汽车涂装工艺一般为: 脱脂→磷化→电泳→面漆。电泳废水主要产生于工件电泳和面漆阶段,废水中含有电泳漆(如水溶性环氧树脂、乙醇胺、乙氰酸脂、酚醛树脂等) 、颜料(如碳黑、氧化铁红、铅汞等) 、填料(如钛白粉、滑石粉等) 、有机溶剂(如三乙醇胺、丁醇等) 以及少量的金属离子,有机污染物含量大且成分复杂。
电泳废水的处理工艺还是以生化处理为主体,但是由于该类废水中含有较多的有毒物质,若无预处理将会对生化部分造成较大的冲击。目前国内外对于电泳废水的预处理主要有混凝、气浮、电絮凝和反渗透等,而微电解技术则较少有应用,其中曾振国等曾尝试将电泳废水经空气搅拌和pH 调节后进入微电解塔进行曝气处理,COD 和SS 的去除率分别达到33%和15%。
微电解技术可以实现大分子有机污染物的断链,提高废水的可生化性,普遍应用于印染废水、制药废水和化工废水等的预处理中。针对某汽车涂装废水使用常规工艺难以有效处理的问题,实验将涂装工艺中的电泳废水(酸性) 和脱脂废水(碱性) 混合并采用铁碳微电解预处理,使得预处理后的出水能达到生化处理要求,并研究铁碳微电解对该类废水的COD 降解动力学机理,为该类废水的物化和后续生化处理设计提供依据。
1 材料与方法
1.1 实验材料
实验水样: 取自某汽车公司涂装车间,水质见表1。
实验铁碳: 粒径为1 cm×3 cm,椭圆状,有效成分(铁碳+ 多金属合金)>99%; 比重1.0 t/m3 ; 比表面积1.2 m3/g; 孔隙率65%; 物理强度≥1 000kg/cm2 (潍坊市龙安泰环保科技有限公司) 。
实验装置: 小型曝气装置; 1 L 反应器。
1.2 实验方法
pH 调节: 取1 L烧杯,于烧杯中交替加入酸性电泳废水和碱性脱脂废水,记录2 种废水的体积比,采用台式酸度计(pH-25,上海盛磁仪器有限公司)调节至所需的pH。
微电解反应: 实验于1 L反应器中加入1 kg的铁碳填料,反应器底部放置一曝气头,将废水调至所需要的pH 然后进水至淹没铁碳填料(约进水600mL),打开曝气设备进行曝气,水面表现为沸腾即可。
在不同的进水pH(2,3,4) 和铁碳微电解后不同的时间(0,30,60,90,120,150,180,210 和240min) 进行取样测定废水中COD 的含量,并计算去除率。
1.3 分析方法
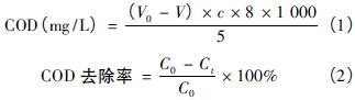
COD 采用重铬酸钾法,按以下式子计算COD的浓度和COD 的去除率:
式中: V0为为空白,蒸馏水滴定所消耗的硫酸亚铁铵的体积,mL; V 为水样滴定所消耗的硫酸亚铁铵的体积,mL; c 为硫酸亚铁铵的浓度,mol/L; C0为水样初始的COD 浓度,mg/L; Ct为铁碳反应一段时间后的COD 浓度,mg/L。
1.4 动力学分析
化学动力学反应级数方程为:
式中: C0为水样初始的COD 浓度,mg/L; Ct为铁碳反应一段时间后的COD 浓度,mg/L; t 为铁碳微电解的反应时间,min; k 为污染物去除速率常数。
2 结果与分析
2.1 铁碳微电解法影响因素分析
2.1.1 铁碳微电解法正交实验
一些关于铁碳微电解的研究表明,影响其处理效果的因素主要有进水pH、固液比、铁碳比、温度、反应时间及反应次数。
实验所采用的铁碳填料是经特殊处理后的铁粉和碳粉融合材料,避免了铁粉和碳粉分开使用所导致的板结、钝化等问题,因此实验排除铁碳比和固液比的影响。考虑到实际工程应用,实验选择常温进行(20~25℃),进水pH 要求为4 以下。
实验选取了进水pH、反应时间和反应次数为变量,设计L9(33 ) 的正交实验(见表2),实验结果见表3。
根据极差分析可知,RC>RB>RA,影响COD 去除率的因素依次为C>B>A,即铁碳反应次数影响最大,其次是铁碳反应时间,原水pH 影响因素最小,其中pH 是指酸性2~4 的范围,这与众多关于铁碳微电解的研究是相符的。在9 个实验中,6 号实验的效果最好,最佳组合因素为A2B3C1,即进水pH 为3,铁碳反应时间150 min,铁碳第1 次反应,在此条件下,COD 的去除率可达60%。
2.1.2 单因素实验
依次作pH、反应时间和反应次数的单因素实验,结果如图1 所示。其中pH 单因素实验控制条件为初次反应90 min,反应时间单因素实验控制条件为初次反应进水pH 为3,反应次数单因素实验控制条件为进水pH 为3,且反应时间为150 min。
可以看出,COD 的去除率随进水pH 的升高而降低,随反应时间增加出现一个最佳点,随反应次数增加而降低。
2.2 铁碳微电处理汽车电泳涂装废水的效果分析
电泳废水pH 为2~3,进水pH 过低时会导致铁碳消耗量增大,处理效果高但不经济,结合实际选择进水pH 为3,作铁碳微电解处理效果变化趋势图,见图2。
COD 降解率随铁碳反应时间的增加而升高,随反应次数的增加而降低。首次反应的铁碳往往处理效率极高,但随着反应次数的增加会逐步降低,实验过程中铁碳填料在反应容器中的下降现象表明了这与铁碳填料中铁的消耗量有关。然而经过多次反应后,铁碳微电解反应仍能保持一定的处理效果并趋于稳定。
铁碳微电解处理汽车电泳废水,铁碳反应时间90~150 min,COD 去除率比较稳定,且随反应时间增加略有上升,COD 去除率为40% 左右,铁碳微电解预处理后出水COD 浓度为1 200mg/L 左右。
铁碳对该类废水的COD 降解存在一个最佳反应时间,在这之前降解率与反应时间正相关,之后表现为不明显下降。这与铁碳填料中碳的吸附有关,在铁碳反应的初始阶段,酸性条件会导致铁的大量消耗,而碳会在此期间进行大量的污染物吸附,该阶段主要以吸附为主,尚未形成铁碳原电池,处理效果相对较低。随着反应时间的增加,碳的吸附量饱和后与铁形成原电池,处理效率明显,出现一个最佳的反应时间点。
铁碳微电解一般会与芬顿和混凝处理联合使用,以进一步去除废水中的污染物质。研究发现在铁碳微电解处理效果最佳点停止微电解反应,投加适量的30% 的H2O2进行曝气,然后调至碱性环境(pH 为8~9) 进行絮凝处理,COD 去除率会进一步提高,见图3。在微电解最佳反应点继续进行芬顿和絮凝处理,将会使得COD 去除率提高7% ~10%。出水COD 浓度可降低至1 000 mg/L 左右,满足后续生化进水要求,保证生化处理效率。
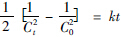
2.3 铁碳微电解对汽车涂装废水的COD 降解动力学分析
分别按式(3) 中零级反应动力学方程、一级反应动力学方程、n 级反应动力学方程左边的式子计算出Ct,ln(C0/Ct),1/Ct-1/C0,1/2 (1/Ct2-1/C02),1/3(1/Ct3-1/C03),结果如表4 所示。
根据表4 中的数据,分别按零级、一级、二级、三级、四级反应动力学方程式,以对时间t 作回归分析,并计算线性相关系数,结果如表5 所示。
由各反应级数的回归分析可知,采用三级反应动力学方程来拟合铁碳微电解化学反应过程动力学线性相关性最好,相关系数最高,因此可以推断铁碳微电解降解COD 的反应可能遵从三级化学反应动力学。
三级反应动力学方程式为
铁碳微电解反应过程经三级衰减方程拟合后,所得到的COD 浓度与时间的关系方程式为Ct =
3 结论
(1) 在进水pH≤4 的时候,铁碳微电解对汽车电泳涂装废水COD 的降解率影响因素依次为铁碳的反应次数、铁碳的反应时间、进水pH。当进水pH为3,铁碳首次反应150 min,在此条件下,COD 的去除率可高达60%。
(2) 对于汽车电泳废水来说,铁碳反应时间在90~150 min 之间时,COD 去除率稳定在40%左右。同时,在铁碳微电解之后,使用芬顿或絮凝方法能进一步提高COD 去除率。
(3) 采用铁碳微电解处理汽车电泳涂装废水,其COD 的降解符合三级反应,反应方程为Ct =














