[拼音]:neng
[外文]:energy
衡量系统作功本领的一种物理量。能有多种不同形态,如动能、势能、热能、电能、化学能、核能等。动能和势能统称机械能。一般力学研究的能主要是机械能。
能的不同形态可以互相转换。能也可以从一个物体或系统传递给另一个物体或系统。机械能的传递或转换,机械能与别种形态能之间的转换,总是表现为一物体对另一物体作功。因此,有时也把能定义为作功的能力。例如,弹射器中被压缩的弹簧具有势能,当弹簧释放时,以对小球作功的方式把弹簧的势能转换成小球的动能。沿桌面滑行的物体具有动能,以克服摩擦力而作功的方式把动能转化成热能。炮弹中的火药具有化学能,在发射炮弹时以爆炸气体对炮弹作功的方式把化学能主要转变成炮弹的动能。
能是标量,它的单位和功相同,在国际单位制中是焦耳(J),即牛顿·米(N·m)。
能的各种形态尽管可以互相转换,但是能不可创造,也无法消灭,这就是自然界普遍存在的能量守恒定律。1905年,A.爱因斯坦发表狭义相对论,他得到质能关系式:ΔE=c2Δm,式中ΔE表示由质量亏损Δm引起的能量增益;c为光速。这样就把能量守恒定律和质量守恒定律更加密切地联系成为质能守恒定律。
动能
物体由于作机械运动而具有的能。质量为m的物体以速率v运动时,它的动能EK为:
。 (1)
动能的概念最早是G.W.莱布尼兹提出的;他称之为活力,定义为mv2,正好是现用的动能定义的两倍。
根据动能定理,运动的物体如受到阻碍而减速直到停止以前,物体就会对障碍物作功。所作的功的量等于物体原有动能的量。因此可以说,动能是物体由于运动而具有的作功能力。例如高速飞行的枪弹具有动能,所以打到钢板上能对钢板作功而穿入;捶到锻件上的铁锤具有动能,所以能对锻件作功而使它变形。
以角速度ω绕固定轴转动的刚体,其动能为:
, (2)
式中I为刚体对转动轴线的转动惯量。刚体作平面运动时,其动能为:
, (3)
式中m为刚体的质量,vC为质心的速度,IC为刚体对质心轴的转动惯量,ω为刚体的角速度。上式可以解释为:刚体作平面运动时的动能等于刚体以质心速度平动时的动能与刚体相对于质心轴转动的动能之和。
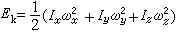
刚体绕固定点转动时的动能为:
, (4)
式中Ix、Iy、Iz为刚体对于通过固定点O的三根惯性主轴Ox、Oy、Oz的转动惯量,即主惯性矩;ωx、ωy、ωz为角速度矢ω在对应惯性主轴上的投影。
刚体作最一般运动的情况下,其动能为:
, (5)
式中,记号意义和前相似,只是x、y、z轴应理解为通过质心C的三根惯性主轴。
势能
物体(或系统)由于位置或位形的变化而具有的能。例如,举到高处的打桩机重锤具有势能,故下落时能使它的动能增加并对外界作功,把桩打入土中;张开的弓具有势能,故在释放能时对箭作功,将它射向目标。
物体(或系统)的势能,只能对选定的初始位形来计算。物体在某特定位形的势能在数量上等于将物体从初始位形没有加速度地改变到此位形时,外界克服物体抗力所作的功,也就是物体抗力在此过程中所作的功取负值。设物体受到力F的作用,则行微位移dr的元功为F·dr。如取O点为零势能位置,则物体在Μ点时所具有的势能Ep为:
。 (6)
还要指出,作用于系统的力必须是像重力、弹性力那样的可以恢复的力,即在系统位形变化的一个循环中,力的功等于零,列式如下:
满足以上条件的力称为保守力。这样,系统的势能只取决于初始和终了的位置或位形,而与变化过程中的途径无关。故式(6)中的积分路线可以取从O点到Μ点的任意曲线。非保守力(如摩擦力)不存在势能。下面是一般力学中常见的三种势能:
重力势能重力是保守力。质量为m的物体,所受到的重力是mg(g=9.80665米/秒2是重力加速度)。 如果把地面选作零势能位置,则物体在高度h处所具有的重力势能为:
Ep=mgh。 (7)
更严格地说,这是物体与地球组成的系统所具有的势能(图1)。
引力势能
物体离地球中心的距离 r很大时,必须考虑到地心引力随距离的变化(图2)。质量为m的物体所受地心引力大小是F=GmEm/r2,式中mE=5.976×1024千克,是地球的质量;G=6.673×10-11米3/(千克·秒2),是引力常数。由式(6)可以算出其势能为:
(8)
式中RE=6.371×106米,是地球半径。零势能位置仍取在地球表面。任何两个物体之间的万有引力也有引力势能。例如质量为m1和m2的两个可视为质点的星体的引力势能为
,其中r为两星体间的距离。
弹簧变形时,作用于外界的弹性力大小F与变形δ成正比,F=kδ(胡克定律),k是弹簧刚度(图3)。
弹性力也是保守力。如取弹簧未变形时的自然状态作为零势能位形,则可由式(6)算出它变形时的势能为:
。 (9)
参考文章
- 矜功伐能成语接龙成语接龙
- 无所不能成语辞典
- 无能为谋成语辞典
- 一无所能成语辞典
- 选贤与能成语辞典
- 选贤用能成语辞典
- 突发事件发生后,发生地县级人民政府只能逐级上报,不得越级上报。法律题库
- qq、视频会议的屏幕共享功能常常被不法分子应用在冒充公检法、冒充客服等诈骗手段里。对于屏幕共享功能,说法正确的是?生活安全
- 网络兼职,一旦对方提出各种“保证金”“押金”“培训费”交钱要求时,需保持冷静,很可能遭遇诈骗陷阱。()生活安全
- “出租支付宝账号,高额返利,躺着把钱赚。”面对这样的广告,千万不要轻信。因为一旦出租、出借、出售的支付账户被不法分子用于犯罪,涉案账户的开户人及贩卖账户的人,将可能构成诈骗罪、帮助信息网络犯罪活动罪、妨害信用卡管理罪、掩饰隐瞒违法犯罪所得罪等罪名。(生活安全