïµÄ½µ½âÄÜÁ¦£¬ÓÖÊÜÌþÀà×ÔÉíÐÔÖÊËùÖÆÔ¼.LiuµÈ(2011)ÈÏΪ±¥ºÍÌþ½Ï²»±¥ºÍÌþ¸üÒ×½µ½â£¬Õâ¾ÍʹµÃC16¡«C24·¶Î§ÄÚµÄÍéÌþ¾ßÓкõĽµ½âÐÔ. ´Óͼ 5cÖпÉÒÔ¿´³ö£¬ÔÚ·´Ó¦96 hºó£¬¹Ì¶¨»¯¾ú½ÏÓÎÀë¾ú¶Ô²ñÓ͵ÄÈ¥³ý¸üΪ³¹µ×£¬²ñÓÍÄÚ²»Í¬×é·Ö¾ùµÃµ½ÓÐЧµØ½µ½â.¿ÉÄÜÊÇÊèË®ÐԹ̶¨»¯ÔØÌå²»½öÓëµ×ÎïÖ®¼ä´æÔÚןßÇ׺ÍÐÔ£¬¶øÇÒΪ½µ½â¾úµÄÉú³¤ÌṩÁËÁ¼ºÃµÄ΢»·¾³£¬´Ùʹ¾úÖê¸üÈÝÒ×Óëµ×Îï½Ó´¥²¢·¢Éú·´Ó¦£¬´Ó¶ø¼Ó¿ì½µ½âËÙÂÊ(Hou et al., 2013). ²ñÓÍÖв¿·ÖÌþµÄ½µ½â²úÎï¿ÉÄܶÔ΢ÉúÎïµÄÉú³¤·±Ö³²úÉúÒÖÖÆ×÷Ó㬶øÔØÌå¶ÔÓж¾µ×ÎïµÄÀ©É¢»á²úÉúÒ»¶¨µÄ×è°×÷Óã¬Ê¹µÃ¹Ì¶¨»¯¾ú±íÃæµÄʵ¼Ê¶¾ÎïŨ¶È½µµÍ£¬½ø¶ø¶Ôϸ°ûÓÐÒ»¶¨µÄ±£»¤×÷ÓÃ(Yamaguchi et al., 1999). Morris µÈ(2009)ÔÚ¶Ô΢ÉúÎï½µ½âºóµÄ²ñÓÍË®ÈÜÒº½øÐÐGC-MS·ÖÎöʱ·¢ÏÖ£¬ÔÚ4 min×óÓÒ²úÉúÁË´óÁ¿µÄÒÒËᡢͪÀà¡¢õ¥Àà¡¢Îì¶þ´¼µÈÎïÖÊ£¬ÕâÒ»½á¹ûÓëͼ 5bÖÐÉ«Æ×·åµÄ½á¹û½ÏΪÏàËÆ.Òò´Ë£¬½áºÏFTIR½á¹ûÎÒÃÇÍÆ²â£¬Acinetobacter venetianus¶Ô²ñÓ͵Ľµ½âÊǵ¥Ä©¶ËÑõ»¯¡¢´ÎÄ©¶Ë¶ÌÑõ»¯¡¢Ë«Ä©¶ËÑõ»¯µÈ¶àÖÖÑõ»¯Í¾¾¶×ÛºÏ×÷ÓõĽá¹û.
ͼ 5 ÓÎÀë¾úºÍ¹Ì¶¨»¯¾ú½µ½â²ñÓÍÈÜÒºµÄGC-MSͼ(a.²ñÓÍÈÜÒº¿Õ°×¶ÔÕÕ×é; b.ÓÎÀë¾ú½µ½â²ñÓÍÈÜÒº;c.¹Ì¶¨»¯¾ú½µ½âºóµÄ²ñÓÍÈÜÒº)
¡¡¡¡4 ½áÂÛ
¡¡¡¡1)ͨ¹ýÑо¿¸ÄÐÔÖñÌ¿¹Ì¶¨»¯Acinetobacter venetianusÈ¥³ýË®ÌåÖеIJñÓÍ£¬¿ÉÖª¹Ì¶¨»¯¾ú¶Ô²ñÓ͵ÄÈ¥³ýЧ¹û¸ßÓÚÓÎÀë¾ú£¬¶Ô140 mg ¡¤ L-1µÄ²ñÓÍË®ÈÜÒºµÄÈ¥³ýÂÊ´ïµ½90.5%;¶ø¸ÄÐÔÖñÌ¿±íÃæ¶à¿×µÄÌØÐÔ¶Ô²ñÓÍ´æÔÚÒ»¶¨µÄÎü¸½×÷ÓÃ; ¹Ì¶¨»¯¾ú¶Ô²ñÓ͵ÄÎü¸½Ðͬ½µ½â¹ý³ÌÄâºÏ½á¹û·ûºÏα¶þ¼¶¶¯Á¦Ñ§£¬Õâ±íÃ÷ÓÍÀà·Ö×ÓÊ×Ïȱ»¸ÄÐÔÖñÌ¿Îü¸½£¬ÔÙ±»ÍþÄá˹²»¶¯¸Ë¾ú½µ½â.
¡¡¡¡2)ͨ¹ý¶ÔSEM½á¹û·ÖÎö£¬Ö¤Êµ¸ÄÐÔÖñÌ¿Äܹ»ºÜºÃµØ¹Ì¶¨Acinetobacter venetianus.½áºÏFTIRºÍGC-MS½á¹ûÍÆ²â£¬²ñÓ;¹ýÍþÄá˹²»¶¯¸Ë¾ú½µ½âÖ®ºó£¬²¿·Ö×é·Öת»¯ÎªÍªÀà¡¢ôÈËáÀ࣬Õâ±íÃ÷Ôڹ̶¨»¯¾úÔÚÈ¥³ý²ñÓͲ»Í¬×é·ÖµÄ¹ý³ÌÖдæÔÚ×ŶàÖÖ½µ½â»úÖÆ.














