ÒÔÁù¼Û¸õ·ÏˮΪ´¦Àí¶ÔÏ󣬲ÉÓõçÐõÄý¹ý³ÌÑо¿Á˲۵çѹ¡¢³õʼŨ¶È¡¢³õʼpHÖµ¡¢µç¼«²ÄÁϵȹ¤ÒÕ²ÎÊý¶ÔµçÐõÄý¹ý³Ì·ÖÀëCr£¨¢ö£©Àë×ÓЧÂʵÄÓ°Ïì»úÀí¡£½á¹û±íÃ÷£¬²ÉÓÃFe/Feµç¼«£¬¶Ô³õʼŨ¶ÈΪ105 mg/LµÄCr£¨¢ö£©Àë×Ó·ÏË®£¬×îÓŲ۵çѹΪ4 V£¬³õʼpHֵΪ6£¬µç½â60 min£¬È¥³ýÂʿɴﵽ98.84%¡£Cr£¨¢ö£©µÄÈ¥³ýÂÊËæ×Ų۵çѹµÄÉý¸ß¶øÔö´ó£¬Ëæ×ųõʼŨ¶ÈÒÔ¼°³õʼpHÖµµÄÔö¼Ó¶ø¼õС¡£
Ñо¿·¢ÏÖ£¬³õʼpHÖµ¾ö¶¨µçÐõÄý¹ý³ÌÖÐCr£¨¢ö£©µÄÖ÷Ҫȥ³ý·½Ê½£¬ÔÚÆ«ÖÐÐÔ·¶Î§ÄÚCr£¨¢ö£©Ö÷Ҫͨ¹ýÐõÌåÎü¸½×÷ÓÃÈ¥³ý¡£¶Ô²»Í¬µç¼«²ÄÁϵĵçÐõÄý¹ý³Ìµç½â²úÉúµÄÐõÌå½øÐÐÁ˳õ²½·ÖÎö£¬½á¹û±íÃ÷£¬ÐõÌå³É·ÖÒòµç¼«²»Í¬¶øÒ죬²»Í¬ÐõÌå¶ÔÖØ½ðÊôÀë×ÓÎü¸½ÄÜÁ¦µÄ²îÒìÒ²½Ï´ó¡£
ÖØ½ðÊô¸õÊÇµç¶ÆÐÐÒµÖÐ×îÖ÷ÒªµÄÎÛȾÎï¡£¸ù¾ÝÊÀ½çÎÀÉú×éÖ¯£¨WHO£©¹«²¼µÄ×ÊÁÏ£¬¸õÊÇÒѱ»È·Ö¤µÄÖ°©ÎïÖÊÖ®Ò»£¬ÇÒÁù¼Û¸õ£¨Cr£¨VI£©£©Òѱ»ÃÀ¹ú»·¾³±£»¤¾Ö£¨EPA£©È·¶¨Îª17Öָ߶ÈΣÏյ;ÐÔÎïÖÊÖ®Ò»¡£µ±Ç°º¬¸õ·ÏË® µÄ´¦Àí¹¤ÒÕÖ÷ÒªÓл¯Ñ§ÐõÄý¡¢»¯Ñ§³Áµí¡¢Îü¸½·¨¡¢Ä¤·ÖÀë·¨¡£´«Í³µÄ»¯Ñ§ÐõÄý¡¢»¯Ñ§³Áµí·¨»á²úÉú¶þ´ÎÎÛȾÇÒЧÂʵͣ¬Í¬Ê±£¬Îü¸½·¨ºÍĤ·ÖÀë·¨³É±¾¾ù½Ï¸ß¡£µçÐõÄý¹ý³Ì¼æ¾ßµç»¯Ñ§Ñõ»¯¡¢ÐõÄýºÍÆø¸¡3ÖÖ×÷Ó㬲úÉúµÄÎÛÄàÁ¿ÉÙ£¬ÐõÌåÒ×ÍÑË®¡¢¸üÎȶ¨¡¢¸üÒ×·ÖÀ룬ÎÞ¶þ´ÎÎÛȾ£¬Êǽü¼¸Äê·¢Õ¹ÆðÀ´µÄÆÄ¾ß¾ºÕùÁ¦µÄ¸õÀë×Ó·ÏË®´¦Àí·½·¨¡£
½üÄêÀ´£¬µçÐõÄý£¨electrocoagulation£¬EC£©¹ý³ÌÈ¥³ý·ÏË®ÒýÆðÁËÐí¶àѧÕß¹Ø×¢¡£Ïà¶ÔÓÚ»¯Ñ§ÐõÄý£¬µçÐõÄý¹ý³Ì²úÉúµÄÎü¸½ÐõÌ壬¿ÅÁ£³ß´çҪԶСÓÚ»¯Ñ§ÐõÄý£¬·ÖÉ¢³Ì¶È½ÏΪ¾ùÔÈ¡£Í¬Ê±Òõ¼«µç½â²úÉúµÄ΢Ã׳ߴçµÄÇâÆøÆðµ½ÁËÆø¸¡×÷Óã¬ÆäÆø¸¡Ð§¹ûÒªÔ¶ºÃÓÚ»¯Ñ§ÐõÄýÖÐÆØÆøÏµÍ³µÄÆøÅÝ¡£Ïà¶ÔÓÚ´«Í³µÄ»¯Ñ§·½·¨£¬µçÐõÄý¹ý³ÌµÃµ½µÄÎÛÄàÁ¿¸üÉÙ£¬ÎÛÄàÍÑË®ÐÔÄܸüºÃ£¬ÓÐÀûÓÚ×îÖÕµÄÎÛÄà´¦Àí¡£ÔÚ¶ÔÂÈÀë×Ó¡¢pHÖµ¡¢Cr£¨III£©³õʼŨ¶È¡¢µçÁ÷µÈÒòËØ¶ÔÈ¥³ýЧ¹ûµÄÓ°ÏìÑо¿Öз¢ÏÖ£¬´®ÁªÁ¬½Óµç¼«±È²¢ÁªÈ¥³ýЧ¹û¸üºÃ£¬µ«µçÁ÷ЧÂʽϵͣ¬µçÄÜÏûºÄºÍµç¼«²ÄºÄ·Ö±ð¸ß³ö²¢ÁªÊ±40%ºÍ43%¡£
Óɴ˿ɼû£¬¶ÔµçÐõÄý¼¼Êõ´¦Àíº¬¸õ·ÏË®¹ý³ÌÖеIJ»Í¬Ó°Ïì²ÎÊýÒѾÓÐÁËÒ»¶¨µÄÑо¿£¬µ«¶ÔµçÐõÄý¹ý³Ì»úÀíµÄÑо¿È´ºÜÉÙ¡£¼øÓڵ缫ºÄ²Ä³É±¾ÎÊÌ⣬Ŀǰ¹¤ÒµÉÏÖ÷Òª²ÉÓÃFe/Feµç¼«Îªµç¼«²ÄÁÏ£¬ÎªÊ¹Ñо¿¾ß±¸¸üºÃµÄÓ¦ÓüÛÖµ£¬ÊµÑéͬÑùÒÔFe/Feµç¼«µÄµçÐõÄý¹ý³ÌΪÖ÷ÒªÑо¿ÏµÍ³£¬Ñ°ÕÒ²Ûµçѹ¡¢³õʼŨ¶È¡¢³õʼpHÖµ¶ÔEC¹ý³Ì·ÖÀëCr£¨VI£©µÄ×î¼Ñ¹¤ÒÕ²ÎÊý£¬²¢ÔÚ´Ë»ù´¡ÉÏ£¬¶ÔEC²úÉúµÄÎü¸½ÐõÌå½øÐÐÁ˳õ²½·ÖÎö£¬Ì½Ë÷Á˵缫²ÄÁ϶ÔÈ¥³ýCr£¨VI£©µÄÈ¥³ýÂÊÒÔ¼°ÐõÌåÖÖÀà¡¢×é³ÉµÄÓ°Ïì¡£
1 EC¹ý³ÌÔÀí
ÔÚEC¹ý³ÌÖУ¬ÎþÉüÑô¼«£¨Fe»òAl¡££©µç½â²úÉú½ðÊôÑôÀë×Ó£¬Òõ¼«Ë®µç½â²úÉúH2ºÍOH-£¬Ôڵ糡×÷ÓÃϽðÊôÑôÀë×ÓºÍOH-·¢ÉúµçÇ¨ÒÆ£¬ÔÚÈÜÒºÖл¥Ïà½áºÏ²¢Ë®½âÉú³Éµ¥ºË»ò¶àºËÇâÑõ»¯ÎïÐõÌ壬×îÖÕÐγÉÓи߱ȱíÃæ»ýÇÒº¬Óзḻ±íÃæôÇ»ùµÄÇâÑõ»¯ÎïÐõÌ塣ͨ¹ýÅäºÏÎü¸½¡¢Íø²¶¾íɨ¡¢Îü¸½¼ÜÇŵÈ×÷ÓÃÎü¸½Ë®ÖеÄÓж¾ÎïÖÊ¡£Í¬Ê±£¬Òõ¼«µç½â²úÉúµÄH2ÆøÅݿɽ«ÐõÌ寸¸¡ÔËÊäÖÁÈÜÒº±íÃæ¶ø·ÖÀë¡£
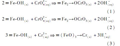
1.1ÐõÌåµÄÅäºÏÎü¸½·´Ó¦
Îü¸½ÐõÌå±íÃæ·Ö²¼ÓбíÃæôÇ»ù£¨ÒÔÈýFe-OH±íʾ£©£¬±íÃæôÇ»ùºÍÖØ½ðÊôCrµÄÅäλ·´Ó¦Ê½Îª£º
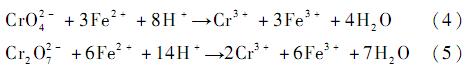
1.2Ñõ»¯»¹Ô·´Ó¦
ÈÜÒºÖÐCr£¨VI£©»á±»Fe2+»¹Ô£¬·´Ó¦Ê½Îª£º
2ʵÑ鲿·Ö
ʵÑé×°ÖÃΪ×ÔÐÐÉè¼ÆµÄÓлú²£Á§µç½â²Û£¬ÄÚÓеȼä¾à°¼²ÛÒÔÆ½Ðй̶¨µç¼«°å£¬³ß´çΪ109mm*74mm*208mm£¬ÓÐЧ´¦ÀíÌå»ýΪ1L¡£µç¼«²ÄÁÏΪÌúƬºÍÂÁƬ£¬³ß´çΪ63mm*147mm*15mm¡£¡£
ʵÑéÓ÷ÏˮΪK2Cr2O6ÅäÖÆµÄCr£¨VI£©Ä£Äâ·ÏË®¡£ËùÓÐʵÑé¾ù²ÉÓÃÖ±Á÷ºãѹģʽ£¬ÔÚÊÒÎÂϽøÐС£
¸÷µç¼«°å¼ä²ÉÓõ¥¼¶Ê½½Ó·¨£¬Ã¿´ÎʵÑé¾ùÓÃ6¿é¼«°å£¬Ñô¼«°åºÍÒõ¼«°å¸÷?¿é£¬µç¼«¼ä¾àΪ1cm¡£ÊµÑéǰÏÈÓÃ240Ŀɰֽ´ÖÄ¥£¬ÔÙÓÃ500Ŀɰֽ¶Ôµç¼«½øÐÐϸĥÖÁ¹âÁÁ£¬ÔÙÓÃÔ¼7%¡«8%µÄÑÎËá½þÅÝ10min£¬ºóÓÃ×ÔÀ´Ë®³åÏ´¸É¾»£¬¼´¿ÌʹÓá£
ÏêÇéÇëµã»÷ÏÂÔØ¸½¼þ£ºµçÐõÄý¹ý³Ì´¦Àíº¬¸õ·ÏË®














